(Ph. Eur. monograph 1717)
C22H30O 310.5 54024-22-5
Action and use
Progestogen.
Preparation
Desogestrel Tablets
DEFINITION
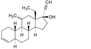
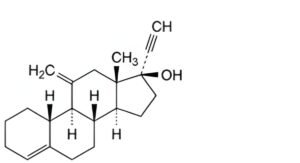
13-Ethyl-11-methylidene-18,19-dinor-17α-pregn-4-en-20-yn-17-ol.
Content
98.0 per cent to 102.0 per cent (dried substance).
CHARACTERS
Appearance
White or almost white, crystalline powder.
Solubility
Practically insoluble in water, very soluble in methanol, freely soluble in anhydrous ethanol and in methylene chloride.
IDENTIFICATION
A. Infrared absorption spectrophotometry (2.2.24).
Comparison: desogestrel CRS.
B. Specific optical rotation (see Tests).
TESTS
Specific optical rotation (2.2.7)
+ 53 to + 57 (dried substance).
Dissolve 0.250 g in anhydrous ethanol R and dilute to 25.0 mL with the same solvent.
Related substances
Liquid chromatography (2.2.29).
Test solution: Dissolve 20.0 mg of the substance to be examined in 25 mL of acetonitrile R1 and dilute to 50.0 mL with water R.
Reference solution (a): Dissolve 4 mg of desogestrel for system suitability CRS (containing impurities A, B, C and D) in 5 mL of acetonitrile R1 and dilute to 10.0 mL with water R.
Reference solution (b): Dilute 1.0 mL of the test solution to 100.0 mL with a mixture of equal volumes of acetonitrile R1 and water R.
Reference solution (c): Dilute 1.0 mL of reference solution (b) to 10.0 mL with a mixture of equal volumes of acetonitrile R1 and water R.
Reference solution (d): Dissolve 20.0 mg of desogestrel CRS in 25 mL of acetonitrile R1 and dilute to 50.0 mL with water R.
Column:
— size: l = 0.25 m, Ø = 4.6 mm,
— stationary phase: sterically protected octadecylsilyl silica gel for chromatography R (5 μm),
— temperature: 50 °C.
Mobile phase: water R, acetonitrile R1 (27:73 V/V).
Flow rate: 1.0 mL/min.
Detection: Spectrophotometer at 205 nm.
Injection: 15 μL of the test solution and reference solutions (a), (b) and (c).
Run time: 2.5 times the retention time of desogestrel.
Identification of impurities: Use the chromatogram supplied with desogestrel for system suitability CRS and the chromatogram obtained with reference solution (a) to identify the peaks due to impurities A, B, C and D.
Relative retention: With reference to desogestrel (retention time = about 22 min): impurity E = about 0.2;
impurity D = about 0.25; impurity B = about 0.7; impurity A = about 0.95; impurity C = about 1.05.
System suitability: Reference solution (a):
— peak-to-valley ratio: minimum 2.0, where Hp = height above the baseline of the peak due to impurity C and Hv = height above the baseline of the lowest point of the curve separating this peak from the peak due to desogestrel.
Limits:
— correction factors: for the calculation of content, multiply the peak area of the following impurities by the corresponding correction factor: impurity A = 1.8, impurity D = 1.5;
— impurities A, B, C: for each impurity, not more than twice the area of the principal peak in the chromatogram obtained with reference solution (c) (0.2 per cent);
— impurity D: not more than the area of the principal peak in the chromatogram obtained with reference solution (c) (0.1 per cent);
— unspecified impurities: for each impurity, not more than the area of the principal peak in the chromatogram obtained with reference solution (c) (0.10 per cent);
— total: not more than 0.5 times the area of the principal peak in the chromatogram obtained with reference solution (b) (0.5 per cent);
— disregard limit: 0.5 times the area of the principal peak in the chromatogram obtained with reference solution (c) (0.05 per cent).
Loss on drying (2.2.32)
Maximum 0.5 per cent, determined on 1.000 g by drying in vacuo at a pressure not exceeding 2 kPa.
Sulfated ash (2.4.14)
Maximum 0.1 per cent, determined on 1.0 g.
ASSAY
Liquid chromatography (2.2.29) as described in the test for related substances with the following modification.
Injection: Test solution and reference solution (d).
Calculate the percentage content of C22H30O from the areas of the peaks and the declared content of desogestrel CRS.
IMPURITIES
Specified impurities A, B, C, D.
Other detectable impurities (the following substances would, if present at a sufficient level, be detected by one or other of the tests in the monograph. They are limited by the general acceptance criterion for other/unspecified impurities and/or by the general monograph Substances for pharmaceutical use (2034). It is therefore not necessary to identify these impurities for demonstration of compliance. See also 5.10. Control of impurities in substances for pharmaceutical use) E.

A. 13-ethyl-11-methylidene-18,19-dinor-5α,17α-pregn-3-en-20-yn-17-ol (desogestrel Δ -isomer),

B. 11-methylidene-19-nor-17α-pregn-4-en-20-yn-17-ol,

C. 13-ethyl-11-methylidenegon-4-en-17-one,

D. 13-ethyl-17-hydroxy-11-methylidene-18,19-dinor-17α-pregn-4-en-20-yn-3-one,

E. 13-ethyl-11-methylidene-18,19-dinor-17α-pregn-4-en-20-yne-3β,17-diol.






