(Ph. Eur. monograph 2733)
C22H23FN2O5 414.4 219861-08-2
Action and use
Selective serotonin reuptake inhibitor; antidepressant.
Preparations
Escitalopram Oral Drops
Escitalopram Oral Solution
Escitalopram Tablets
DEFINITION
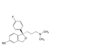
(1S)-1-[3-(Dimethylamino)propyl]-1-(4-fluorophenyl)-1,3-dihydro-2-benzofuran-5-carbonitrile hydrogen oxalate.
Content
99.0 per cent to 101.0 per cent (anhydrous substance).
CHARACTERS
Appearance
White or almost white, crystalline powder.
Solubility
Sparingly soluble in water, freely soluble in methanol, slightly soluble in methylene chloride.
IDENTIFICATION
A. Infrared absorption spectrophotometry (2.2.24).
Comparison escitalopram oxalate CRS.
B. Enantiomeric purity (see Tests).
TESTS
Related substances
Liquid chromatography (2.2.29).
Buffer solution: Dissolve 3.4 g of potassium dihydrogen phosphate R in 900 mL of water for chromatography R, adjust to pH 3.0 with phosphoric acid R and dilute to 1000 mL with water for chromatography R.
Test solution: Dissolve 25 mg of the substance to be examined in mobile phase A and dilute to 50.0 mL with mobile phase A.
Reference solution (a): Dissolve 5 mg of escitalopram for system suitability CRS (containing impurity D) in mobile phase A and dilute to 10.0 mL with mobile phase A.
Reference solution (b): Dilute 1.0 mL of the test solution to 100.0 mL with mobile phase A. Dilute 1.0 mL of this solution to 10.0 mL with mobile phase A.
Column:
— size: l = 0.25 m, Ø = 4.6 mm;
— stationary phase: end-capped octadecylsilyl silica gel for chromatography R (5 μm);
— temperature: 45 °C.
Mobile phase:
— mobile phase A: acetonitrile R, buffer solution (10:90 V/V);
— mobile phase B: buffer solution, acetonitrile R (35:65 V/V);
| Time (min) |
Mobile phase A (per cent V/V) |
Mobile phase B (per cent V/V) |
Flow rate (mL/min) |
| 0 – 2 | 95 | 5 | 1.0 |
| 2 – 37 | 95 → 65 | 5 → 35 | 1.0 |
| 37 – 47 | 65 → 0 | 35 → 100 | 1.0 |
| 47 – 62 | 0 | 100 | 2.0 |
Detection: Spectrophotometer at 237 nm and at 254 nm.
Injection 20 μL.
Identification of impurities: Use the chromatogram supplied with escitalopram for system suitability CRS and the chromatogram obtained with reference solution (a) to identify the peak due to impurity D.
Relative retention: With reference to escitalopram (retention time = about 38 min): impurity D = about 0.98.
System suitability: Reference solution (a) at 237 nm:
— peak-to-valley ratio: minimum 5.0, where Hp = height above the baseline of the peak due to impurity D and Hv = height above the baseline of the lowest point of the curve separating this peak from the peak due to escitalopram.
Calculation of percentage contents:
— for each impurity, use the concentration of escitalopram oxalate in reference solution (b) at 237 nm.
Limits:
— unspecified impurities at 237 nm and at 254 nm: for each impurity, maximum 0.10 per cent;
— total at 237 nm: maximum 0.5 per cent;
— reporting threshold at 237 nm: 0.05 per cent.
Enantiomeric purity
Liquid chromatography (2.2.29): use the normalisation procedure.
Test solution: Dissolve 25.0 mg of the substance to be examined in the mobile phase and dilute to 50.0 mL with the mobile phase. Dilute 5.0 mL of the solution to 20.0 mL with the mobile phase.
Reference solution (a): Dissolve 5.0 mg of citalopram hydrobromide CRS (containing equal amounts of impurity K and escitalopram) in the mobile phase and dilute to 10.0 mL with the mobile phase. Dilute 5.0 mL of the solution to 20.0 mL with the mobile phase.
Reference solution (b): Dilute 1.0 mL of reference solution (a) to 50.0 mL with the mobile phase. Dilute 1.0 mL of this solution to 10.0 mL with the mobile phase.
Column:
— size: l = 0.15 m, Ø = 4.6 mm;
— stationary phase: protein derivative of silica gel for chiral separation R (5 μm);
— temperature: 30 °C.
Mobile phase acetonitrile R, 0.05 M phosphate buffer solution pH 7.0 R (15:85 V/V).
Flow rate 0.6 mL/min.
Detection Spectrophotometer at 240 nm.
Injection 15 μL.
Run time Twice the retention time of escitalopram.
Identification of impurities: Use the chromatogram obtained with reference solution (a) to identify the peak due to impurity K.
Relative retention: With reference to escitalopram (retention time = about 11 min): impurity K = about 1.2.
System suitability Reference solution (a):
— resolution: minimum 1.3 between the peaks due to escitalopram and impurity K;
— symmetry factor: maximum 4.0 for the peak due to escitalopram; maximum 4.0 for the peak due to impurity K.
Limits:
— impurity K: maximum 2.0 per cent;
— reporting threshold: 0.10 per cent (reference solution (b)).
Water (2.5.12)
Maximum 1.0 per cent, determined on 0.250 g.
Sulfated ash (2.4.14)
Maximum 0.1 per cent, determined on 1.0 g in a platinum crucible.
ASSAY
Dissolve 0.300 g in a mixture of 5.0 mL of acetic anhydride R and 75 mL of glacial acetic acid R. Titrate with 0.1 M perchloric acid, determining the end-point potentiometrically (2.2.20).
1 mL of 0.1 M perchloric acid is equivalent to 41.44 mg of C22H23FN2O5 .
IMPURITIES
Specified impurities K.
Other detectable impurities (the following substances would, if present at a sufficient level, be detected by one or other of the tests in the monograph. They are limited by the general acceptance criterion for other/unspecified impurities and/or by the general monograph Substances for pharmaceutical use (2034). It is therefore not necessary to identify these impurities for demonstration of compliance. See also 5.10. Control of impurities in substances for pharmaceutical use) A, B, C, D,E, F, G, H, I, J, L, M.

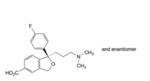
A. (1RS)-1-[3-(dimethylamino)propyl]-1-(4-fluorophenyl)-1,3-dihydro-2-benzofuran-5-carboxamide,

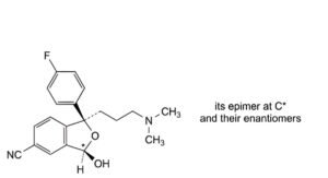
B. mixture of (1RS,3RS)-1-[3-(dimethylamino)propyl]-1-(4-fluorophenyl)-3-hydroxy-1,3-dihydro-2-benzofuran-5-carbonitrile and (1RS,3SR)-1-[3-(dimethylamino)propyl]-1-(4-fluorophenyl)-3-hydroxy-1,3-dihydro-2-benzofuran-5-carbonitrile,

C. (1RS)-1-[3-(dimethylamino)propyl]-1-(4-fluorophenyl)-3-oxo-1,3-dihydro-2-benzofuran-5-carbonitrile,

D. (1RS)-1-(4-fluorophenyl)-1-[3-(methylamino)propyl]-1,3-dihydro-2-benzofuran-5-carbonitrile,

E. (4RS)-4-[4-cyano-2-(hydroxymethyl)phenyl]-4-(4-fluorophenyl)-4-hydroxy-N,N-dimethylbutan-1-aminium,

F. (1RS)-1-[3-(dimethylamino)propyl]-1-hydroxy-1,3-dihydro-2-benzofuran-5-carbonitrile,

G. 4-(dimethylamino)-1-[(1RS)-1-[3-(dimethylamino)propyl]-1-(4-fluorophenyl)-1,3-dihydro-2-benzofuran-5-yl]butan-1-one,

H. 3-[(1RS)-5-cyano-1-(4-fluorophenyl)-1,3-dihydro-2-benzofuran-1-yl]-N,N-dimethylpropan-1-amine N-oxide,

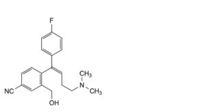
I. 4-[(1Z)-4-(dimethylamino)-1-(4-fluorophenyl)but-1-en-1-yl]-3-(hydroxymethyl)benzonitrile,

J. 4-methylbenzenesulfonic acid (p-toluenesulfonic acid),

K. (1R)-1-[3-(dimethylamino)propyl]-1-(4-fluorophenyl)-1,3-dihydro-2-benzofuran-5-carbonitrile,

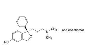
L. (1RS)-1-[3-(dimethylamino)propyl]-1-phenyl-1,3-dihydro-2-benzofuran-5-carbonitrile,

M. (1RS)-1-[3-(dimethylamino)propyl]-1-(4-fluorophenyl)-1,3-dihydro-2-benzofuran-5-carboxylic acid.






