(Ph. Eur. monograph 0549)
C22H28FNa2O8P 516.4 2392-39-4
Action and use
Glucocorticoid.
Preparations
Dexamethasone Sodium Phosphate Eye Drops
Dexamethasone Sodium Phosphate Injection
Dexamethasone Sodium Phosphate Oral Solution
DEFINITION
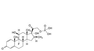
Disodium 9-fluoro-11β,17-dihydroxy-16α-methyl-3,20-dioxopregna-1,4-dien-21-yl phosphate.
Content
97.0 per cent to 102.0 per cent (anhydrous substance).
CHARACTERS
Appearance
White or almost white, very hygroscopic powder.
Solubility
Freely soluble in water, slightly soluble in ethanol (96 per cent), practically insoluble in methylene chloride.
It shows polymorphism (5.9).
IDENTIFICATION
First identification: A, D.
Second identification: B, C.
A. Infrared absorption spectrophotometry (2.2.24).
Comparison dexamethasone sodium phosphate CRS.
If the spectra obtained in the solid state show differences, dissolve the substance to be examined and the reference substance separately in the minimum volume of ethanol (96 per cent) R, evaporate to dryness on a water-bath and record new spectra using the residues.
B. Thin-layer chromatography (2.2.27).
Test solution: Dissolve 10 mg of the substance to be examined in methanol R and dilute to 10.0 mL with the same solvent.
Reference solution: Dissolve 10 mg of dexamethasone sodium phosphate CRS in methanol R and dilute to 10.0 mL with the same solvent.
Plate TLC silica gel F254 plate R.
Mobile phase glacial acetic acid R, water R, butanol R (20:20:60 V/V/V).
Application 5 μL.
Development: Over 3/4 of the plate.
Drying In air.
Detection: Spray with a solution prepared as follows: dissolve 0.25 g of 2,4-dihydroxybenzaldehyde R in glacial acetic acid R, dilute to 50 mL with the same solvent and add a mixture of 12.5 mL of sulfuric acid R and 37.5 mL of glacial acetic acid R; heat the plate at 90 °C for 35 min or until the spots appear and allow to cool; examine in daylight and in ultraviolet light at 365 nm.
Results: The principal spot in the chromatogram obtained with the test solution is similar in position, colour and size to the principal spot in the chromatogram obtained with the reference solution.
C. Add about 2 mg to 2 mL of sulfuric acid R and shake to dissolve. Within 5 min, a faint yellowish-brown colour
develops. Add the solution to 10 mL of water R and mix. The colour disappears and a clear solution remains.
D. Examine the chromatograms obtained in the assay.
Results: The principal peak in the chromatogram obtained with the test solution is similar in retention time and size to the principal peak in the chromatogram obtained with reference solution (b).
TESTS
Solution S
Dissolve 1.0 g in carbon dioxide-free water R and dilute to 20 mL with the same solvent.
Appearance of solution
Solution S is clear (2.2.1) and not more intensely coloured than reference solution B7 (2.2.2, Method II).
pH (2.2.3)
7.5 to 9.5.
Dilute 1 mL of solution S to 5 mL with carbon dioxide-free water R.
Specific optical rotation (2.2.7)
+ 75 to + 83 (anhydrous substance).
Dissolve 0.250 g in water R and dilute to 25.0 mL with the same solvent.
Related substances
Liquid chromatography (2.2.29).
Solution A Dissolve 7.0 g of ammonium acetate R in 1000 mL of water R.
Test solution Dissolve 10 mg of the substance to be examined in mobile phase A and dilute to 10.0 mL with mobile
phase A.
Reference solution (a) Dissolve 2 mg of betamethasone sodium phosphate CRS (impurity B) and 2 mg of
dexamethasone sodium phosphate CRS in mobile phase A, then dilute to 100 mL with mobile phase A.
Reference solution (b) Dissolve 2 mg of dexamethasone sodium phosphate for peak identification CRS (containing
impurities A, C, D, E, F and G) in mobile phase A and dilute to 2 mL with mobile phase A.
Reference solution (c) Dilute 1.0 mL of the test solution to 100.0 mL with mobile phase A. Dilute 1.0 mL of this solution to 10.0 mL with mobile phase A.
Column:
— size: l = 0.125 m, Ø = 4.6 mm;
— stationary phase: end-capped octylsilyl silica gel for chromatography R (5 μm);
— temperature: 30 °C.
Mobile phase:
— mobile phase A: mix 300 mL of solution A and 350 mL of water for chromatography R, adjust to pH 3.8 with acetic acid R, then add 350 mL of methanol R;
— mobile phase B: adjust 300 mL of solution A to pH 4.0 with acetic acid R, then add 700 mL of methanol R;
| Time (min) |
Mobile phase A (per cent V/V) |
Mobile phase B (per cent V/V) |
| 0 – 3.5 | 90 | 10 |
| 3.5 – 23.5 | 90 → 60 | 10 → 40 |
| 23.5 – 34.5 | 60 → 5 | 40 → 95 |
| 34.5 – 50 | 5 | 95 |
Flow rate 1.0 mL/min.
Detection Spectrophotometer at 254 nm.
Injection 20 μL.
Identification of impurities Use the chromatogram supplied with dexamethasone sodium phosphate for peak
identification CRS and the chromatogram obtained with reference solution (b) to identify the peaks due to impurities A, C, D, E, F and G; use the chromatogram obtained with reference solution (a) to identify the peak due to impurity B.
Relative retention With reference to dexamethasone sodium phosphate (retention time = about 22 min):
impurity C = about 0.5; impurity D = about 0.6; impurity E = about 0.8; impurity F = about 0.92; impurity B = about 0.95; impurity A = about 1.37; impurity G = about 1.41.
System suitability Reference solution (a):
— resolution: minimum 2.0 between the peaks due to impurity B and dexamethasone sodium phosphate.
Limits:
— correction factor: for the calculation of content, multiply the peak area of impurity A by 0.75;
— impurity A: not more than 5 times the area of the principal peak in the chromatogram obtained with reference
solution (c) (0.5 per cent);
— impurity G: not more than 3 times the area of the principal peak in the chromatogram obtained with reference
solution (c) (0.3 per cent);
— impurities B, C, D, E, F: for each impurity, not more than twice the area of the principal peak in the chromatogram obtained with reference solution (c) (0.2 per cent);
— unspecified impurities: for each impurity, not more than the area of the principal peak in the chromatogram obtained with reference solution (c) (0.10 per cent);
— total: not more than 10 times the area of the principal peak in the chromatogram obtained with reference
solution (c) (1.0 per cent);
— disregard limit: 0.5 times the area of the principal peak in the chromatogram obtained with reference solution (c)
(0.05 per cent).
Inorganic phosphates
Maximum 1 per cent.
Dissolve 50 mg in water R and dilute to 100 mL with the same solvent. To 10 mL of the solution add 5 mL of
molybdovanadic reagent R, mix and allow to stand for 5 min. Any yellow colour in the solution is not more intense than that in a standard prepared at the same time in the same manner using 10 mL of phosphate standard solution (5 ppm PO4) R.
Ethanol (2.4.24, System A)
Maximum 1.5 per cent.
Water (2.5.12)
Maximum 10.0 per cent, determined on 0.200 g.
ASSAY
Liquid chromatography (2.2.29).
Test solution: Dissolve 30.0 mg of the substance to be examined in the mobile phase and dilute to 50.0 mL with the
mobile phase. Dilute 5.0 mL of the solution to 50.0 mL with the mobile phase.
Reference solution (a): Dissolve 2 mg of dexamethasone CRS (impurity A) and 2 mg of dexamethasone sodium
phosphate CRS in 2 mL of tetrahydrofuran R, then dilute to 100 mL with the mobile phase. Dilute 5 mL of this solution to 50 mL with the mobile phase.
Reference solution (b): Dissolve 30.0 mg of dexamethasone sodium phosphate CRS in the mobile phase and dilute to 50.0 mL with the mobile phase. Dilute 5.0 mL of the solution to 50.0 mL with the mobile phase.
Column:
— size: l = 0.15 m, Ø = 4.6 mm;
— stationary phase: end-capped octadecylsilyl silica gel for chromatography R (7 μm).
Mobile phase: Mix 520 mL of water for chromatography R with 2 mL of phosphoric acid R. Adjust the temperature to 20 °C, then adjust to pH 2.6 with sodium hydroxide R. Mix this solution with 36 mL of tetrahydrofuran R and 364 mL of methanol R.
Flow rate 1.5 mL/min.
Detection Spectrophotometer at 254 nm.
Injection 20 μL.
Run time 3 times the retention time of dexamethasone sodium phosphate.
Identification of impurities Use the chromatogram obtained with reference solution (a) to identify the peak due to
impurity A.
Relative retention With reference to dexamethasone sodium phosphate (retention time = about 8 min):
impurity A = about 2.0.
System suitability Reference solution (a):
— resolution: minimum 6.0 between the peaks due to dexamethasone sodium phosphate and impurity A.
Calculate the percentage content of C22H28FNa2O8P using the chromatogram obtained with reference solution (b) and taking into account the assigned content of dexamethasone sodium phosphate CRS.
STORAGE
In an airtight container, protected from light.
IMPURITIES
Specified impurities A, B, C, D, E, F, G.
Other detectable impurities (the following substances would, if present at a sufficient level, be detected by one or other of the tests in the monograph. They are limited by the general acceptance criterion for other/unspecified impurities and/or by the general monograph Substances for pharmaceutical use (2034). It is therefore not necessary to identify these impurities for demonstration of compliance. See also 5.10. Control of impurities in substances for pharmaceutical use) H.

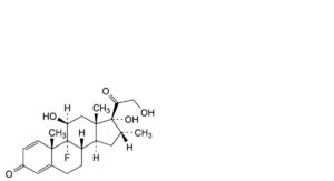
A. 9-fluoro-11β,17,21-trihydroxy-16α-methylpregna-1,4-diene-3,20-dione (dexamethasone),

B. 9-fluoro-11β,17-dihydroxy-16β-methyl-3,20-dioxopregna-1,4-dien-21-yl dihydrogen phosphate (betamethasone
phosphate),

C, D, E, F. for each impurity: one or more diastereoisomer(s) of (9-fluoro-11β,17aξ-dihydroxy-16ξ-methyl-3,17-dioxo-17aξ-homoandrosta-1,4-dien-17aξ-yl)methyl dihydrogen phosphate (undefined stereochemistry at C-16 and C-17a), or (9-fluoro-11β,17ξ-dihydroxy-16α-methyl-3,17a-dioxo-17a-homoandrosta-1,4-dien-17ξ-yl)methyl dihydrogen phosphate (undefined stereochemistry at C-17),

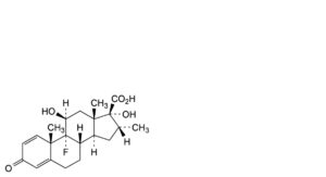
G. 9-fluoro-11β,17α-dihydroxy-16α-methyl-3-oxoandrosta-1,4-diene-17β-carboxylic acid.

H. 9-fluoro-11β,17-dihydroxy-16α-methyl-3,20-dioxopregn-4-en-21-yl dihydrogen phosphate.






