(Ph. Eur. monograph 1590)
C27H30ClNO11 580.0 56390-09-1
Action and use
Cytotoxic.
Preparation
Epirubicin Injection
DEFINITION
(8S,10S)-10-[(3-Amino-2,3,6-trideoxy-α-L-arabino-hexopyranosyl)oxy]-6,8,11-trihydroxy-8-(hydroxyacetyl)-1-methoxy-7,8,9,10-tetrahydrotetracene-5,12-dione hydrochloride.
Semi-synthetic product derived from a fermentation product.
Content
97.0 per cent to 102.0 per cent (anhydrous substance).
CHARACTERS
Appearance
Orange-red powder.
Solubility
Soluble in water and in methanol, slightly soluble in anhydrous ethanol, practically insoluble in acetone.
IDENTIFICATION
A. Infrared absorption spectrophotometry (2.2.24).
Comparison: epirubicin hydrochloride CRS.
B. Examine the chromatograms obtained in the assay.
Results: The principal peak in the chromatogram obtained with the test solution is similar in retention time to the principal peak in the chromatogram obtained with reference solution (a).
C. Dissolve about 10 mg in 0.5 mL of nitric acid R, add 0.5 mL of water R and heat over a flame for 2 min. Allow to cool and add 0.5 mL of silver nitrate solution R1. A white precipitate is formed.
TESTS
pH (2.2.3)
4.0 to 5.5.
Dissolve 50 mg in carbon dioxide-free water R and dilute to 10 mL with the same solvent.
Related substances
Liquid chromatography (2.2.29). Allow the solutions to stand for 3 h before use.
Test solution: Dissolve 25.0 mg of the substance to be examined in the mobile phase and dilute to 25.0 mL with the mobile phase.
Reference solution (a): Dissolve 25.0 mg of epirubicin hydrochloride CRS in the mobile phase and dilute to 25.0 mL with the mobile phase.
Reference solution (b): Dissolve 10 mg of epirubicin hydrochloride CRS and 10 mg of doxorubicin hydrochloride CRS (impurity C) in the mobile phase and dilute to 100 mL with the mobile phase.
Reference solution (c): In order to prepare impurity A in situ, dissolve 10 mg of doxorubicin hydrochloride CRS in a mixture of 5 mL of phosphoric acid R and 5 mL of water R.
Allow to stand for 30 min. Adjust to pH 2.6 with an 80 g/L solution of sodium hydroxide R. Add 10 mL of methanol R and 15 mL of acetonitrile R. Mix.
Reference solution (d): Dilute 1.0 mL of the test solution to 100.0 mL with the mobile phase.
Column:
— size: l = 0.25 m, Ø = 4.6 mm;
— stationary phase: trimethylsilyl silica gel for chromatography R (5 μm);
— temperature: 35 °C.
Mobile phase: Mix 17 volumes of methanol R, 29 volumes of acetonitrile R and 54 volumes of a solution containing 3.7 g/L of sodium laurilsulfate R and 2.8 per cent V/V of dilute phosphoric acid R.
Flow rate: 2.5 mL/min.
Detection: Spectrophotometer at 254 nm.
Injection: 10 μL of the test solution and reference solutions (b), (c) and (d).
Run time: 3.5 times the retention time of epirubicin.
Identification of impurities: Use the 2 most abundant peak present in the chromatogram obtained with reference solution (c) to identify the peak due to impurity A; use the chromatogram obtained with reference solution (b) to identify the peak due to impurity C.
Relative retention: With reference to epirubicin (retention time = about 9.5 min): impurity A = about 0.3; impurity C = about 0.8.
System suitability: Reference solution (b):
— resolution: minimum 2.0 between the peaks due to impurity C and epirubicin.
Limits:
— correction factor: for the calculation of content, multiply the peak area of impurity A by 0.7;
— impurities A, C: for each impurity, not more than the area of the principal peak in the chromatogram obtained with reference solution (d) (1.0 per cent);
— any other impurity: for each impurity, not more than 0.5 times the area of the principal peak in the chromatogram obtained with reference solution (d) (0.5 per cent);
— total: not more than twice the area of the principal peak in the chromatogram obtained with reference solution (d) (2.0 per cent);
— disregard limit: 0.05 times the area of the principal peak in the chromatogram obtained with reference solution (d) (0.05 per cent).
Acetone (2.4.24)
Maximum 1.5 per cent.
Water (2.5.12)
Maximum 4.0 per cent, determined on 0.100 g.
ASSAY
Liquid chromatography (2.2.29) as described in the test for related substances with the following modification.
Injection: Test solution and reference solution (a).
Calculate the percentage content of C27H30ClNO11 taking into account the assigned content of epirubicin hydrochloride CRS.
STORAGE
In an airtight container, protected from light, at a temperature of 2 °C to 8 °C. If the substance is sterile, the container is also sterile and tamper-evident.
LABELLING
The label states, where applicable, that the substance is suitable for use in the manufacture of parenteral preparations.
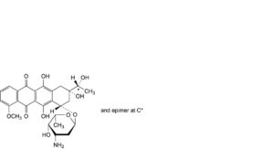
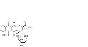
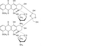
IMPURITIES
Specified impurities A, C.
Other detectable impurities (the following substances would, if present at a sufficient level, be detected by one or other of the tests in the monograph. They are limited by the general acceptance criterion for other/unspecified impurities. It is therefore not necessary to identify these impurities for demonstration of compliance. See also 5.10. Control of impurities in substances for pharmaceutical use) B, D, E, F, G.

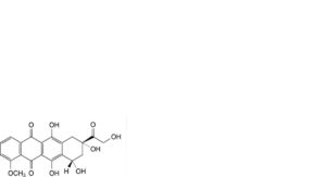
A. (8S,10S)-6,8,10,11-tetrahydroxy-8-(hydroxyacetyl)-1-methoxy-7,8,9,10-tetrahydrotetracene-5,12-dione (doxorubicinone),

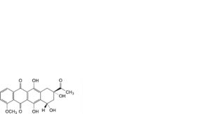
B. (8S,10S)-8-acetyl-6,8,10,11-tetrahydroxy-1-methoxy-7,8,9,10-tetrahydrotetracene-5,12-dione (daunorubicinone),

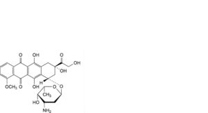
C. (8S,10S)-10-[(3-amino-2,3,6-trideoxy-α-L-lyxo-hexopyranosyl)oxy]-6,8,11-trihydroxy-8-(hydroxyacetyl)-1-methoxy-7,8,9,10-tetrahydrotetracene-5,12-dione (doxorubicin),

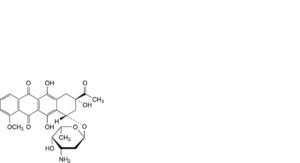
D. (8S,10S)-8-acetyl-10-[(3-amino-2,3,6-trideoxy-α-L-lyxo-hexopyranosyl)oxy]-6,8,11-trihydroxy-1-methoxy-7,8,9,10-tetrahydrotetracene-5,12-dione (daunorubicin),

E. (8S,10S)-10-[(3-amino-2,3,6-trideoxy-α-L-lyxo-hexopyranosyl)oxy]-6,8,11-trihydroxy-8-[(1RS)-1-hydroxyethyl]-1-methoxy-7,8,9,10-tetrahydrotetracene-5,12-dione (dihydrodaunorubicin),

F. (8S,10S)-8-acetyl-10-[(3-amino-2,3,6-trideoxy-α-L-arabino-hexopyranosyl)oxy]-6,8,11-trihydroxy-1-methoxy-7,8,9,10-tetrahydrotetracene-5,12-dione (epi-daunorubicin),

G. 8,8′-[(2R,4R)-4-hydroxy-2-(hydroxymethyl)-1,3-dioxolane-2,4-diyl]bis[(8S,10S)-10-[(3-amino-2,3,6-trideoxy-α-L-arabino-hexopyranosyl)oxy]-6,8,11-trihydroxy-1-methoxy-7,8,9,10-tetrahydrotetracene-5,12-dione]






