(Ph. Eur. monograph 0713)
C22H30ClNO2 375.9 1639-60-7
Action and use
Opioid receptor agonist; analgesic.
Preparation
Co-proxamol Tablets
DEFINITION
(1S,2R)-1-Benzyl-3-(dimethylamino)-2-methyl-1-phenylpropyl propanoate hydrochloride.
Content
98.5 per cent to 101.5 per cent (dried substance).
CHARACTERS
Appearance
White or almost white, crystalline powder.
Solubility
Very soluble in water, freely soluble in ethanol (96 per cent).
mp
About 165 °C.
IDENTIFICATION
A. Specific optical rotation (see Tests).
B. Infrared absorption spectrophotometry (2.2.24).
Comparison dextropropoxyphene hydrochloride CRS.
C. Solution S (see Tests) gives reaction (a) of chlorides (2.3.1).
TESTS
Solution S
Dissolve 1.5 g in carbon dioxide-free water R and dilute to 30 mL with the same solvent.
Appearance of solution
Solution S is clear (2.2.1) and colourless (2.2.2, Method II).
Acidity or alkalinity
Dilute 10 mL of solution S to 25 mL with carbon dioxide-free water R. To 10 mL of this solution add 0.1 mL of methyl red solution R and 0.2 mL of 0.01 M sodium hydroxide. The solution is yellow. Add 0.4 mL of 0.01 M hydrochloric acid. The solution is red.
Specific optical rotation (2.2.7)
+ 52 to + 57.
Dissolve 0.100 g in water R and dilute to 10.0 mL with the same solvent.
Related substances
Liquid chromatography (2.2.29).
Solvent mixture acetonitrile R, methanol R (50:50 V/V).
Test solution: Dissolve 0.100 g of the substance to be examined in the solvent mixture and dilute to 50.0 mL with the solvent mixture.
Reference solution (a): Dilute 1.0 mL of the test solution to 50.0 mL with the solvent mixture. Dilute 1.0 mL of this solution to 20.0 mL with the solvent mixture.
Reference solution (b): Dissolve 2 mg of dextropropoxyphene for system suitability CRS (containing impurities A, B, C and D) in 1.0 mL of the solvent mixture.
Reference solution (c): Dilute 1.0 mL of toluene R to 50.0 mL with the solvent mixture. Dilute 1.0 mL of this solution to 10.0 mL with the solvent mixture.
Column:
— size: l = 0.15 m, Ø = 4.6 mm;
— stationary phase: octylsilyl silica gel for chromatography R (5 μm).
Mobile phase:
— mobile phase A: dissolve 2.5 g of ammonium phosphate R in water R, adjust to pH 5.6 with dilute phosphoric
acid R and dilute to 1000 mL with the same solvent;
— mobile phase B: acetonitrile R1.
| Time (min) |
Mobile phase A (per cent V/V) |
Mobile phase B (per cent V/V) |
| 0 – 2 | 85 | 15 |
| 2 – 7 | 85 → 75 | 15 → 25 |
| 7 – 24 | 75 → 50 | 25 → 50 |
| 24 – 32 | 50 → 40 | 50 → 60 |
Flow rate 1.5 mL/min.
Detection: Spectrophotometer at 214 nm.
Injection 10 μL.
Identification of impurities: Use the chromatogram supplied with dextropropoxyphene for system suitability CRS and the chromatogram obtained with reference solution (b) to identify the peaks due to impurities A, B, C and D.
Use the chromatogram obtained with reference solution (c) to identify the peak due to toluene.
Relative retention: With reference to dextropropoxyphene (retention time = about 18 min): impurity A = about 0.8;
impurity B = about 0.9; impurity D = about 1.1; impurity C = about 1.2.
System suitability: Reference solution (b):
— peak-to-valley ratio: minimum 5, where Hp = height above the baseline of the peak due to impurity D and
Hv = height above the baseline of the lowest point of the curve separating this peak from the peak due to
dextropropoxyphene.
Limits:
— impurities A, B: for each impurity, not more than 5 times the area of the principal peak in the chromatogram
obtained with reference solution (a) (0.5 per cent);
— impurities C, D: for each impurity, not more than twice the area of the principal peak in the chromatogram obtained with reference solution (a) (0.2 per cent);
— unspecified impurities: for each impurity, not more than the area of the principal peak in the chromatogram obtained with reference solution (a) (0.10 per cent);
— total: not more than 10 times the area of the principal peak in the chromatogram obtained with reference
solution (a) (1.0 per cent);
— disregard limit: 0.5 times the area of the principal peak in the chromatogram obtained with reference solution (a)
(0.05 per cent); disregard any peak due to toluene (relative retention = about 1.24).
Loss on drying (2.2.32)
Maximum 1.0 per cent, determined on 1.000 g by drying in an oven at 105 °C for 4 h.
Sulfated ash (2.4.14)
Maximum 0.1 per cent, determined on 1.0 g.
ASSAY
Dissolve 0.270 g in 60 mL of acetic anhydride R. Titrate with 0.1 M perchloric acid, determining the end-point
potentiometrically (2.2.20).
1 mL of 0.1 M perchloric acid is equivalent to 37.59 mg of C22H30ClNO2.
STORAGE
Protected from light.
IMPURITIES
Specified impurities A, B, C, D.
Other detectable impurities (the following substances would, if present at a sufficient level, be detected by one or other of the tests in the monograph. They are limited by the general acceptance criterion for other/unspecified impurities and/or by the general monograph Substances for pharmaceutical use (2034). It is therefore not necessary to identify these impurities for demonstration of compliance. See also 5.10. Control of impurities in substances for pharmaceutical use) F.

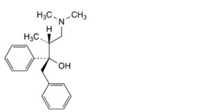
A. (2S,3R)-4-(dimethylamino)-1,2-diphenyl-3-methyl-butan-2-ol (oxyphene),

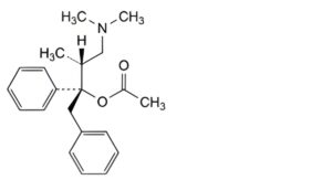
B. (1S,2R)-1-benzyl-3-(dimethylamino)-2-methyl-1-phenylpropyl acetate (acetoxyphene),

C. (1S,2R)-1-benzyl-3-(dimethylamino)-2-methyl-1-phenylpropyl butanoate (butyroxyphene),

D. (1S,2S)-1-benzyl-3-(dimethylamino)-2-methyl-1-phenylpropyl propanoate (isopropoxyphene),

F. (2RS)-3-(dimethylamino)-2-methyl-1-phenylpropan-1-one.





