Edition: BP 2025 (Ph. Eur. 11.6 update)
Action and use
Fluroquinolone antibacterial.
DEFINITION
6-Fluoro-1-(4-fluorophenyl)-7-(4-methylpiperazin-1-yl)-4-oxo-1,4-dihydroquinoline-3-carboxylic acid hydrochloride trihydrate.
Content
99.0 per cent to 101.0 per cent (anhydrous substance).
CHARACTERS
Appearance
White or light yellow, crystalline powder.
Solubility
Slightly soluble in water and in methanol, very slightly soluble in methylene chloride.
It shows polymorphism (5.9).
IDENTIFICATION
A. Infrared absorption spectrophotometry (2.2.24).
Comparison difloxacin hydrochloride CRS.
If the spectra obtained in the solid state show differences, dissolve the substance to be examined and the reference substance separately in methanol R, evaporate to dryness and record new spectra using the residues.
B. Suspend 30 mg in 2 mL of water R, acidify with dilute nitric acid R and filter. The clear filtrate gives reaction (a) of chlorides (2.3.1).
C. Water (see Tests).
TESTS
Related substances
Liquid chromatography (2.2.29).
Solvent mixture acetonitrile R, water R (50:50 V/V).
Solution A Dissolve 2.72 g of potassium dihydrogen phosphate R in 900 mL of water for chromatography R and adjust to pH 2.5 with phosphoric acid R; dilute to 1000 mL with water for chromatography R.
Test solution Dissolve 30.0 mg of the substance to be examined in 50.0 mL of the solvent mixture and dilute to 100.0 mL with mobile phase A.
Reference solution (a) Dissolve 6.0 mg of difloxacin impurity G CRS in acetonitrile R and dilute to 20.0 mL with the same solvent.
Reference solution (b) Mix 0.5 mL of reference solution (a), 1.0 mL of the test solution and 50 mL of the solvent mixture and dilute to 100.0 mL with mobile phase A.
Reference solution (c) Dissolve 3 mg of sarafloxacin hydrochloride R (impurity B) in 100 mL of solution A. Dilute 1 mL of the solution to 50 mL with the test solution.
Column:
— size: l = 0.15 m, Ø = 4.6 mm;
— stationary phase: end-capped octadecylsilyl silica gel for chromatography R (5 µm).
Mobile phase:
— mobile phase A: acetonitrile R, tetrahydrofuran R, solution A (5:5:90 V/V/V);
— mobile phase B: acetonitrile R, solution A, tetrahydrofuran R (5:35:60 V/V/V);
| Time (min) | Mobile phase A (per cent V/V) | Mobile phase B (per cent V/V) |
| 0 – 15 | 100 | 0 |
| 15 – 50 | 100 → 0 | 0 → 100 |
| 50 – 60 | 0 | 100 |
Flow rate 1.0 mL/min.
Detection Spectrophotometer at 325 nm.
Injection 30 µL of the test solution and reference solutions (b) and (c).
Identification of impurities Use the chromatogram obtained with reference solution (c) to identify the peak due to impurity B; use the chromatogram obtained with reference solution (b) to identify the peak due to impurity G.
Relative retention With reference to difloxacin (retention time = about 10 min): impurity B = about 1.2; impurity G = about 4.0.
System suitability Reference solution (c):
— peak-to-valley ratio: minimum 2.0, where Hp = height above the baseline of the peak due to impurity B and
Hv = height above the baseline of the lowest point of the curve separating this peak from the peak due to difloxacin.
Limits:
— impurity G: not more than the area of the corresponding peak in the chromatogram obtained with reference solution (b) (0.5 per cent);
— unspecified impurities: for each impurity, not more than 0.2 times the area of the peak due to difloxacin in the chromatogram obtained with reference solution (b) (0.20 per cent);
— total: maximum 1.0 per cent;
— disregard limit: 0.1 times the area of the peak due to difloxacin in the chromatogram obtained with reference solution (b) (0.10 per cent).
Water (2.5.12)
8.0 per cent to 12.0 per cent, determined on 0.100 g, using a mixture of 20 volumes of formamide R and 25 volumes of methanol R as solvent.
Sulfated ash (2.4.14)
Maximum 0.1 per cent, determined on 1.0 g in a platinum crucible.
ASSAY
Dissolve 0.150 g in 5 mL of anhydrous formic acid R and add 50 mL of acetic anhydride R. Titrate with 0.1 M perchloric acid, determining the end-point potentiometrically (2.2.20). Read the volume added at the 2nd point of inflexion.
1 mL of 0.1 M perchloric acid is equivalent to 21.80 mg of C21H20ClF2N3O3.
IMPURITIES
Specified impurities G.
Other detectable impurities (the following substances would, if present at a sufficient level, be detected by one or other of the tests in the monograph. They are limited by the general acceptance criterion for other/unspecified impurities and/or by the general monograph Substances for pharmaceutical use (2034). It is therefore not necessary to identify these impurities for demonstration of compliance. See also 5.10. Control of impurities in substances for pharmaceutical use) A, B, C, D, E, F.

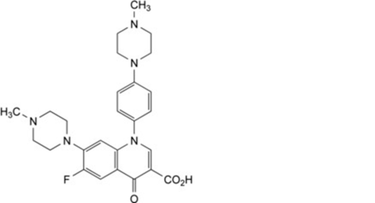
A. 6-fluoro-7-(4-methylpiperazin-1-yl)-1-[4-(4-methylpiperazin-1-yl)phenyl]-4-oxo-1,4-dihydroquinoline-3-carboxylic acid,

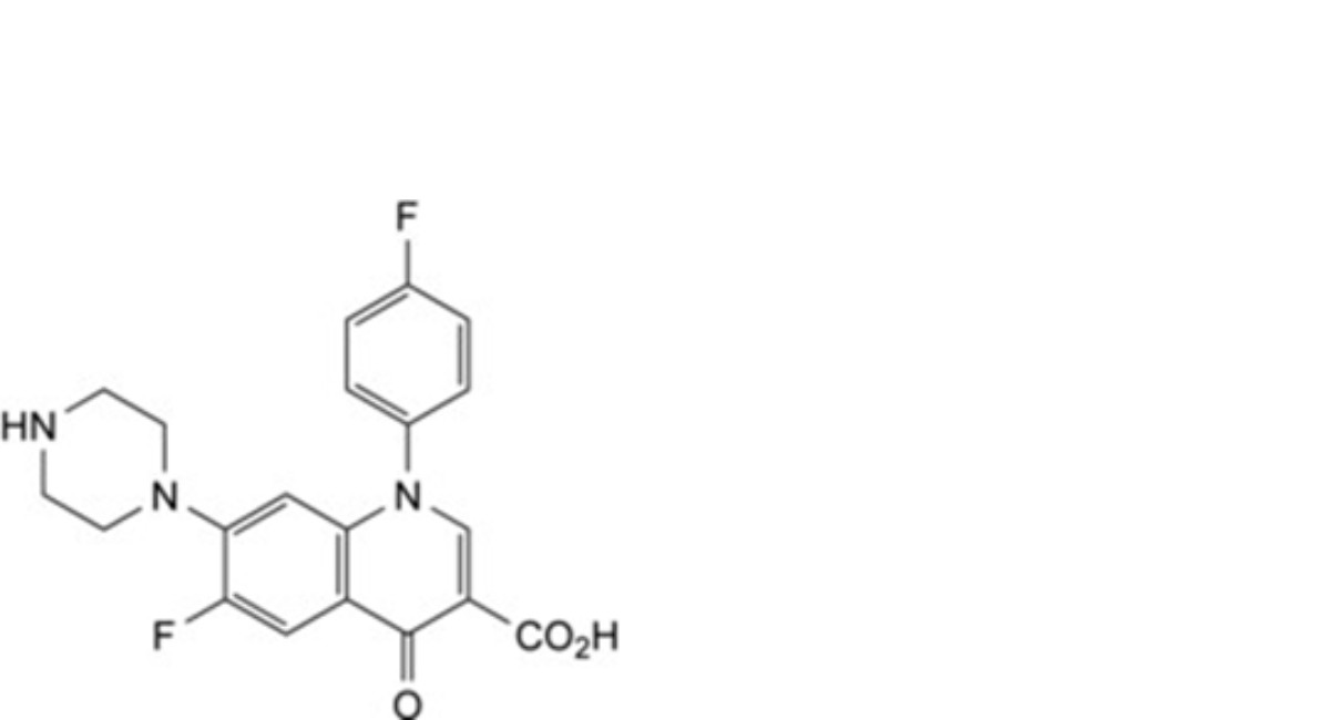
B. 6-fluoro-1-(4-fluorophenyl)-4-oxo-7-(piperazin-1-yl)-1,4-dihydroquinoline-3-carboxylic acid (sarafloxacin),

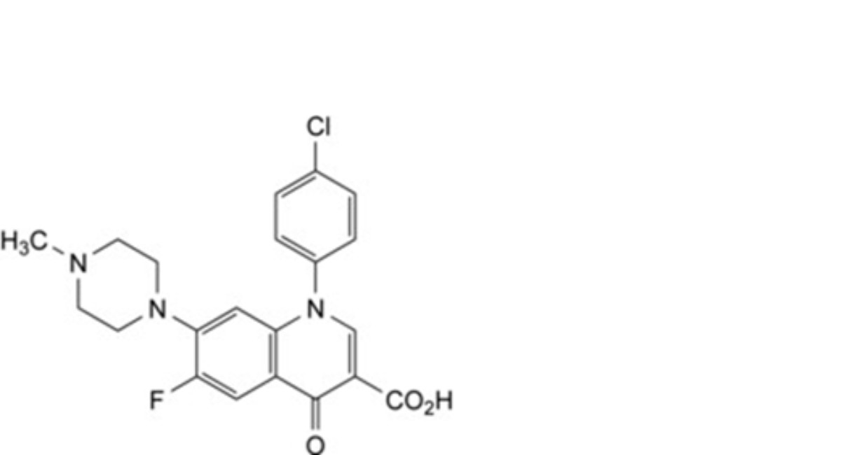
C. 1-(4-chlorophenyl)-6-fluoro-7-(4-methylpiperazin-1-yl)-4-oxo-1,4-dihydroquinoline-3-carboxylic acid,

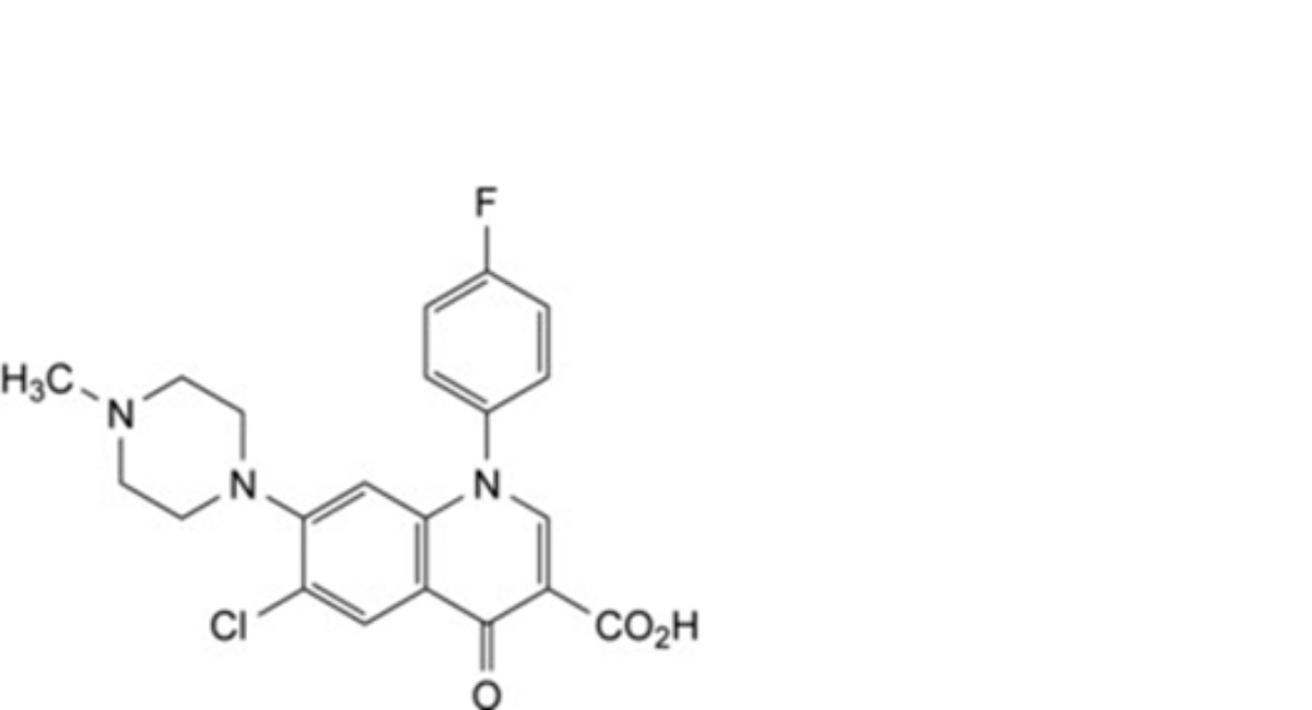
D. 6-chloro-1-(4-fluorophenyl)-7-(4-methylpiperazin-1-yl)-4-oxo-1,4-dihydroquinoline-3-carboxylic acid,

E. 7-chloro-1-(4-fluorophenyl)-6-(4-methylpiperazin-1-yl)-4-oxo-1,4-dihydroquinoline-3-carboxylic acid,

F. 6-fluoro-N,1-bis(4-fluorophenyl)-7-(4-methylpiperazin-1-yl)-4-oxo-1,4-dihydroquinoline-3-carboxamide,

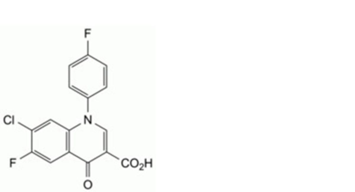
G. 7-chloro-6-fluoro-1-(4-fluorophenyl)-4-oxo-1,4-dihydroquinoline-3-carboxylic acid.






