(Ph. Eur. monograph 1749)
C18H24N2O5,2H2O 384.4 84680-54-6
Action and use
Angiotensin converting enzyme inhibitor.
DEFINITION
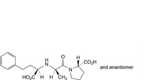
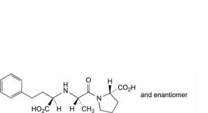
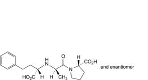
(2S)-1-[(2S)-2-[[(1S)-1-Carboxy-3-phenylpropyl]amino]propanoyl)pyrrolidine-2-carboxylic acid dihydrate.
Content
98.5 per cent to 101.5 per cent (anhydrous substance).
CHARACTERS
Appearance
White or almost white, hygroscopic, crystalline powder.
Solubility
Very slightly soluble or slightly soluble in water, sparingly soluble in methanol, practically insoluble in acetonitrile.
It shows pseudopolymorphism (5.9).
IDENTIFICATION
A. Specific optical rotation (see Tests).
B. Infrared absorption spectrophotometry (2.2.24).
Preparation: Mulls in liquid paraffin R.
Comparison: enalaprilat dihydrate CRS.
If the spectra obtained show differences, expose the substance to be examined and the reference substance to a 98 per cent relative humidity for 3 days using a chamber conditioned with a saturated solution of calcium sulfate R. Record new spectra.
TESTS
Appearance of solution
The solution is clear (2.2.1) and colourless (2.2.2, Method II).
Dissolve 0.10 g in water R and dilute to 100.0 mL with the same solvent.
Specific optical rotation (2.2.7)
-53.0 to -56.0 (anhydrous substance).
Dissolve 0.200 g in methanol R and dilute to 20.0 mL with the same solvent.
Related substances
Liquid chromatography (2.2.29). Use freshly prepared solutions.
Buffer solution: Dissolve 1.36 g of potassium dihydrogen phosphate R in 950 mL of water R. Adjust to pH 3.0 with phosphoric acid R and dilute to 1000 mL with water R.
Solvent mixture Buffer solution, acetonitrile R1, methanol R1 (1:2:2 V/V/V).
Dissolution mixture: Solvent mixture, buffer solution (8:92 V/V).
Test solution: Dissolve 25.0 mg of the substance to be examined in 2.5 mL of methanol R1 and dilute to 25.0 mL with the dissolution mixture.
Reference solution (a): Dilute 1.0 mL of the test solution to 100.0 mL with the dissolution mixture. Dilute 5.0 mL of this solution to 10.0 mL with the dissolution mixture.
Reference solution (b): Dissolve 5 mg of enalaprilat for system suitability CRS (containing impurity C) in 0.5 mL of methanol R1 and dilute to 5 mL with the dissolution mixture.
Reference solution (c): Dissolve the contents of a vial of enalaprilat impurity G CRS in 1 mL of the test solution.
Column:
— size: l = 0.25 m, Ø = 4.6 mm;
— stationary phase: end-capped octadecylsilyl silica gel for chromatography R (5 μm);
— temperature: 70 °C.
Mobile phase:
— mobile phase A: solvent mixture, buffer solution (10:90 V/V);
— mobile phase B: acetonitrile R1;
| Time
(min) |
Mobile phase A
(per cent V/V) |
Mobile phase B
(per cent V/V) |
| 0 – 25 | 100 | 0 |
| 25 – 50 | 100 → 90 | 0 → 10 |
| 50 – 80 | 90 | 10 |
Flow rate: 2.0 mL/min.
Detection: Spectrophotometer at 210 nm.
Injection: 20 μL.
Identification of impurities: Use the chromatogram supplied with enalaprilat for system suitability CRS and the chromatogram obtained with reference solution (b) to identify the peak due to impurity C; use the chromatogram obtained with reference solution (c) to identify the peak due to impurity G.
Relative retention: With reference to enalaprilat (retention time = about 21 min): impurity C = about 1.2; impurity G = about 2.9.
System suitability: Reference solution (b):
— peak-to-valley ratio: minimum 2.0, where Hp = height above the baseline of the peak due to impurity C and Hv = height above the baseline of the lowest point of the curve separating this peak from the peak due to enalaprilat.
Limits:
— impurities C, G: for each impurity, not more than the area of the principal peak in the chromatogram obtained with reference solution (a) (0.5 per cent);
— unspecified impurities: for each impurity, not more than 0.2 times the area of the principal peak in the chromatogram obtained with reference solution (a) (0.10 per cent);
— total: not more than twice the area of the principal peak in the chromatogram obtained with reference solution (a) (1.0 per cent);
— disregard limit: 0.1 times the area of the principal peak in the chromatogram obtained with reference solution (a) (0.05 per cent).
Water (2.5.12)
7.0 per cent to 11.0 per cent, determined on 0.100 g.
Sulfated ash (2.4.14)
Maximum 0.1 per cent, determined on 1.0 g.
Bacterial endotoxins (2.6.14)
Less than 0.1 IU/mg.
ASSAY
Dissolve 0.300 g in glacial acetic acid R and dilute to 50 mL with the same solvent. Titrate with 0.1 M perchloric acid, determining the end point potentiometrically (2.2.20).
1 mL of 0.1 M perchloric acid is equivalent to 34.84 mg of C18H24N2O5.
STORAGE
In an airtight container.
IMPURITIES
Specified impurities C, G.
Other detectable impurities (the following substances would, if present at a sufficient level, be detected by one or other of the tests in the monograph. They are limited by the general acceptance criterion for other/unspecified impurities and/or by the general monograph Substances for pharmaceutical use (2034). It is therefore not necessary to identify these impurities for demonstration of compliance. See also 5.10. Control of impurities in substances for pharmaceutical use) A, B, D, E, F.

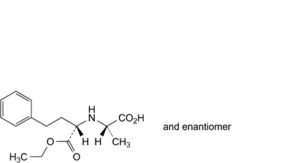
A. (2SR)-2-[[(1SR)-1-carboxyethyl]amino]-4-phenylbutanoic acid,

B. (2SR)-1-[(2RS)-2-[[(1RS)-1-carboxy-3-phenylpropyl]amino]propanoyl]pyrrolidine-2-carboxylic acid,

C. (2SR)-1-[(2SR)-2-[[(1RS)-1-carboxy-3-phenylpropyl]amino]propanoyl]pyrrolidine-2-carboxylic acid,

D. (2SR)-1-[(2RS)-2-[[(1SR)-1-carboxy-3-phenylpropyl]amino]propanoyl]pyrrolidine-2-carboxylic acid,

E. (2SR)-1-[[(2SR)-1-[(2SR)-2-[[(1SR)-1-carboxy-3-phenylpropyl]amino]propanoyl]pyrrolidin-2-yl]carbonyl]pyrrolidine-2-carboxylic acid,

F. (2SR)-2-[[(1SR)-1-(ethoxycarbonyl)-3-phenylpropyl]amino]propanoic acid,

G. (2SR)-2-[(3SR,8aRS)-3-methyl-1,4-dioxohexahydropyrrolo[1,2-a]pyrazin-2(1H)-yl]-4-phenylbutanoic acid.






