Edition: BP 2025 (Ph. Eur. 11.6 update)
DEFINITION
trans-4-[(3,5-Dibromo-2-hydroxybenzyl)amino]cyclohexanol hydrochloride monohydrate.
Content
98.0 per cent to 101.0 per cent (anhydrous substance).
CHARACTERS
Appearance
White or almost white, crystalline powder.
Solubility
Slightly soluble in water, freely soluble in methanol, slightly soluble in anhydrous ethanol.
IDENTIFICATION
A. Infrared absorption spectrophotometry (2.2.24).
Comparison dembrexine hydrochloride monohydrate CRS.
B. It gives reaction (a) of chlorides (2.3.1).
TESTS
Related substances
Liquid chromatography (2.2.29). Prepare the solutions immediately before use.
Test solution Dissolve 25.0 mg of the substance to be examined in methanol R and dilute to 10.0 mL with the same solvent.
Reference solution (a) Dilute 1.0 mL of the test solution to 50.0 mL with methanol R. Dilute 1.0 mL of this solution to
10.0 mL with methanol R.
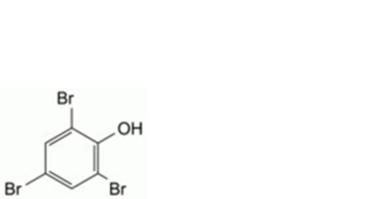
Reference solution (b) Dissolve 2.5 mg of tribromophenol R (impurity E) in methanol R and dilute to 50.0 mL with the same solvent. To 1.0 mL of this solution add 1.0 mL of the test solution and dilute to 10.0 mL with methanol R.
Blank solution Methanol R. Column:
— size: l = 0.15 m, Ø = 4.0 mm;
— stationary phase: end-capped octadecylsilyl silica gel for chromatography R (5 µm);
— temperature: 40 °C.
Mobile phase:
— mobile phase A: dissolve 1.0 g of potassium dihydrogen phosphate R in 900 mL of water R, adjust to pH 7.4 with a
0.5 M potassium hydroxide solution prepared from potassium hydroxide R and dilute to 1000 mL with water R; mix 80 volumes of this solution with 20 volumes of methanol R;
— mobile phase B: methanol R, acetonitrile R (20:80 V/V);
| Time (min) | Mobile phase A (per cent V/V) | Mobile phase B (per cent V/V) |
| 0 – 7 | 75 | 25 |
| 7 – 15 | 75 → 50 | 25 → 50 |
| 15 – 20 | 50 | 50 |
| 20 – 25 | 50 → 75 | 50 → 25 |
| 25 – 30 | 75 | 75 |
Flow rate 1.0 mL/min.
Detection Spectrophotometer at 250 nm.
Injection 10 µL.
Relative retention With reference to dembrexine (retention time = about 6 min): impurity A = about 2.3; impurity B = about 1.3.
System suitability Reference solution (b):
— resolution: minimum 2 between the peaks due to dembrexine and impurity E.
Limits:
— impurities A, B: for each impurity, not more than the area of the principal peak in the chromatogram obtained with reference solution (a) (0.2 per cent);
— unspecified impurities: for each impurity, not more than the area of the principal peak in the chromatogram obtained with reference solution (a) (0.2 per cent);
— total: not more than 2.5 times the area of the principal peak in the chromatogram obtained with reference solution (a) (0.5 per cent);
— disregard limit: 0.5 times the area of the principal peak in the chromatogram obtained with reference solution (a) (0.1 per cent).
Water (2.5.12)
3.5 per cent to 5.0 per cent, determined on 0.500 g.
Sulfated ash (2.4.14)
Maximum 0.1 per cent, determined on 1.0 g.
ASSAY
Dissolve 0.350 g in 40 mL of methanol R. Add 40 mL of acetone R and 1 mL of 0.1 M hydrochloric acid. Carry out a potentiometric titration (2.2.20) using 0.1 M sodium hydroxide. Read the volume added between the 2 points of inflexion.
1 mL of 0.1 M sodium hydroxide is equivalent to 41.56 mg of C13H18Br2ClNO2.
IMPURITIES
Specified impurities A, B.
Other detectable impurities (the following substances would, if present at a sufficient level, be detected by one or other of the tests in the monograph. They are limited by the general acceptance criterion for other/unspecified impurities and/or by the general monograph Substances for pharmaceutical use (2034). It is therefore not necessary to identify these impurities for demonstration of compliance. See also 5.10. Control of impurities in substances for pharmaceutical use) C, D, E.

A. trans-4-[(3,5-dibromo-2-hydroxybenzylidene)amino]cyclohexanol,

B. cis-4-[(3,5-dibromo-2-hydroxybenzyl)amino]cyclohexanol,

C. 3,5-dibromo-2-hydroxybenzaldehyde,

D. 2-hydroxybenzaldehyde (salicylaldehyde),

E. 2,4,6-tribromophenol.






