(Ph. Eur. monograph 0077)
C12H12N2O2S 248.3 80-08-0
Action and use
Folic acid synthesis inhibitor; treatment of leprosy.
Preparation
Dapsone Tablets
DEFINITION
4,4′-Sulfonyldianiline.
Content
99.0 per cent to 101.0 per cent (dried substance).
CHARACTERS
Appearance
White or slightly yellowish-white, crystalline powder.
Solubility
Practically insoluble in water, freely soluble in acetone, sparingly soluble in ethanol (96 per cent). It dissolves in dilute mineral acids.
It shows polymorphism (5.9).
IDENTIFICATION
Infrared absorption spectrophotometry (2.2.24).
Comparison: dapsone CRS.
If the spectra obtained in the solid state show differences, dissolve the substance to be examined and the reference substance separately in acetone R, evaporate to dryness and record new spectra using the residues.
TESTS
Related substances
Liquid chromatography (2.2.29).
Solvent mixture: acetonitrile R, water R (50:50 V/V).
Test solution: Dissolve 40.0 mg of the substance to be examined in 30 mL of the solvent mixture and dilute to 100.0 mL with the solvent mixture.
Reference solution (a): Dilute 1.0 mL of the test solution to 100.0 mL with the solvent mixture. Dilute 1.0 mL of this solution to 10.0 mL with the solvent mixture.
Reference solution (b): Dissolve 2 mg of the substance to be examined, 2 mg of 4-(4-aminobenzene-1-sulfonyl)phenol R, 2 mg of 4-(benzenesulfonyl)aniline R and 2 mg of 4,4′-[oxybis[(4,1-phenylene)sulfonyl]]dianiline R (impurity C) in the solvent mixture and dilute to 50 mL with the solvent mixture. Dilute 1 mL of the solution to 10 mL with the solvent mixture.
Column:
— size: l = 0.25 m, Ø = 4.6 mm;
— stationary phase: end-capped octadecylsilyl silica gel for chromatography R (5 μm).
Mobile phase:
— mobile phase A: water for chromatography R;
— mobile phase B: acetonitrile R;
| Time (min) |
Mobile phase A (per cent V/V) |
Mobile phase B (per cent V/V) |
| 0 – 10 | 75 | 25 |
| 10 – 20 | 75 → 50 | 25 → 50 |
| 20 – 35 | 50 | 50 |
Flow rate: 1.0 mL/min.
Detection: Spectrophotometer at 254 nm.
Injection: 20 μL.
Identification of impurities: Use the chromatogram obtained with reference solution (b) to identify the peaks due to impurities A, B and C.
Relative retention: With reference to dapsone (retention time = about 7 min): impurity A = about 1.1; impurity B = about 2.5; impurity C = about 3.5.
System suitability: Reference solution (b):
— resolution: minimum 2.0 between the peaks due to dapsone and impurity A.
Calculation of percentage contents:
— correction factors: multiply the peak areas of the following impurities by the corresponding correction factor: impurity A = 1.9; impurity B = 2.7; impurity C = 1.7;
— for each impurity, use the concentration of dapsone in reference solution (a).
Limits:
— impurity B: maximum 0.4 per cent;
— impurities A, C: for each impurity, maximum 0.3 per cent;
— unspecified impurities: for each impurity, maximum 0.10 per cent;
— total: maximum 1.0 per cent;
— reporting threshold: 0.05 per cent.
Loss on drying (2.2.32)
Maximum 1.5 per cent, determined on 1.000 g by drying in an oven at 105 °C.
Sulfated ash (2.4.14)
Maximum 0.1 per cent, determined on 1.0 g.
ASSAY
Carry out the determination of primary aromatic amino-nitrogen (2.5.8), using 0.100 g.
1 mL of 0.1 M sodium nitrite is equivalent to 12.42 mg of C12H12N2O2S.
STORAGE
Protected from light.
IMPURITIES
Specified impurities A, B, C.
Other detectable impurities (the following substances would, if present at a sufficient level, be detected by one or other of the tests in the monograph. They are limited by the general acceptance criterion for other/unspecified impurities and/or by the general monograph Substances for pharmaceutical use (2034).
It is therefore not necessary to identify these impurities for demonstration of compliance. See also 5.10. Control of impurities in substances for pharmaceutical use) D, E, F.

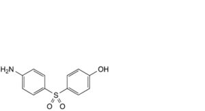
A. 4-(4-aminobenzene-1-sulfonyl)phenol,

B. 4-(benzenesulfonyl)aniline,

C. 1 ,7 -diamino-4-oxa-2λ ,6λ -dithia-1,7(1),3,5(1,4)-tetrabenzenaheptaphane-2,2,6,6-tetrone,

D. 2-(4-aminobenzene-1-sulfonyl)aniline,

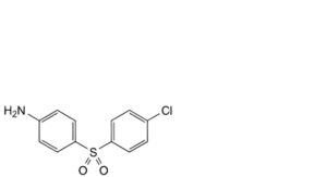
E. 4-(4-chlorobenzene-1-sulfonyl)aniline,

F. 1-(benzenesulfonyl)-4-chlorobenzene.






