(Ph. Eur. monograph 2815)
C12H15N5O3,H2O 295.3 209216-23-9
DEFINITION
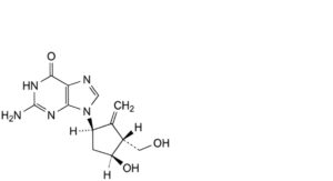
2-Amino-9-[(1S,3R,4S)-4-hydroxy-3-(hydroxymethyl)-2-methylidenecyclopentyl]-1,9-dihydro-6H-purin-6-one monohydrate.
Content
98.0 per cent to 102.0 per cent (anhydrous substance).
CHARACTERS
Appearance
White or almost white powder.
Solubility
Practically insoluble in water, in anhydrous ethanol and in heptane, slightly soluble in methanol.
It shows polymorphism (5.9).
IDENTIFICATION
A. Specific optical rotation (see Tests).
B. Infrared absorption spectrophotometry (2.2.24).
Comparison: entecavir monohydrate CRS.
If the spectra obtained show differences, suspend 50 mg of the substance to be examined and 50 mg of the reference substance separately in 5 mL of hot water R. Swirl protected from light and heat until a clear solution is obtained. Allow to cool and filter the precipitates in vacuo. Dry the precipitates for 12 h in a desiccator and record new spectra using the residues.
TESTS
Specific optical rotation (2.2.7)
+ 24 to + 30 (anhydrous substance), measured at 25 °C.
Dissolve 0.25 g in 10 mL of a mixture of equal volumes of dimethylformamide R and methanol R and dilute to 25.0 mL with the same mixture of solvents.
Impurity F
Liquid chromatography (2.2.29).
Test solution: Dissolve 25.0 mg of the substance to be examined in 10 mL of methanol R using sonication, and dilute to 25.0 mL with the same solvent.
Reference solution: Dissolve 2.5 mg of entecavir impurity F CRS in 20 mL of methanol R using sonication, and dilute to 50.0 mL with the same solvent. Dilute 1.0 mL of the solution to 50.0 mL with methanol R.
Column:
— size: l = 0.05 m, Ø = 4.6 mm;
— stationary phase: end-capped octadecylsilyl silica gel for chromatography R (5 μm);
— temperature: 30 °C.
Mobile phase:
— mobile phase A: 0.1 per cent V/V solution of trifluoroacetic acid R;
— mobile phase B: 0.1 per cent V/V solution of trifluoroacetic acid R in acetonitrile R;
| Time (min) |
Mobile phase A (per cent V/V) |
Mobile phase B (per cent V/V) |
| 0 – 8 | 65 → 53 | 35 → 47 |
Flow rate: 2.0 mL/min.
Detection: Spectrophotometer at 254 nm.
Injection: 10 μL.
Retention time: Impurity F = about 6 min.
Calculation of percentage content:
— for impurity F, use the concentration of impurity F in the reference solution.
Limit:
— impurity F: maximum 0.10 per cent.
Related substances
Liquid chromatography (2.2.29).
Test solution: Dissolve 25.0 mg of the substance to be examined in 10 mL of methanol R using sonication, and dilute to 25.0 mL with the same solvent. Dilute 2.0 mL of the solution to 10.0 mL with mobile phase A.
Reference solution (a): Dissolve 25.0 mg of entecavir monohydrate CRS in 10 mL of methanol R using sonication, and dilute to 25.0 mL with the same solvent. Dilute 2.0 mL of the solution to 10.0 mL with mobile phase A.
Reference solution (b): Dilute 1.0 mL of the test solution to 100.0 mL with mobile phase A. Dilute 1.0 mL of this solution to 10.0 mL with mobile phase A.
Reference solution (c): Dissolve the contents of a vial of entecavir for system suitability CRS (containing impurities A and C) in 1 mL of methanol R using sonication, and dilute to 5.0 mL with mobile phase A.
Column:
— size: l = 0.25 m, Ø = 4.6 mm;
— stationary phase: end-capped octadecylsilyl silica gel for chromatography R (5 μm).
Mobile phase:
— mobile phase A: acetonitrile R, water for chromatography R (3:97 V/V);
— mobile phase B: acetonitrile R;
| Time (min) |
Mobile phase A (per cent V/V) |
Mobile phase B (per cent V/V) |
| 0 – 8 | 100 | 0 |
| 8 – 50 | 100 → 77 | 0 → 23 |
| 50 – 75 | 77 → 17 | 23 → 83 |
Flow rate: 1.0 mL/min.
Detection: Spectrophotometer at 254 nm.
Injection: 10 μL of the test solution and reference solutions (b) and (c).
Identification of impurities: Use the chromatogram supplied with entecavir for system suitability CRS and the chromatogram obtained with reference solution (c) to identify the peaks due to impurities A and C.
Relative retention: With reference to entecavir (retention time = about 21 min): impurity A = about 0.9; impurity C = about 1.03.
System suitability: Reference solution (c):
— resolution: minimum 3.5 between the peaks due to impurity A and entecavir; minimum 2.0 between the peaks due to entecavir and impurity C.
Calculation of percentage contents:
— for each impurity, use the concentration of entecavir monohydrate in reference solution (b).
Limits:
— unspecified impurities: for each impurity, maximum 0.10 per cent;
— total: maximum 0.3 per cent;
— reporting threshold: 0.05 per cent; disregard any peak with a relative retention with reference to entecavir of about 3.4 (impurity F).
Water (2.5.32)
5.5 per cent to 7.0 per cent, determined on 30.0 mg by direct sample introduction.
Sulfated ash (2.4.14)
Maximum 0.1 per cent, determined on 1.0 g.
ASSAY
Liquid chromatography (2.2.29) as described in the test for related substances with the following modification.
Injection Test solution and reference solution (a).
Calculate the percentage content of C12H15N5O3 taking into account the assigned content of entecavir monohydrate CRS.
STORAGE
Protected from light.
IMPURITIES
Specified impurities F.
Other detectable impurities (the following substances would, if present at a sufficient level, be detected by one or other of the tests in the monograph. They are limited by the general acceptance criterion for other/unspecified impurities and/or by the general monograph Substances for pharmaceutical use (2034). It is therefore not necessary to identify these impurities for demonstration of compliance. See also 5.10. Control of impurities in substances for pharmaceutical use) A, B, C, D, E.

A. 2-amino-9-[(1R,3R,4S)-4-hydroxy-3-(hydroxymethyl)-2-methylidenecyclopentyl]-1,9-dihydro-6H-purin-6-one,

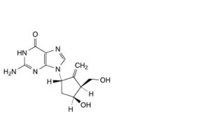
B. 2-amino-9-[(1S,3S,4S)-4-hydroxy-3-(hydroxymethyl)-2-methylidenecyclopentyl]-1,9-dihydro-6H-purin-6-one,

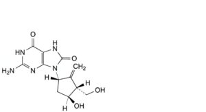
C. 2-amino-9-[(1S,3R,4S)-4-hydroxy-3-(hydroxymethyl)-2-methylidenecyclopentyl]-7,9-dihydro-1H-purine-6,8-dione,

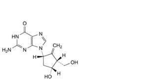
D. 2-amino-9-[(1S,3R,4R)-4-hydroxy-3-(hydroxymethyl)-2-methylidenecyclopentyl]-1,9-dihydro-6H-purin-6-one,

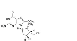
E. 2-amino-9-[(1S,3R,4S)-4-hydroxy-3-(hydroxymethyl)-2-methylidenecyclopentyl]-8-methoxy-1,9-dihydro-6H-purin-6- one,

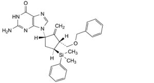
F. 2-amino-9-[(1S,3R,4S)-3-[(benzyloxy)methyl]-4-[dimethyl(phenyl)silyl]-2-methylidenecyclopentyl]-1,9-dihydro-6H-purin- -one.






