(Ph. Eur. monograph 2787)
C34H36MgN6O6S2,2H2O 749.2 217087-10-0
Action and use
Proton pump inhibitor; treatment of peptic ulcer disease.
Preparations
Esomeprazole Gastro-resistant Capsules
Esomeprazole Gastro-resistant Tablets
DEFINITION
Magnesium bis[5-methoxy-2-[(S)-[(4-methoxy-3,5-dimethylpyridin-2-yl)methyl]sulfinyl]-1H-benzimidazol-1-ide] dihydrate.
Content
98.0 per cent to 102.0 per cent (anhydrous substance).
CHARACTERS
Appearance
White or slightly coloured powder, slightly hygroscopic.
Solubility
Slightly soluble in water, soluble in methanol, practically insoluble in heptane.
It shows polymorphism (5.9).
IDENTIFICATION
A. Infrared absorption spectrophotometry (2.2.24).
Comparison esomeprazole magnesium dihydrate CRS.
If the spectra obtained in the solid state show differences, dissolve the substance to be examined and the reference substance separately in methanol R, evaporate to dryness and record new spectra using the residues.
B. Enantiomeric purity (see Tests).
C. Ignite about 0.5 g of the substance to be examined according to the procedure for the sulfated ash test (2.4.14).
Dissolve the residue in 10 mL of water R. 2 mL of this solution gives the reaction of magnesium (2.3.1).
D. Water (see Tests).
TESTS
Absorbance (2.2.25)
Maximum 0.20 at 440 nm.
Dissolve 0.500 g in methanol R and dilute to 25.0 mL with the same solvent. Filter through a membrane filter (nominal pore size 0.45 μm).
Enantiomeric purity
Liquid chromatography (2.2.29): use the normalisation procedure.
Buffer solution pH 6.0 Mix 20 mL of a 179.1 g/L solution of disodium hydrogen phosphate dodecahydrate R and 70 mL of a 156.0 g/L solution of sodium dihydrogen phosphate R, then dilute to 1000 mL with water R.
Dilute 250 mL of this solution to 1000 mL with water R.
Buffer solution pH 11.0 Mix 11 mL of a 95.0 g/L solution of trisodium phosphate dodecahydrate R and 22 mL of a 179.1 g/L solution of disodium hydrogen phosphate dodecahydrate R, then dilute to 1000 mL with water R.
Test solution: Dissolve 40 mg of the substance to be examined in 5 mL of methanol R and dilute to 50.0 mL with buffer solution pH 11.0. Dilute 1.0 mL of this solution to 25.0 mL with buffer solution pH 11.0.
Reference solution: Dissolve 2 mg of omeprazole CRS in buffer solution pH 11.0 and dilute to 50.0 mL with the same buffer solution. Dilute 1.0 mL of the solution to 10.0 mL with buffer solution pH 11.0.
Column:
— size: l = 0.1 m, Ø = 4.0 mm;
— stationary phase: α1-acid-glycoprotein silica gel for chiral separation R (5 μm).
Mobile phase acetonitrile R, buffer solution pH 6.0 (13:87 V/V).
Flow rate 0.6 mL/min.
Detection: Spectrophotometer at 302 nm.
Injection 20 μL.
Relative retention: With reference to esomeprazole (retention time = about 5 min): impurity F = about 0.7.
System suitability Reference solution:
— resolution: minimum 3.0 between the peaks due to impurity F and esomeprazole.
Limit:
— impurity F: maximum 0.6 per cent; disregard any peak other than impurity F and esomeprazole.
Related substances
Liquid chromatography (2.2.29): use the normalisation procedure. Prepare the solutions immediately before use.
Test solution: Dissolve 14 mg of the substance to be examined in the mobile phase and dilute to 100.0 mL with the mobile phase.
Reference solution (a): Dissolve 1 mg of omeprazole CRS and 1 mg of omeprazole impurity D CRS in the mobile phase and dilute to 10.0 mL with the mobile phase.
Reference solution (b): Dissolve 3 mg of omeprazole for peak identification CRS (containing impurity E) in the mobile phase and dilute to 20.0 mL with the mobile phase.
Reference solution (c): Dilute 1.0 mL of the test solution to 100.0 mL with the mobile phase. Dilute 1.0 mL of this solution to 10.0 mL with the mobile phase.
Column:
— size: l = 0.125 m, Ø = 4.6 mm;
— stationary phase: octylsilyl silica gel for chromatography R (5 μm).
Mobile phase Mix 27 volumes of acetonitrile R and 73 volumes of a 1.4 g/L solution of disodium hydrogen phosphate dodecahydrate R previously adjusted to pH 7.6 with phosphoric acid R.
Flow rate 1 mL/min.
Detection Spectrophotometer at 280 nm.
Injection 40 μL.
Run time 4 times the retention time of esomeprazole.
Identification of impurities: Use the chromatogram supplied with omeprazole for peak identification CRS and the chromatogram obtained with reference solution (b) to identify the peak due to impurity E; use the chromatogram obtained with reference solution (a) to identify the peak due to impurity D.
Relative retention: With reference to esomeprazole (retention time = about 9 min): impurity E = about 0.4;
impurity D = about 0.7.
System suitability Reference solution (a):
— resolution: minimum 3.0 between the peaks due to impurity D and omeprazole.
Limits:
— impurities D, E: for each impurity, maximum 0.15 per cent;
— unspecified impurities: for each impurity, maximum 0.10 per cent;
— total: maximum 0.3 per cent;
— disregard limit: 0.5 times the area of the principal peak in the chromatogram obtained with reference solution (c) (0.05 per cent).
Magnesium
3.30 per cent to 3.55 per cent (anhydrous substance).
Dissolve 0.400 g in 25 mL of methanol R, sonicate until dissolution is complete. Add 25 mL of water R, 10 mL of concentrated ammonia R, 20.000 mL of 0.05 M sodium edetate and about 50 mg of mordant black 11 triturate R. Titrate the excess of sodium edetate with 0.05 M zinc sulfate until the colour changes from full blue to violet. Carry out a blank titration.
1 mL of 0.05 M sodium edetate corresponds to 1.21525 mg of Mg.
Water (2.5.12)
4.5 per cent to 6.1 per cent, determined on 0.200 g.
ASSAY
Liquid chromatography (2.2.29).
Buffer solution pH 11.0 Mix 11 mL of a 95.0 g/L solution of trisodium phosphate dodecahydrate R and 22 mL of a 179.1 g/L solution of disodium hydrogen phosphate dodecahydrate R, then dilute to 100.0 mL with water R.
Test solution Dissolve 10.0 mg of the substance to be examined in about 10 mL of methanol R, add 10 mL of buffer solution pH 11.0 and dilute to 200.0 mL with water R.
Reference solution Dissolve 10.0 mg of omeprazole CRS in about 10 mL of methanol R, add 10 mL of buffer solution pH 11.0 and dilute to 200.0 mL with water R.
Column:
— size: l = 0.125 m, Ø = 4 mm;
— stationary phase: octylsilyl silica gel for chromatography R (5 μm).
Mobile phase: Mix 35 volumes of acetonitrile R and 65 volumes of a 1.4 g/L solution of disodium hydrogen phosphate dodecahydrate R previously adjusted to pH 7.6 with phosphoric acid R.
Flow rate 1 mL/min.
Detection Spectrophotometer at 280 nm.
Injection 20 μL.
Run time 1.5 times the retention time of esomeprazole.
Retention time Esomeprazole = about 4 min.
Calculate the percentage content of C34H36MgN6O6S2 taking into account the assigned content of omeprazole CRS.
1 g of omeprazole is equivalent to 1.032 g of esomeprazole magnesium.
STORAGE
In an airtight container, protected from light.
IMPURITIES
Specified impurities D, E, F.
Other detectable impurities (the following substances would, if present at a sufficient level, be detected by one or other of the tests in the monograph. They are limited by the general acceptance criterion for other/unspecified impurities and/or by the general monograph Substances for pharmaceutical use (2034). It is therefore not necessary to identify these impurities for demonstration of compliance. See also 5.10. Control of impurities in substances for pharmaceutical use) A, B, C.

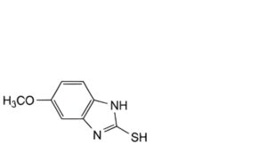
A. 5-methoxy-1H-benzimidazole-2-thiol,

B. 2-[(RS)-[(3,5-dimethylpyridin-2-yl)methyl]sulfinyl]-5-methoxy-1H-benzimidazole,

C. 5-methoxy-2-[[(4-methoxy-3,5-dimethylpyridin-2-yl)methyl]sulfanyl]-1H-benzimidazole (ufiprazole),

D. 5-methoxy-2-[[(4-methoxy-3,5-dimethylpyridin-2-yl)methyl]sulfonyl]-1H-benzimidazole (omeprazole sulfone),

E. 4-methoxy-2-[[(RS)-(5-methoxy-1H-benzimidazol-2-yl)sulfinyl]methyl]-3,5-dimethylpyridine 1-oxide,

F. 5-methoxy-2-[(R)-[(4-methoxy-3,5-dimethylpyridin-2-yl)methyl]sulfinyl]-1H-benzimidazole ((R)-omeprazole).






