(Ph. Eur. monograph 0761)
C9H19NO4 205.3 81-13-0
Action and use
Vitamin B5
analogue.
DEFINITION
(2R)-2,4-Dihydroxy-N-(3-hydroxypropyl)-3,3-dimethylbutanamide.
Content
98.0 per cent to 101.0 per cent (anhydrous substance).
CHARACTERS
Appearance
Colourless or slightly yellowish, viscous, hygroscopic liquid, or a white or almost white, crystalline powder.
Solubility
Very soluble in water, freely soluble in ethanol (96 per cent) and practically insoluble in heptane.
IDENTIFICATION
First identification: A, B.
Second identification: C.
A. Specific optical rotation (see Tests).
B. Infrared absorption spectrophotometry (2.2.24).
Preparation Discs prepared as follows if recording in transmission mode: dissolve the substance to be examined and the reference substance separately in 1.0 mL of anhydrous ethanol R to obtain a concentration of 5 mg/mL.
Place dropwise 0.5 mL of this solution on a disc of potassium bromide R. Dry the disc at 100-105 °C for 15 min.
Comparison dexpanthenol CRS.
C. Thin-layer chromatography (2.2.27).
Test solution: Dissolve 10 mg of the substance to be examined in a mixture of 0.25 mL of water R and 4 mL of
methanol R.
Reference solution: Dissolve 10 mg of dexpanthenol CRS in a mixture of 0.25 mL of water R and 4 mL of methanol R.
Plate TLC silica gel plate R.
Mobile phase glacial acetic acid R, water R, 2-propanol R (5:15:80 V/V/V).
Application 5 μL.
Development: Over 4/5 of the plate.
Drying In air.
Detection: Heat at 120 °C for 20 min; treat the warm plate with a 3 g/L solution of ninhydrin R in a mixture of 3 volumes of glacial acetic acid R and 100 volumes of anhydrous ethanol R; allow to dry and heat again at 120 °C for a few minutes; examine in daylight.
Results: The principal spot in the chromatogram obtained with the test solution is similar in position, colour and size to the principal spot in the chromatogram obtained with the reference solution.
TESTS
Solution S
Dissolve 2.50 g in carbon dioxide-free water R and dilute to 50.0 mL with the same solvent.
Appearance of solution
Solution S is clear (2.2.1) and not more intensely coloured than reference solution B6 (2.2.2, Method II).
pH (2.2.3)
Maximum 10.5 for solution S.
Specific optical rotation (2.2.7)
+ 29.0 to + 32.0 (anhydrous substance), determined on solution S.
Impurity A and other amino compounds
Maximum 1.0 per cent.
Dissolve 4.000 g in 60 mL of glacial acetic acid R and immediately titrate with 0.1 M perchloric acid, determining the end-point potentiometrically (2.2.20).
1 mL of 0.1 M perchloric acid is equivalent to 7.5 mg of C3H9NO.
Related substances
Liquid chromatography (2.2.29). Protect the solutions from light.
Buffer solution 1.78 g/L solution of disodium hydrogen phosphate dihydrate R adjusted to pH 7.0 with phosphoric acid R.
Test solution: Dissolve 0.600 g of the substance to be examined in the buffer solution and dilute to 100.0 mL with the buffer solution.
Reference solution (a): Dilute 1.0 mL of the test solution to 100.0 mL with the buffer solution. Dilute 1.0 mL of this solution to 10.0 mL with the buffer solution.
Reference solution (b): Dissolve 3 mg of dexpanthenol impurity B CRS and 3.0 mg of pantolactone CRS (impurity C) in the buffer solution and dilute to 100.0 mL with the buffer solution.
Reference solution (c): Dilute 1 mL of reference solution (b) to 10 mL with the buffer solution.
Reference solution (d): Dilute 1 mL of the test solution to 10 mL with reference solution (b).
Column:
— size: l = 0.15 m, Ø = 3.0 mm;
— stationary phase: octadecylsilyl silica gel for chromatography R (3.5 μm);
— temperature: 35 °C.
Mobile phase:
— mobile phase A: mix 1 volume of acetonitrile R1 and 99 volumes of a 1.56 g/L solution of sodium dihydrogen
phosphate R previously adjusted to pH 2.5 with phosphoric acid R;
— mobile phase B: acetonitrile R1;
| Time (min) |
Mobile phase A (per cent V/V) |
Mobile phase B (per cent V/V) |
| 0 – 6 | 100 | 0 |
| 6 – 21 | 100 → 50 | 0 → 50 |
| 21 – 30 | 50 | 50 |
Flow rate 1.0 mL/min.
Detection: Spectrophotometer at 200 nm.
Injection 5 μL.
Identification of impurities: Use the chromatogram obtained with reference solution (b) to identify the peaks due to impurities B and C.
Relative retention: With reference to dexpanthenol (retention time = about 6 min): impurity B = about 0.4;
impurity C = about 0.6.
System suitability:
— resolution: minimum 2.5 between the peaks due to impurities B and C and minimum 1.5 between the peaks due to impurity C and dexpanthenol in the chromatogram obtained with reference solution (d);
— signal-to-noise ratio: minimum 10 for the peak due to impurity C in the chromatogram obtained with reference
solution (c).
Calculation of percentage contents:
— for impurities B and C, use the concentration of impurity C in reference solution (b);
— for impurities other than B and C, use the concentration of dexpanthenol in reference solution (a).
Limits:
— impurity C: maximum 1.0 per cent;
— impurity B: maximum 0.5 per cent;
— unspecified impurities: for each impurity, maximum 0.10 per cent;
— total: maximum 2.0 per cent;
— reporting threshold: 0.05 per cent.
Water (2.5.12)
Maximum 1.0 per cent, determined on 1.000 g.
Sulfated ash (2.4.14)
Maximum 0.1 per cent, determined on 1.0 g.
ASSAY
To 0.250 g add 50.0 mL of 0.1 M perchloric acid. Boil under a reflux condenser for 7 h, protected from humidity.
Allow to cool and transfer quantitatively to a titration vessel using glacial acetic acid R. Add 50.0 mL of a 9.02 g/L solution of anhydrous sodium acetate R in glacial acetic acid R and titrate with 0.1 M perchloric acid, determining the end-point potentiometrically (2.2.20). Carry out a blank titration.
1 mL of 0.1 M perchloric acid is equivalent to 20.53 mg of C9H19NO4.
STORAGE
In an airtight container.
IMPURITIES
Specified impurities A, B, C.
Other detectable impurities (the following substances would, if present at a sufficient level, be detected by one or other of the tests in the monograph. They are limited by the general acceptance criterion for other/unspecified impurities and/or by the general monograph Substances for pharmaceutical use (2034). It is therefore not necessary to identify these impurities for demonstration of compliance. See also 5.10. Control of impurities in substances for pharmaceutical use) D.

A. 3-aminopropan-1-ol,

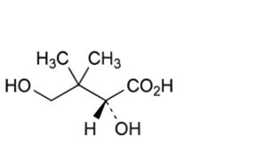
B. (2R)-2,4-dihydroxy-3,3-dimethylbutanoic acid (pantoic acid),

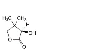
C. (3R)-3-hydroxy-4,4-dimethyloxolan-2-one (pantolactone),

D. (5Ξ)-5-(1-hydroxy-2-methylpropan-2-yl)-3-(3-hydroxypropyl)-1,3-oxazolidin-4-one.






