(Ph. Eur. monograph 0481)
C18H23ClN2 302.8 58-28-6
Action and use
Monoamine reuptake inhibitor; tricyclic antidepressant.
Preparation
Desipramine Tablets
DEFINITION
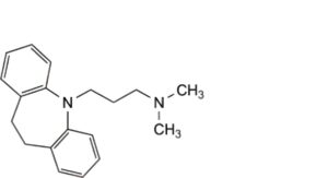
3-(10,11-Dihydro-5H-dibenzo[b,f]azepin-5-yl)-N-methylpropan-1-amine hydrochloride.
Content
99.0 per cent to 101.0 per cent (dried substance).
CHARACTERS
Appearance
White or almost white, crystalline powder.
Solubility
Sparingly soluble in water and in anhydrous ethanol, practically insoluble in heptane.
mp
About 214 °C.
IDENTIFICATION
A. Infrared absorption spectrophotometry (2.2.24).
Comparison: desipramine hydrochloride CRS.
B. It gives reaction (a) of chlorides (2.3.1).
TESTS
Solution S
Dissolve 1.25 g in carbon dioxide-free water R, warming to not more than 30 °C if necessary, and dilute to 25 mL with the same solvent.
Appearance of solution
Solution S, examined immediately after preparation, is not more intensely coloured than reference solution BY6 (2.2.2, Method II).
Acidity or alkalinity
To 10 mL of solution S add 0.1 mL of methyl red solution R and 0.3 mL of 0.01 M sodium hydroxide. The solution is yellow.
Not more than 0.5 mL of 0.01 M hydrochloric acid is required to change the colour of the indicator to red.
Related substances
Liquid chromatography (2.2.29).
Buffer solution: Dissolve 5.2 g of dipotassium hydrogen phosphate R in 1000 mL of water for chromatography R, add
1 mL of triethylamine R and adjust to pH 6.4 with phosphoric acid R.
Test solution: Dissolve 50.0 mg of the substance to be examined in mobile phase A and dilute to 100.0 mL with mobile phase A.
Reference solution (a): Dilute 1.0 mL of the test solution to 100.0 mL with mobile phase A. Dilute 1.0 mL of this solution to 10.0 mL with mobile phase A.
Reference solution (b): Dissolve 5 mg of imipramine hydrochloride R (impurity A) in mobile phase A and dilute to 100 mL with mobile phase A. Mix 1 mL of the solution and 9 mL of the test solution, and dilute to 100 ml with mobile phase A.
Column:
— size: l = 0.25 m, Ø = 4.6 mm;
— stationary phase: base-deactivated end-capped octadecylsilyl silica gel for chromatography R (5 μm);
— temperature: 60 °C.
Mobile phase:
— mobile phase A: methanol R, acetonitrile R, buffer solution (11:14:75 V/V/V);
— mobile phase B: methanol R, acetonitrile R, buffer solution (28:34:38 V/V/V);
| Time
(min) |
Mobile phase A
(per cent V/V) |
Mobile phase B
(per cent V/V) |
| 0 – 2 | 85 | 15 |
| 2 – 37 | 85 → 0 | 15 → 100 |
| 37 – 52 | 0 | 100 |
Flow rate: 1.4 mL/min.
Detection: Spectrophotometer at 254 nm.
Injection: 40 μL.
Identification of impurities: Use the chromatogram obtained with reference solution (b) to identify the peak due to impurity A.
Relative retention: With reference to desipramine (retention time = about 19 min): impurity A = about 1.7.
System suitability: Reference solution (b):
— resolution: minimum 25 between the peaks due to desipramine and impurity A.
Calculation of percentage contents:
— for each impurity, use the concentration of desipramine hydrochloride in reference solution (a).
Limits:
— unspecified impurities: for each impurity, maximum 0.10 per cent;
— total: maximum 0.5 per cent;
— reporting threshold: 0.05 per cent.
Loss on drying (2.2.32)
Maximum 0.5 per cent, determined on 1.000 g by drying in an oven at 105 °C.
Sulfated ash (2.4.14)
Maximum 0.1 per cent, determined on 1.0 g.
ASSAY
Dissolve 0.250 g in a mixture of 5 mL of 0.01 M hydrochloric acid and 50 mL of ethanol (96 per cent) R. Carry out a potentiometric titration (2.2.20), using 0.1 M sodium hydroxide. Read the volume added between the 2 points of inflexion.
1 mL of 0.1 M sodium hydroxide is equivalent to 30.28 mg of C18H23ClN2.
STORAGE
Protected from light.
IMPURITIES
Other detectable impurities (the following substances would, if present at a sufficient level, be detected by one or other of the tests in the monograph. They are limited by the general acceptance criterion for other/unspecified impurities and/or by the general monograph Substances for pharmaceutical use (2034). It is therefore not necessary to identify these impurities for demonstration of compliance. See also 5.10. Control of impurities in substances for pharmaceutical use) A.

A. 3-(10,11-dihydro-5H-dibenzo[b,f]azepin-5-yl)-N,N-dimethylpropan-1-amine (imipramine).






