Edition: BP 2025 (Ph. Eur. 11.6 update)
DEFINITION
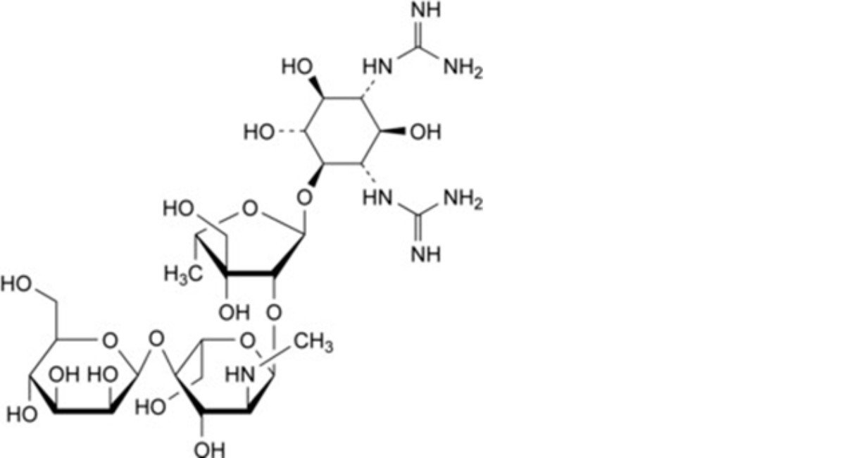
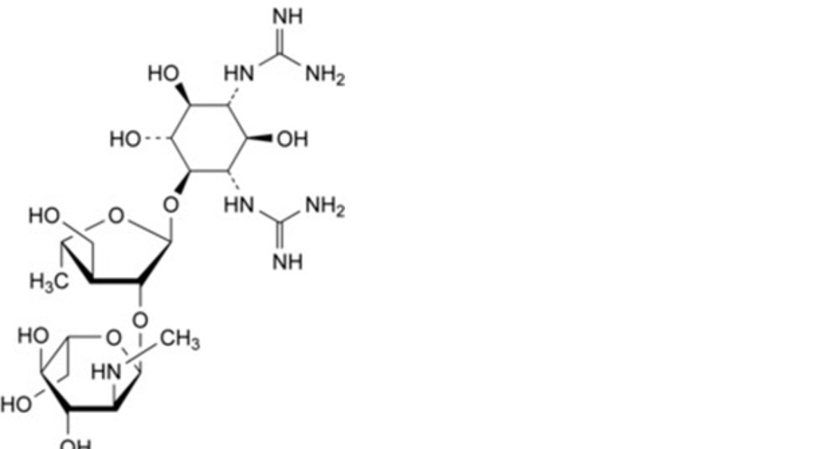
Main compound Bis[N1,N3-dicarbamimidoyl-4-O-[5-deoxy-2-O-[2-deoxy-2-(methylamino)-α-L-glucopyranosyl]-3-C- (hydroxymethyl)-α-L-lyxofuranosyl]-D-streptamine] trisulfate.
Sulfate of a substance obtained by catalytic hydrogenation of streptomycin or by any other means. Semi-synthetic product derived from a fermentation product.
Stabilisers may be added.
Content
— sum of the percentage contents of dihydrostreptomycin sulfate and streptomycin sulfate: 94.0 per cent to 102.0 per cent (dried substance);
— streptomycin sulfate: maximum 2.0 per cent (dried substance).
CHARACTERS
Appearance
White or almost white, hygroscopic powder.
Solubility
Freely soluble in water, practically insoluble in acetone, in ethanol (96 per cent) and in methanol.
IDENTIFICATION
First identification: A, E.
Second identification: B, C, D, E.
A. Examine the chromatograms obtained in the assay.
Results The principal peak in the chromatogram obtained with the test solution is similar in retention time and size to the principal peak in the chromatogram obtained with reference solution (a).
B. Thin-layer chromatography (2.2.27).
Test solution Dissolve 10 mg of the substance to be examined in water R and dilute to 10 mL with the same solvent. Reference solution (a) Dissolve the contents of a vial of dihydrostreptomycin sulfate CRS in 5.0 mL of water R. Reference solution (b) Dilute 1.0 mL of reference solution (a) to 5.0 mL with water R.
Reference solution (c) Dissolve 10 mg of kanamycin monosulfate CRS and 10 mg of neomycin sulfate CRS in water R, add 2.0 mL of reference solution (a), mix thoroughly and dilute to 10 mL with water R.
Plate TLC silica gel plate R.
Mobile phase 70 g/L solution of potassium dihydrogen phosphate R. Application 10 µL.
Development Over 2/3 of the plate.
Drying In a current of warm air.
Detection Spray with a mixture of equal volumes of a 2 g/L solution of 1,3-dihydroxynaphthalene R in ethanol (96 per cent) R and a 460 g/L solution of sulfuric acid R; heat at 150 °C for 5-10 min.
System suitability Reference solution (c):
— the chromatogram shows 3 clearly separated spots.
Results The principal spot in the chromatogram obtained with the test solution is similar in position, colour and size to the principal spot in the chromatogram obtained with reference solution (b).
C. Dissolve 0.1 g in 2 mL of water R and add 1 mL of α-naphthol solution R and 2 mL of a mixture of equal volumes of strong sodium hypochlorite solution R and water R. A red colour develops.
D. Dissolve 10 mg in 5 mL of water R and add 1 mL of a 103 g/L solution of hydrochloric acid R. Heat in a water-bath for 2 min. Add 2 mL of a 5 g/L solution of α-naphthol R in a 40 g/L solution of sodium hydroxide R and heat in a water-bath for 1 min. A violet-pink colour is produced.
E. It gives reaction (a) of sulfates (2.3.1).
TESTS
Solution S
Dissolve 2.5 g in carbon dioxide-free water R and dilute to 10 mL with the same solvent.
Appearance of solution
Solution S is not more intensely coloured than intensity 5 of the range of reference solutions of the most appropriate colour (2.2.2, Method II). Allow to stand protected from light at about 20 °C for 24 h; solution S is not more opalescent than reference suspension II (2.2.1).
pH (2.2.3)
5.0 to 7.0 for solution S.
Specific optical rotation (2.2.7)
-91.0 to -83.0 (dried substance).
Dissolve 0.200 g in water R and dilute to 10.0 mL with the same solvent.
Related substances
Liquid chromatography (2.2.29).
Test solution Dissolve 50.0 mg of the substance to be examined in water R and dilute to 10.0 mL with the same solvent.
Reference solution (a) Dissolve the contents of a vial of dihydrostreptomycin sulfate CRS (containing impurities A, B and C) in 5.0 mL of water R.
Reference solution (b) Dilute 1.0 mL of the test solution to 100.0 mL with water R. Reference solution (c) Dilute 5.0 mL of reference solution (b) to 50.0 mL with water R.
Reference solution (d) Dissolve 10 mg of streptomycin sulfate for identification CRS in water R and dilute to 20 mL with the same solvent. Mix 0.1 mL of this solution with 1.0 mL of reference solution (a).
Reference solution (e) Dilute 1.0 mL of reference solution (a) to 100.0 mL with water R. Column:
— size: l = 0.25 m, Ø = 4.6 mm;
— stationary phase: end-capped octadecylsilyl silica gel for chromatography R (5 µm);
— temperature: 45 °C.
Mobile phase Solution containing 4.6 g/L of anhydrous sodium sulfate R, 1.5 g/L of sodium octanesulfonate R, 120 mL/L of acetonitrile R1 and 50 mL/L of a 27.2 g/L solution of potassium dihydrogen phosphate R previously adjusted to pH 3.0 with a 22.5 g/L solution of phosphoric acid R.
Flow rate 1.0 mL/min.
Detection Spectrophotometer at 205 nm.
Injection 20 µL.
Run time 1.5 times the retention time of dihydrostreptomycin.
Identification of impurities Use the chromatogram supplied with dihydrostreptomycin sulfate CRS and the chromatogram obtained with reference solution (a) to identify the peaks due to streptomycin and impurities A, B and C.
Relative retention With reference to dihydrostreptomycin (retention time = about 57 min): impurity A = about 0.2; impurity B = about 0.8; streptomycin = about 0.9; impurity C = about 0.95.
System suitability:
— peak-to-valley ratio: minimum 1.1, where Hp = height above the baseline of the peak due to streptomycin and
Hv = height above the baseline of the lowest point of the curve separating this peak from the peak due to impurity C in the chromatogram obtained with reference solution (d); minimum 5, where Hp = height above the baseline of the peak due to impurity C and Hv = height above the baseline of the lowest point of the curve separating this peak from the peak due to dihydrostreptomycin in the chromatogram obtained with reference solution (d);
— the chromatogram obtained with reference solution (a) is similar to the chromatogram supplied with dihydrostreptomycin sulfate CRS. Limits:
— correction factor: for the calculation of content, multiply the peak area of impurity A by 0.5;
— impurity C: not more than twice the area of the principal peak in the chromatogram obtained with reference solution (b) (2.0 per cent);
— impurities A, B: for each impurity, not more than the area of the principal peak in the chromatogram obtained with reference solution (b) (1.0 per cent);
— any other impurity: for each impurity, not more than the area of the principal peak in the chromatogram obtained with reference solution (b) (1.0 per cent);
— total: not more than 5 times the area of the principal peak in the chromatogram obtained with reference solution (b) (5.0 per cent);
— disregard limit: the area of the principal peak in the chromatogram obtained with reference solution (c) (0.1 per cent); disregard the peak due to streptomycin.
Loss on drying (2.2.32)
Maximum 5.0 per cent, determined on 1.000 g by drying in vacuo at 60 °C at a pressure not exceeding 0.1 kPa for 4 h.
Sulfated ash (2.4.14)
Maximum 1.0 per cent, determined on 1.0 g.
ASSAY
Liquid chromatography (2.2.29) as described in the test for related substances with the following modification.
Injection Test solution and reference solutions (a) and (e).
Calculate the percentage content of streptomycin sulfate using the chromatogram obtained with reference solution (e) and taking into account the assigned content of dihydrostreptomycin sulfate CRS.
Calculate the percentage content of dihydrostreptomycin sulfate using the chromatogram obtained with reference solution (a) and taking into account the assigned content of dihydrostreptomycin sulfate CRS.
STORAGE
In an airtight container, protected from light. If the substance is sterile, the container is also sterile and tamper-evident.
IMPURITIES
Specified impurities A, B, C.
Other detectable impurities (the following substances would, if present at a sufficient level, be detected by one or other of the tests in the monograph. They are limited by the general acceptance criterion for other/unspecified impurities. It is therefore not necessary to identify these impurities for demonstration of compliance. See also 5.10. Control of impurities in substances for pharmaceutical use) D.

A. N1,N3-dicarbamimidoyl-D-streptamine (streptidine),

B. N1,N3-dicarbamimidoyl-4-O-[5-deoxy-2-O-[2-deoxy-4-O-β-D-mannopyranosyl-2-(methylamino)-α-L-glucopyranosyl]-3- C-(hydroxymethyl)-α-L-lyxofuranosyl]-D-streptamine (dihydrostreptomycin B),
C. unknown structure,

D. N1,N3-dicarbamimidoyl-4-O-[3,5-dideoxy-2-O-[2-deoxy-2-(methylamino)-α-L-glucopyranosyl]-3-C-(hydroxymethyl)-α-L- arabinofuranosyl]-D-streptamine (deoxydihydrostreptomycin).






