(Emedastine Difumarate, Ph. Eur. monograph 2242)
C25H34N4O9 534.6 87233-62-3
Action and use
Histamine H1 receptor antagonist; antihistamine.
DEFINITION
1-(2-Ethoxyethyl)-2-(4-methylhexahydro-1H-1,4-diazepin-1-yl)-1H-benzimidazole bis[hydrogen (2E)-butenedioate].
Content
99.0 per cent to 101.0 per cent (dried substance).
CHARACTERS
Appearance
White or yellowish powder.
Solubility
Soluble in water, sparingly soluble in anhydrous ethanol, very slightly soluble in acetone.
It shows polymorphism (5.9).
IDENTIFICATION
Infrared absorption spectrophotometry (2.2.24).
Comparison emedastine difumarate CRS.
If the spectra obtained in the solid state show differences, dissolve the substance to be examined and the reference substance separately in anhydrous ethanol R, evaporate to dryness and record new spectra using the residues.
TESTS
Appearance of solution
The solution is clear (2.2.1) and not more intensely coloured than reference solution Y5(2.2.2, Method II).
Dissolve 2.50 g in water R and dilute to 50 mL with the same solvent.
pH (2.2.3)
3.0 to 4.5.
Dissolve 0.20 g in 100 mL of carbon dioxide-free water R.
Related substances
Liquid chromatography (2.2.29).
Test solution: Dissolve 10 mg of the substance to be examined in the mobile phase and dilute to 10 mL with the mobile phase.
Reference solution (a): Dissolve 5 mg of emedastine impurity E CRS in the mobile phase and dilute to 25 mL with the mobile phase.
Reference solution (b): Dissolve 10 mg of the substance to be examined in the mobile phase. Add 0.5 mL of reference solution (a) and dilute to 10 mL with the mobile phase.
Reference solution (c): Dilute 5.0 mL of the test solution to 50.0 mL with the mobile phase. Dilute 1.0 mL of this solution to 100.0 mL with the mobile phase.
Column:
— size: l = 0.15 m, Ø = 4.6 mm;
— stationary phase: octadecylsilyl silica gel for chromatography R (5 μm).
Mobile phase: Dissolve 3.9 g of disodium hydrogen phosphate dodecahydrate R and 2.5 g of sodium dodecyl sulfate R in water R and dilute to 1000.0 mL with the same solvent. Adjust to pH 2.4 with phosphoric acid R. Mix 550 volumes of this solution with 450 volumes of acetonitrile R.
Flow rate 1.0 mL/min.
Detection Spectrophotometer at 280 nm.
Injection 10 μL of the test solution and reference solutions (b) and (c).
Run time: Twice the retention time of emedastine.
Relative retention: With reference to emedastine (retention time = about 18 min): fumaric acid = about 0.1;
impurity A = about 0.2; impurity B = about 0.3; impurity C = about 0.5; impurity D = about 0.7; impurity E = about 0.9; impurity F = about 1.4.
System suitability Reference solution (b):
— peak-to-valley ratio: minimum 4, where Hp = height above the baseline of the peak due to impurity E and Hv = height above the baseline of the lowest point of the curve separating this peak from the peak due to emedastine.
Limits:
— impurities A, B, C, D, E, F: for each impurity, not more than the area of the principal peak in the chromatogram obtained with reference solution (c) (0.1 per cent);
— unspecified impurities: for each impurity, not more than the area of the principal peak in the chromatogram obtained with reference solution (c) (0.1 per cent);
— total: not more than twice the area of the principal peak in the chromatogram obtained with reference solution (c) (0.2 per cent);
— disregard limit: 0.5 times the area of the principal peak in the chromatogram obtained with reference solution (c) (0.05 per cent); disregard the peak due to fumaric acid.
Loss on drying (2.2.32)
Maximum 0.5 per cent, determined on 1.000 g by drying in an oven at 105 °C for 3 h.
Sulfated ash (2.4.14)
Maximum 0.1 per cent, determined on 1.0 g.
ASSAY
Dissolve 0.200 g in 50 mL of glacial acetic acid R. Titrate with 0.1 M perchloric acid, determining the end-point potentiometrically (2.2.20).
1 mL of 0.1 M perchloric acid is equivalent to 26.73 mg of C25H34N4O9.
STORAGE
Protected from light.
IMPURITIES
Specified impurities A, B, C, D, E, F.

A. 1-(2-ethoxyethyl)-1,3-dihydro-2H-benzimidazol-2-one,

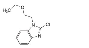
B. 2-chloro-1-(2-ethoxyethyl)-1H-benzimidazole,

C. 2-[2-(4-methylhexahydro-1H-1,4-diazepin-1-yl)-1H-benzimidazol-1-yl]ethanol,

D. 1-ethenyl-2-(4-methylhexahydro-1H-1,4-diazepin-1-yl)-1H-benzimidazole,

E. 1-(2-ethoxyethyl)-2-(hexahydro-1H-1,4-diazepin-1-yl)-1H-benzimidazole,

F. N-[1-(2-ethoxyethyl)-1H-benzimidazol-2-yl]-N′-methylpropane-1,3-diamine.






