(Ph. Eur. monograph 3094)
C22H24ClN3O4 429.9 183319-69-9
Action and use
Tyrosine kinase (EGFR) inhibitor; antineoplastic.
DEFINITION
N-(3-Ethynylphenyl)-6,7-bis(2-methoxyethoxy)quinazolin-4-amine hydrochloride.
Content
98.0 per cent to 102.0 per cent (anhydrous substance).
CHARACTERS
Appearance
White or pale yellow powder.
Solubility
Practically insoluble in water, very slightly soluble in ethanol (96 per cent), practically insoluble in heptane.
It shows polymorphism (5.9).
IDENTIFICATION
A. Infrared absorption spectrophotometry (2.2.24).
Comparison erlotinib hydrochloride CRS.
If the spectra obtained in the solid state show differences, dissolve the substance to be examined and the reference substance separately in methanol R (with heating), evaporate to dryness and record new spectra using the residues.
B. To 24 mg, add 2 mL of water R, and acidify with dilute nitric acid R. Sonicate the suspension for at least 5 min. Centrifuge. Collect the clear solution with the aid of a syringe and needle and filter, if necessary. Add 0.4 mL of silver nitrate solution R1. A white precipitate is formed. Centrifuge and wash the precipitate with 3 quantities, each of 1 mL, of water R. Suspend the precipitate in 2 mL of water R and add 1.5 mL of ammonia R. The precipitate dissolves easily with the possible exception of a few large particles which dissolve slowly.
TESTS
Related substances
Liquid chromatography (2.2.29).
Solvent mixture water R, methanol R (25:75 V/V).
Test solution (a): Dissolve 20.0 mg of the substance to be examined in the solvent mixture, using sonication, and dilute to 50.0 mL with the solvent mixture.
Test solution (b): Dilute 2.0 mL of test solution (a) to 10.0 mL with the solvent mixture.
Reference solution (a): Dilute 1.0 mL of test solution (a) to 100.0 mL with the solvent mixture. Dilute 1.0 mL of this solution to 10.0 mL with the solvent mixture.
Reference solution (b): Dissolve the contents of a vial of erlotinib impurity mixture CRS (impurities A, G and H) in 1 mL of the solvent mixture.
Reference solution (c): Dissolve 20.0 mg of erlotinib hydrochloride CRS in the solvent mixture, using sonication, and dilute to 50.0 mL with the solvent mixture. Dilute 2.0 mL of the solution to 10.0 mL with the solvent mixture.
Column:
— size: l = 0.05 m, Ø = 2.1 mm;
— stationary phase: end-capped ethylene-bridged phenylsilyl silica gel for chromatography (hybrid material) R (1.7 μm).
Mobile phase:
— mobile phase A: dissolve 4.11 g of potassium dihydrogen phosphate R and 5.0 mL of triethylamine R in 1000 mL of water for chromatography R and adjust to pH 3.0 with phosphoric acid R;
— mobile phase B: acetonitrile for chromatography R;
| Time (min) |
Mobile phase A (per cent V/V) |
Mobile phase B (per cent V/V) |
| 0 – 1 | 80 → 79 | 20 → 21 |
| 1 – 7 | 79 | 21 |
| 7 – 9 | 79 → 77 | 21 → 23 |
| 9 – 15 | 77 → 72 | 23 → 28 |
| 15 – 18 | 72 → 60 | 28 → 40 |
| 18 – 20 | 60 → 45 | 40 → 55 |
Flow rate 0.3 mL/min.
Detection Spectrophotometer at 240 nm.
Autosampler Set at 10 °C.
Injection 3 μL of test solution (a) and reference solutions (a) and (b).
Identification of impurities: Use the chromatogram supplied with erlotinib impurity mixture CRS and the chromatogram obtained with reference solution (b) to identify the peaks due to impurities A, G and H.
Relative retention: With reference to erlotinib (retention time = about 5 min): impurity A = about 0.2;
impurity G = about 1.9; impurity H = about 2.0.
System suitability Reference solution (b):
— resolution: minimum 1.5 between the peaks due to impurities G and H.
Calculation of percentage contents:
— correction factor: multiply the peak area of impurity A by 0.5;
— for each impurity, use the concentration of erlotinib hydrochloride in reference solution (a).
Limits:
— impurity A: maximum 0.15 per cent;
— unspecified impurities: for each impurity, maximum 0.10 per cent;
— total: maximum 0.5 per cent;
— reporting threshold: 0.05 per cent.
Water (2.5.12)
Maximum 0.5 per cent, determined on 0.200 g.
Sulfated ash (2.4.14)
Maximum 0.1 per cent, determined on 1.0 g.
ASSAY
Liquid chromatography (2.2.29) as described in the test for related substances with the following modifications.
Injection Test solution (b) and reference solution (c).
System suitability Reference solution (c):
— symmetry factor: maximum 2.0 for the peak due to erlotinib.
Calculate the percentage content of C22H24ClN3O4 taking into account the assigned content of erlotinib hydrochloride CRS.
IMPURITIES
Specified impurities A.
Other detectable impurities (the following substances would, if present at a sufficient level, be detected by one or other of the tests in the monograph. They are limited by the general acceptance criterion for other/unspecified impurities and/or by the general monograph Substances for pharmaceutical use (2034). It is therefore not necessary to identify these impurities for demonstration of compliance. See also 5.10. Control of impurities in substances for pharmaceutical use) B, C, D, E, F,G, H, I, J, K, L, M.

A. 6,7-bis(2-methoxyethoxy)quinazolin-4(3H)-one,

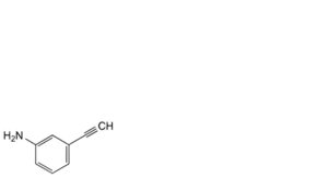
B. 3-ethynylaniline,

C. 1-[3-[[6,7-bis(2-methoxyethoxy)quinazolin-4-yl]amino]phenyl]ethan-1-one,

D. 4-chloro-6,7-bis(2-methoxyethoxy)quinazoline,

E. N-(3-ethenylphenyl)-6,7-bis(2-methoxyethoxy)quinazolin-4-amine,

F. 6,6′,7,7′-tetrakis(2-methoxyethoxy)-4H-[3,4′-biquinazolin]-4-one,

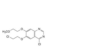
G. 4-chloro-6-(2-chloroethoxy)-7-(2-methoxyethoxy)quinazoline,

H. 7-(2-chloroethoxy)-N-(3-ethynylphenyl)-6-(2-methoxyethoxy)quinazolin-4-amine,

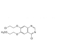
I. 4-chloro-7-(2-chloroethoxy)-6-(2-methoxyethoxy)quinazoline,

J. 6-(2-chloroethoxy)-N-(3-ethynylphenyl)-7-(2-methoxyethoxy)quinazolin-4-amine,

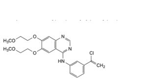
K. N-[3-(1-chloroethen-1-yl)phenyl]-6,7-bis(2-methoxyethoxy)quinazolin-4-amine,

L. 6,7-bis(2-chloroethoxy)-N-(3-ethynylphenyl)quinazolin-4-amine,

M. 4-chloro-6,7-bis(2-chloroethoxy)quinazoline.






