(Ph. Eur. monograph 2574)
C14H15N3O5 305.3 130929-57-6
Action and use
Catechol-O-methyl transferase inhibitor; treatment of Parkinson’s disease.
DEFINITION
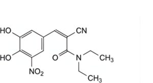
(2E)-2-Cyano-3-(3,4-dihydroxy-5-nitrophenyl)-N,N-diethylprop-2-enamide.
Content
98.0 per cent to 102.0 per cent (dried substance).
CHARACTERS
Appearance
Greenish-yellow or yellow powder.
Solubility
Practically insoluble in water, soluble or sparingly soluble in acetone, slightly soluble in anhydrous ethanol.
It shows polymorphism (5.9).
IDENTIFICATION
Infrared absorption spectrophotometry (2.2.24).
Comparison: entacapone CRS.
If the spectra obtained in the solid state show differences, dissolve the substance to be examined and the reference substance separately in acetone R, evaporate to dryness and record new spectra using the residues.
TESTS
Related substances
Liquid chromatography (2.2.29). Use freshly prepared solutions.
Solvent mixture tetrahydrofuran R, methanol R (30:70 V/V).
Test solution (a): Dissolve 50.0 mg of the substance to be examined in the solvent mixture and dilute to 50.0 mL with the solvent mixture.
Test solution (b): Dilute 5.0 mL of test solution (a) to 50.0 mL with the solvent mixture.
Reference solution (a): Dissolve 5 mg of entacapone impurity A CRS in the solvent mixture, add 5.0 mL of test solution (a) and dilute to 25.0 mL with the solvent mixture. Dilute 1.0 mL of the solution to 20.0 mL with the solvent mixture. Dilute 1.0 mL of this solution to 10.0 mL with the solvent mixture.
Reference solution (b): Dilute 1.0 mL of test solution (b) to 100.0 mL with the solvent mixture.
Reference solution (c): Dissolve 50.0 mg of entacapone CRS in the solvent mixture and dilute to 50.0 mL with the solvent mixture. Dilute 5.0 mL of the solution to 50.0 mL with the solvent mixture.
Column:
— size: l = 0.25 m, Ø = 4.6 mm;
— stationary phase: end-capped propyl-2-phenylsilyl amorphous organosilica polymer R (5 μm).
Mobile phase: Mix 2 volumes of tetrahydrofuran R, 44 volumes of methanol R and 54 volumes of a 2.34 g/L solution of sodium dihydrogen phosphate R previously adjusted to pH 2.1 with phosphoric acid R.
Flow rate: 1.0 mL/min.
Detection: Spectrophotometer at 300 nm.
Injection: 10 μL of test solution (a) and reference solutions (a) and (b).
Run time: 2.5 times the retention time of entacapone.
Relative retention: With reference to entacapone (retention time = about 17 min): impurity A = about 0.8.
System suitability: Reference solution (a):
— resolution: minimum 3.0 between the peaks due to impurity A and entacapone.
Limits:
— impurity A: not more than 1.5 times the area of the principal peak in the chromatogram obtained with reference solution (b) (0.15 per cent);
— unspecified impurities: for each impurity, not more than the area of the principal peak in the chromatogram obtained with reference solution (b) (0.10 per cent);
— sum of impurities other than A: not more than twice the area of the principal peak in the chromatogram obtained with reference solution (b) (0.2 per cent);
— disregard limit: 0.5 times the area of the principal peak in the chromatogram obtained with reference solution (b) (0.05 per cent).
Loss on drying (2.2.32)
Maximum 0.5 per cent, determined on 1.000 g by drying in vacuo at 60 °C.
Sulfated ash (2.4.14)
Maximum 0.1 per cent, determined on 1.0 g.
ASSAY
Liquid chromatography (2.2.29) as described in the test for related substances with the following modification.
Injection: Test solution (b) and reference solution (c).
Calculate the percentage content of C14H15N3O5 from the declared content of entacapone CRS.
STORAGE
Protected from light.
IMPURITIES
Specified impurities A.
Other detectable impurities (the following substances would, if present at a sufficient level, be detected by one or other of the tests in the monograph. They are limited by the general acceptance criterion for other/unspecified impurities and/or by the general monograph Substances for pharmaceutical use (2034). It is therefore not necessary to identify these impurities for demonstration of compliance. See also 5.10. Control of impurities in substances for pharmaceutical use) B, C, D, E, F, G, H, I.

A. (2Z)-2-cyano-3-(3,4-dihydroxy-5-nitrophenyl)-N,N-diethylprop-2-enamide,

B. ethyl (2E)-2-cyano-3-(3,4-dihydroxy-5-nitrophenyl)prop-2-enoate,

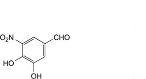
C. 3,4-dihydroxy-5-nitrobenzaldehyde,

D. (2E)-2-cyano-3-(3-ethoxy-4-hydroxy-5-nitrophenyl)-N,N-diethylprop-2-enamide,

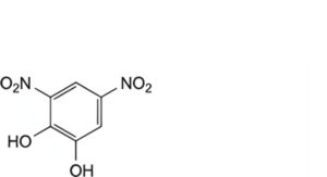
E. 3,5-dinitrobenzene-1,2-diol,

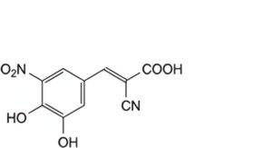
F. (2E)-2-cyano-3-(3,4-dihydroxy-5-nitrophenyl)prop-2-enoic acid,

G. (2E)-2-cyano-3-(3,4-dihydroxy-5-nitrophenyl)-N-methylprop-2-enamide,

H. (2E)-3-(3,4-dihydroxy-5-nitrophenyl)-2-(piperidin-1-ylcarbonyl)prop-2-ennitrile,

I. propyl (2E)-2-cyano-3-(3,4-dihydroxy-5-nitrophenyl)prop-2-enoate.






