(Ph. Eur. monograph 0082)
C28H44O 396.7 50-14-6
Action and use
Vitamin D analogue (Vitamin D2).
Preparations
Calcium and Ergocalciferol Tablets
Calcium and Ergocalciferol Chewable Tablets
Ergocalciferol Injection
Ergocalciferol Tablets
When vitamin D2 is prescribed or demanded, Ergocalciferol shall be dispensed or supplied. When calciferol or vitamin D is prescribed or demanded, Ergocalciferol or Colecalciferol shall be dispensed or supplied.
DEFINITION
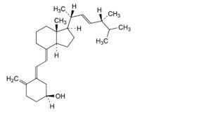
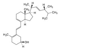
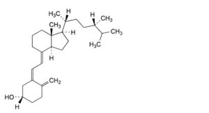
(3S,5Z,7E,22E)-9,10-Secoergosta-5,7,10(19),22-tetraen-3-ol.
Content
97.0 per cent to 102.0 per cent.
A suitable antioxidant may be added.
A reversible isomerisation to pre-ergocalciferol takes place in solution, depending on temperature and time.
The activity is due to both compounds (see Assay).
1 mg of ergocalciferol is equivalent to 40 000 IU of antirachitic activity (vitamin D) in rats.
CHARACTERS
Appearance
White or slightly yellowish, crystalline powder or white or almost white crystals.
Solubility
Practically insoluble in water, freely soluble in ethanol (96 per cent) and in methanol, soluble in fatty oils.
It is sensitive to air, heat and light.
IDENTIFICATION
Infrared absorption spectrophotometry (2.2.24).
Comparison ergocalciferol CRS.
TESTS
Specific optical rotation (2.2.7)
+ 103 to + 107.
Dissolve 0.200 g rapidly and without heating in aldehyde-free alcohol R and dilute to 25.0 mL with the same solvent.
Examine within 30 min of preparing the solution.
Reducing substances
Dissolve 0.1 g in aldehyde-free alcohol R and dilute to 10.0 mL with the same solvent. Add 0.5 mL of a 5 g/L solution of tetrazolium blue R in aldehyde-free alcohol R and 0.5 mL of dilute tetramethylammonium hydroxide solution R. Allow to stand for exactly 5 min and add 1.0 mL of glacial acetic acid R. Prepare a reference solution at the same time and in the same manner using 10.0 mL of a solution containing 0.2 μg/mL of hydroquinone R in aldehyde-free alcohol R. Measure the absorbance (2.2.25) of the 2 solutions at 525 nm using as the compensation liquid 10.0 mL of aldehyde-free alcohol R treated in the same manner.
The absorbance of the test solution is not greater than that of the reference solution (20 ppm).
Impurity B
Liquid chromatography (2.2.29). Prepare the solutions immediately before use, avoiding exposure to actinic light and air.
Test solution: Dissolve 25.0 mg of the substance to be examined without heating in methanol R and dilute to 25.0 mL with the same solvent.
Reference solution: Dissolve 5.0 mg of ergosterol CRS (impurity B) without heating in methanol R and dilute to 50.0 mL with the same solvent. Dilute 1.0 mL of the solution to 50.0 mL with methanol R.
Column:
— size: l = 0.25 m, Ø = 4.6 mm;
— stationary phase: end-capped octadecylsilyl silica gel for chromatography R (5 μm);
— temperature: 25 °C.
Mobile phase methanol R.
Flow rate 1.5 mL/min.
Detection Spectrophotometer at 282 nm.
Injection 20 μL.
Run time 2.5 times the retention time of ergocalciferol.
Relative retention With reference to ergocalciferol (retention time = about 7 min): impurity B = about 1.6.
Limit:
— impurity B: not more than the area of the principal peak in the chromatogram obtained with the reference solution (0.2 per cent).
Related substances
Liquid chromatography (2.2.29). Prepare the solutions immediately before use, avoiding exposure to actinic light and air.
Test solution: Dissolve 15.0 mg of the substance to be examined in the mobile phase and dilute to 25.0 mL with the mobile phase. Dilute 1.0 mL of the solution to 10.0 mL with the mobile phase.
Reference solution (a): Dissolve 5 mg of ergocalciferol for system suitability CRS (containing impurities A, F and G) in 10 mL of the mobile phase. Heat in a water-bath at 90 °C under a reflux-condenser for 45 min and allow to cool (in-situ degradation to obtain pre-ergocalciferol). Dilute 3 mL of the solution to 25 mL with the mobile phase.
Reference solution (b): Dissolve 15.0 mg of ergocalciferol CRS in the mobile phase and dilute to 25.0 mL with the mobile phase. Dilute 1.0 mL of the solution to 10.0 mL with the mobile phase.
Reference solution (c): Dilute 1.0 mL of the test solution to 100.0 mL with the mobile phase.
Reference solution (d): Dilute 1.0 mL of reference solution (c) to 10.0 mL with the mobile phase.
Column:
— size: l = 0.25 m, Ø = 4.6 mm;
— stationary phase: base-deactivated end-capped octadecylsilyl silica gel for chromatography R (5 μm);
— temperature: 25 °C.
Mobile phase methanol R, acetonitrile R (10:90 V/V).
Flow rate 1.0 mL/min.
Detection: Spectrophotometer at 265 nm.
Injection 20 μL of the test solution and reference solutions (a), (c) and (d).
Run time Twice the retention time of ergocalciferol.
Identification of peaks: Use the chromatogram supplied with ergocalciferol for system suitability CRS and the chromatogram obtained with reference solution (a) to identify the peaks due to impurities A, F and G, and pre-ergocalciferol.
Relative retention With reference to ergocalciferol (retention time = about 13 min): impurity F = about 0.6;
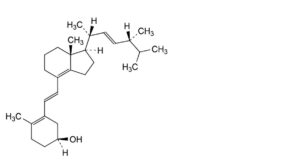
impurity A = about 0.8; pre-ergocalciferol = about 0.9; impurity G = about 1.2.
System suitability Reference solution (a):
— resolution: minimum 2.0 between the peaks due to impurity A and pre-ergocalciferol; minimum 2.5 between the peaks due to pre-ergocalciferol and ergocalciferol.
Calculation of percentage contents:
— for impurities A, F and G, use the concentration of ergocalciferol in reference solution (c);
— for impurities other than A, F and G, use the concentration of ergocalciferol in reference solution (d).
Limits:
— impurity G: maximum 1.5 per cent;
— impurities A, F: for each impurity, maximum 0.5 per cent;
— unspecified impurities: for each impurity, maximum 0.10 per cent;
— total: maximum 2.0 per cent;
— reporting threshold: 0.05 per cent; disregard any peak due to pre-ergocalciferol or the antioxidant.
ASSAY
Liquid chromatography (2.2.29) as described in the test for related substances with the following modification.
Injection: Test solution and reference solution (b).
For both the test solution and reference solution (b), take into account the sum of the areas of the peaks due to ergocalciferol and, when present, to pre-ergocalciferol.
Calculate the percentage content of C28H44O taking into account the assigned content of ergocalciferol CRS.
STORAGE
Under an inert gas, in an airtight container, protected from light, at a temperature of 2 °C to 8 °C.
The contents of an opened container are to be used immediately.
LABELLING
The label states the name and concentration of any added antioxidant.
IMPURITIES
Specified impurities A, B, F, G.
Other detectable impurities (the following substances would, if present at a sufficient level, be detected by one or other of the tests in the monograph. They are limited by the general acceptance criterion for other/unspecified impurities and/or by the general monograph Substances for pharmaceutical use (2034). It is therefore not necessary to identify these impurities for demonstration of compliance. See also 5.10. Control of impurities in substances for pharmaceutical use) C, D, E.

A. (3S,5E,7E,22E)-9,10-secoergosta-5,7,10(19),22-tetraen-3-ol (trans-vitamin D2),

B. (22E)-ergosta-5,7,22-trien-3β-ol (ergosterol),

C. (22E)-9β,10α-ergosta-5,7,22-trien-3β-ol (lumisterol2),

D. (3S,6E,22E)-9,10-secoergosta-5(10),6,8(14),22-tetraen-3-ol (iso-tachysterol2),

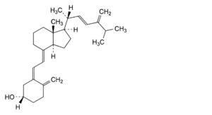
E. (3S,6E,22E)-9,10-secoergosta-5(10),6,8,22-tetraen-3-ol (tachysterol2),

F. (3S,5Z,7E,22E)-9,10-secoergosta-5,7,10(19),22,24(24 )-pentaen-3-ol,

G. (3S,5Z,7E)-9,10-secoergosta-5,7,10(19)-trien-3-ol (vitamin D4).






