(Ph. Eur. monograph 1420)
C24H32N2O9 492.5 76095-16-4
Action and use
Angiotensin converting enzyme inhibitor.
Preparation
Enalapril Tablets
DEFINITION
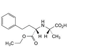
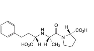
(2S)-1-[(2S)-2-[[(1S)-1-(Ethoxycarbonyl)-3-phenylpropyl]amino]propanoyl]pyrrolidine-2-carboxylic acid hydrogen (Z)-butenedioate.
Content
98.5 per cent to 101.5 per cent (dried substance).
CHARACTERS
Appearance
White or almost white, crystalline powder.
Solubility
Sparingly soluble in water, freely soluble in methanol, practically insoluble in methylene chloride. It dissolves in dilute solutions of alkali hydroxides.
IDENTIFICATION
Infrared absorption spectrophotometry (2.2.24).
Comparison enalapril maleate CRS.
TESTS
Solution S
Dissolve 0.25 g in carbon dioxide-free water R and dilute to 25.0 mL with the same solvent.
Appearance of solution
Solution S is clear (2.2.1) and colourless (2.2.2, Method II).
pH (2.2.3)
2.4 to 2.9 for solution S.
Specific optical rotation (2.2.7)
-51 to -48 (dried substance), determined on solution S.
Related substances
Liquid chromatography (2.2.29).
Buffer solution A: Dissolve 2.8 g of sodium dihydrogen phosphate monohydrate R in 950 mL of water for
chromatography R, adjust to pH 2.5 with phosphoric acid R and dilute to 1000 mL with water for chromatography R.
Buffer solution B: Dissolve 2.8 g of sodium dihydrogen phosphate monohydrate R in 950 mL of water for
chromatography R, adjust to pH 6.8 with strong sodium hydroxide solution R and dilute to 1000 mL with water for chromatography R.
Solvent mixture acetonitrile R1, buffer solution A (5:95 V/V).
Test solution (a): Dissolve 30 mg of the substance to be examined in the solvent mixture and dilute to 100.0 mL with the solvent mixture.
Test solution (b): Dissolve 0.100 g of the substance to be examined in the solvent mixture and dilute to 20.0 mL with the solvent mixture.
Reference solution (a): Dilute 1.0 mL of test solution (a) to 100.0 mL with the solvent mixture. Dilute 1.0 mL of this solution to 10.0 mL with the solvent mixture.
Reference solution (b): Dissolve 3 mg of enalapril for system suitability CRS (containing impurity A) in the solvent mixture and dilute to 10.0 mL with the solvent mixture.
Reference solution (c) Dissolve the contents of a vial of enalapril impurity mixture A CRS (impurities C and H) in 1.0 mL of the solvent mixture.
Reference solution (d) Dissolve 2.0 mg of enalapril impurity G CRS in the solvent mixture and dilute to 10.0 mL with the solvent mixture. Dilute 1.0 mL of the solution to 20.0 mL with the solvent mixture.
Column:
— size: l = 0.15 m, Ø = 4.1 mm;
— stationary phase: styrene-divinylbenzene copolymer R (5 μm);
— temperature: 70 °C.
Mobile phase:
— mobile phase A: acetonitrile R1, buffer solution B (5:95 V/V);
— mobile phase B: buffer solution B, acetonitrile R1 (34:66 V/V);
| Time (min) |
Mobile phase A (per cent V/V) |
Mobile phase B (per cent V/V) |
| 0 – 3 | 95 | 5 |
| 3 – 23 | 95 → 40 | 5 → 60 |
| 23 – 30 | 40 | 60 |
Flow rate 1.0 mL/min.
Detection: Spectrophotometer at 215 nm.
Injection 50 μL of test solution (a): and reference solutions (a), (b) and (c); for impurity G, test solution (b) and reference solution (d).
Identification of impurities: Use the chromatogram obtained with reference solution (b) to identify the peak due to impurity A; use the chromatogram supplied with enalapril impurity mixture A CRS and the chromatogram obtained with reference solution (c) to identify the peaks due to impurities C and H; use the chromatogram obtained with reference solution (d) to identify the peak due to impurity G.
Relative retention: With reference to enalapril (retention time = about 13 min): maleic acid = about 0.1; impurity C = about 0.2; impurity A = about 1.1; impurity G = about 1.2; impurity H = about 1.3.
System suitability:
— signal-to-noise ratio: minimum 40 for the peak due to enalapril in the chromatogram obtained with reference solution (a); minimum 40 for the peak due to impurity G in the chromatogram obtained with reference solution (d);
— peak-to-valley ratio: minimum 10, where Hp = height above the baseline of the peak due to impurity A and Hv = height above the baseline of the lowest point of the curve separating this peak from the peak due to enalapril in the chromatogram obtained with reference solution (b).
Calculation of percentage contents:
— correction factor: multiply the peak area of impurity H by 2.0;
— for impurity G, use the concentration of impurity G in reference solution (d);
— for impurities other than G, use the concentration of enalapril maleate in reference solution (a).
Limits:
— impurity A: maximum 0.5 per cent;
— impurity H: maximum 0.3 per cent;
— impurities C, G: for each impurity, maximum 0.2 per cent;
— unspecified impurities: for each impurity, maximum 0.10 per cent;
— total: maximum 1.0 per cent;
— reporting threshold: 0.05 per cent; disregard the peak due to maleic acid.
Loss on drying (2.2.32)
Maximum 1.0 per cent, determined on 1.000 g by drying in an oven at 105 °C for 3 h.
Sulfated ash (2.4.14)
Maximum 0.1 per cent, determined on 1.0 g.
ASSAY
Dissolve 0.100 g in carbon dioxide-free water R and dilute to 50 mL with the same solvent. Titrate with 0.1 M sodium hydroxide, determining the end-point potentiometrically (2.2.20). Titrate to the 2 point of inflexion.
1 mL of 0.1 M sodium hydroxide is equivalent to 16.42 mg of C24H32N2O9.
STORAGE
Protected from light.
IMPURITIES
Specified impurities A, C, G, H.
Other detectable impurities (the following substances would, if present at a sufficient level, be detected by one or other of the tests in the monograph. They are limited by the general acceptance criterion for other/unspecified impurities and/or by the general monograph Substances for pharmaceutical use (2034). It is therefore not necessary to identify these impurities for demonstration of compliance. See also 5.10. Control of impurities in substances for pharmaceutical use) B, D, E, F, I.

A. (2S)-1-[(2S)-2-[[(1R)-1-(ethoxycarbonyl)-3-phenylpropyl]amino]propanoyl]pyrrolidine-2-carboxylic acid,

B. (2S)-2-[[(1S)-1-(ethoxycarbonyl)-3-phenylpropyl]amino]propanoic acid,

C. (2S)-1-[(2S)-2-[[(1S)-1-carboxy-3-phenylpropyl]amino]propanoyl]pyrrolidine-2-carboxylic acid,

D. ethyl (2S)-2-[(3S,8aS)-3-methyl-1,4-dioxohexahydropyrrolo[1,2-a]pyrazin-2(1H)-yl]-4-phenylbutanoate,

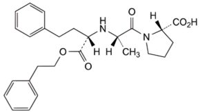
E. (2S)-1-[(2S)-2-[[(1S)-3-phenyl-1-[(2-phenylethoxy)carbonyl]propyl]amino]propanoyl]pyrrolidine-2-carboxylic acid,

F. (2S)-1-[(2S)-2-[[(1S)-1-(butoxycarbonyl)-3-phenylpropyl]amino]propanoyl]pyrrolidine-2-carboxylic acid,

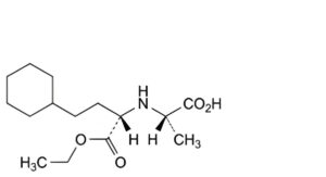
G. (2S)-2-[[(1S)-3-cyclohexyl-1-(ethoxycarbonyl)propyl]amino]propanoic acid,

H. (2S)-1-[(2S)-2-[[(1S)-3-cyclohexyl-1-(ethoxycarbonyl)propyl]amino]propanoyl]pyrrolidine-2-carboxylic acid,

I. 1H-imidazole.






