(Dextromethorphan Hydrobromide Monohydrate, Ph. Eur. monograph 0020)
C18H26BrNO,H2O 370.3 6700-34-1
Action and use
Opioid receptor agonist; cough suppressant.
DEFINITION
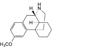
ent-3-Methoxy-17-methylmorphinan hydrobromide monohydrate.
Content
99.0 per cent to 101.0 per cent (anhydrous substance).
CHARACTERS
Appearance
Almost white, crystalline powder.
Solubility
Sparingly soluble in water, freely soluble in ethanol (96 per cent).
mp
About 125 °C, with decomposition.
IDENTIFICATION
First identification: carry out either tests A, B, E or tests B, C, E.
Second identification: A, D, E.
A. Specific optical rotation (2.2.7): + 28 to + 30 (anhydrous substance).
Dissolve 0.200 g in a 10.3 g/L solution hydrochloric acid R and dilute to 10.0 mL with the same solution.
B. Infrared absorption spectrophotometry (2.2.24).
Comparison: dextromethorphan hydrobromide CRS.
C. Enantiomeric purity (see Tests).
D. Thin-layer chromatography (2.2.27).
Test solution: Dissolve 25 mg of the substance to be examined in methanol R and dilute to 10 mL with the same solvent.
Reference solution: Dissolve 25 mg of dextromethorphan hydrobromide CRS in methanol R and dilute to 10 mL with the same solvent.
Plate: TLC silica gel G plate R.
Mobile phase: concentrated ammonia R, methylene chloride R, methanol R, ethyl acetate R, toluene R (2:10:13:20:55 V/V/V/V/V).
Application: 5 μL.
Development: Over 2/3 of the plate.
Drying: In air.
Detection: Spray with potassium iodobismuthate solution R2.
Results: The principal spot in the chromatogram obtained with the test solution is similar in position and size to the principal spot in the chromatogram obtained with the reference solution.
E. It gives reaction (a) of bromides (2.3.1).
TESTS
Solution S
Dissolve 1.0 g in ethanol (96 per cent) R and dilute to 20 mL with the same solvent.
Appearance of solution
Solution S is clear (2.2.1) and colourless (2.2.2, Method II).
Acidity or alkalinity
Dissolve 0.4 g in carbon dioxide-free water R with gentle heating, cool and dilute to 20 mL with the same solvent. Add 0.1 mL of methyl red solution R and 0.2 mL of 0.01 M sodium hydroxide. The solution is yellow. Not more than 0.4 mL of 0.01 M hydrochloric acid is required to change the colour of the indicator to red.
Enantiomeric purity
Liquid chromatography (2.2.29).
Solvent mixture water R, methanol R (10:90 V/V).
Test solution: Dissolve 0.100 g of the substance to be examined in the solvent mixture and dilute to 10.0 mL with the solvent mixture.
Reference solution (a): Dissolve 5 mg of dextromethorphan for system suitability CRS (containing impurity E) in the solvent mixture and dilute to 0.5 mL with the solvent mixture.
Reference solution (b): Dilute 1.0 mL of the test solution to 100.0 mL with the solvent mixture. Dilute 1.0 mL of the solution to 10.0 mL with the solvent mixture.
Column:
— size: l = 0.25 m, Ø = 4.6 mm;
— stationary phase: vancomycin-bonded silica gel for chiral separation R (5 μm) with a pore size of 20 nm.
Mobile phase: Mix 10 volumes of a 1.54 g/L solution of ammonium acetate R previously adjusted to pH 4.1 with phosphoric acid R and 90 volumes of methanol R1.
Flow rate: 1.0 mL/min.
Detection: Spectrophotometer at 225 nm.
Injection: 4 μL.
Run time: 1.5 times the retention time of dextromethorphan.
Identification of impurities: Use the chromatogram supplied with dextromethorphan for system suitability CRS and the chromatogram obtained with reference solution (a) to identify the peak due to impurity E.
Relative retention: With reference to dextromethorphan (retention time = about 11 min): impurity E = about 1.2.
System suitability: Reference solution (a):
— resolution: minimum 2.0 between the peaks due to dextromethorphan and impurity E.
Calculation of percentage content:
— for impurity E, use the concentration of dextromethorphan hydrobromide monohydrate in reference solution (b).
Limit:
— impurity E: maximum 0.10 per cent.
Related substances
Liquid chromatography (2.2.29).
Test solution: Dissolve 10.0 mg of the substance to be examined in the mobile phase and dilute to 10.0 mL with the mobile phase.
Reference solution (a): Dissolve 2 mg of dextromethorphan impurity A CRS in 2 mL of the test solution and dilute to 25.0 mL with the mobile phase.
Reference solution (b): Dilute 1.0 mL of the test solution to 200.0 mL with the mobile phase.
Column:
— size: l = 0.25 m, Ø = 4.6 mm;
— stationary phase: end-capped octadecylsilyl silica gel for chromatography R (5 μm).
Mobile phase: Dissolve 3.11 g of docusate sodium R in a mixture of 400 mL of water for chromatography R and 600 mL of acetonitrile R, add 0.56 g of sodium nitrate R and adjust to apparent pH 2.0 with glacial acetic acid R.
Flow rate: 1.0 mL/min.
Detection: Spectrophotometer at 280 nm.
Injection: 20 μL.
Run time: Twice the retention time of dextromethorphan.
Relative retention: With reference to dextromethorphan (retention time = about 22 min): impurity B = about 0.4; impurity C = about 0.8; impurity D = about 0.9; impurity A = about 1.1.
System suitability: Reference solution (a):
— resolution: minimum 1.5 between the peaks due to dextromethorphan and impurity A.
Limits:
— correction factor: for the calculation of content, multiply the peak area of impurity C by 0.2;
— impurities A, B, C, D: for each impurity, not more than the area of the principal peak in the chromatogram obtained with reference solution (b) (0.5 per cent), and not more than 1 such peak has an area greater than 0.5 times the area of the principal peak in the chromatogram obtained with reference solution (b) (0.25 per cent);
— unspecified impurities: for each impurity, not more than 0.2 times the area of the principal peak in the chromatogram obtained with reference solution (b) (0.10 per cent);
— total: not more than twice the area of the principal peak in the chromatogram obtained with reference solution (b) (1.0 per cent);
— disregard limit: 0.1 times the area of the principal peak in the chromatogram obtained with reference solution (b) (0.05 per cent).
N,N-Dimethylaniline
Maximum 10 ppm.
Dissolve 0.5 g with heating in 20 mL of water R. Allow to cool, add 2 mL of dilute acetic acid R and 1 mL of a 10 g/L solution of sodium nitrite R and dilute to 25 mL with water R.
The solution is not more intensely coloured than a reference solution prepared at the same time and in the same manner using 20 mL of a 0.25 mg/L solution of N,N dimethylaniline R.
Water (2.5.12)
4.0 per cent to 5.5 per cent, determined on 0.200 g.
Sulfated ash (2.4.14)
Maximum 0.1 per cent, determined on 1.0 g.
ASSAY
Dissolve 0.300 g in a mixture of 5.0 mL of 0.01 M hydrochloric acid and 20 mL of ethanol (96 per cent) R. Titrate with 0.1 M sodium hydroxide, determining the end-point potentiometrically (2.2.20). Read the volume added between the 2 points of inflexion.
1 mL of 0.1 M sodium hydroxide is equivalent to 35.23 mg of C18H26BrNO.
STORAGE
Protected from light.
IMPURITIES
Specified impurities A, B, C, D, E.

A. ent-3-methoxymorphinan,

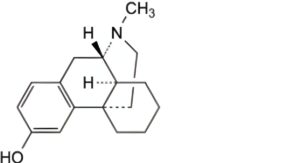
B. ent-17-methylmorphinan-3-ol,

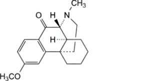
C. ent-3-methoxy-17-methylmorphinan-10-one,

D. 3-methoxy-17-methyl-9α,13α-morphinan,

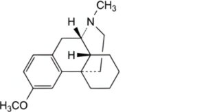
E. 3-methoxy-17-methylmorphinan (levomethorphan).






