(Ph. Eur. monograph 1691)
C6H10N6O 182.2 4342-03-4
Action and use
Cytotoxic alkylating agent.
DEFINITION
5-[(1E)-3,3-Dimethyltriaz-1-en-1-yl]-1H-imidazole-4-carboxamide.
Content
98.5 per cent to 101.0 per cent (anhydrous substance).
CHARACTERS
Appearance
White or slightly yellowish, crystalline powder.
Solubility
Slightly soluble in water and in anhydrous ethanol, practically insoluble in methylene chloride.
IDENTIFICATION
First identification: B.
Second identification: A, C.
A. Ultraviolet and visible absorption spectrophotometry (2.2.25).
Test solution: Dissolve 15.0 mg in a 10.3 g/L solution of hydrochloric acid R and dilute to 100.0 mL with the same solution.
Dilute 5.0 mL of the solution to 100.0 mL with a 10.3 g/L solution of hydrochloric acid R.
Spectral range 200-400 nm.
Absorption maximum 323 nm.
Shoulder 275 nm.
Specific absorbance at the absorption maximum 1024 to 1131.
B. Infrared absorption spectrophotometry (2.2.24).
Comparison dacarbazine CRS.
C. Thin-layer chromatography (2.2.27).
Test solution: Dissolve 2.0 mg of the substance to be examined in methanol R and dilute to 5.0 mL with the same solvent.
Reference solution: Dissolve 2.0 mg of dacarbazine CRS in methanol R and dilute to 5.0 mL with the same solvent.
Plate TLC silica gel F254 plate R.
Mobile phase glacial acetic acid R, water R, butanol R (10:20:50 V/V/V).
Application 10 μL.
Development Over 2/3 of the plate.
Drying In air.
Detection Examine in ultraviolet light at 254 nm.
Results The principal spot in the chromatogram obtained with the test solution is similar in position and size to the principal spot in the chromatogram obtained with the reference solution.
TESTS
Appearance of solution
The solution is clear (2.2.1) and not more intensely coloured than reference solution BY6 (2.2.2, Method II).
Dissolve 0.25 g in a 210 g/L solution of citric acid monohydrate R and dilute to 25.0 mL with the same solution.
Related substances
A. Liquid chromatography (2.2.29). Use freshly prepared solutions and protect them from light. Use freshly prepared mobile phase as it contains sodium dioctyl sulfosuccinate.
Flush the column with a mixture of equal volumes of methanol R and water for chromatography R for at least 2 h at the end of each day or after all tests have been completed.
Test solution: Dissolve 50.0 mg of the substance to be examined and 75 mg of citric acid monohydrate R in distilled
water R and dilute to 5.0 mL with the same solvent.
Reference solution (a): Dilute 1.0 mL of the test solution to 100.0 mL with distilled water R.
Reference solution (b): Dilute 1.0 mL of reference solution (a) to 10.0 mL with distilled water R.
Reference solution (c): Dissolve 5.0 mg of dacarbazine impurity A CRS in distilled water R and dilute to 50.0 mL with the same solvent. Dilute 5.0 mL of this solution to 25.0 mL with distilled water R.
Reference solution (d): Dissolve 5.0 mg of dacarbazine impurity B CRS in distilled water R and dilute to 50.0 mL with the same solvent.
Reference solution (e): Dilute 1.0 mL of reference solution (d) to 10.0 mL with distilled water R.
Reference solution (f): Mix 1 mL of reference solution (a) and 1 mL of reference solution (d) and dilute to 10 mL with distilled water R.
Column:
— size: l = 0.25 m, Ø = 4.6 mm;
— stationary phase: end-capped octadecylsilyl silica gel for chromatography R (5 μm).
Mobile phase 15.63 g/L solution of glacial acetic acid R containing 2.33 g/L of sodium dioctyl sulfosuccinate R.
Flow rate 1.2 mL/min.
Detection Spectrophotometer at 254 nm.
Injection 25 μL of the test solution and reference solution (c).
Run time 3 times the retention time of impurity A.
Identification of impurities: Use the chromatogram obtained with reference solution (c) to identify the peak due to
impurity A. Retention time Impurity A = about 3 min.
Limits:
— impurity A: not more than the area of the corresponding peak in the chromatogram obtained with reference
solution (c) (0.2 per cent);
— unspecified impurities eluting after impurity A: for each impurity, not more than 0.5 times the area of the principal
peak in the chromatogram obtained with reference solution (c) (0.10 per cent).
B. Liquid chromatography (2.2.29) as described in test A for related substances with the following modifications.
Mobile phase Mix 45 volumes of a 15.63 g/L solution of glacial acetic acid R containing 2.33 g/L of sodium dioctyl
sulfosuccinate R and 55 volumes of methanol R.
Injection 10 μL of the test solution and reference solutions (b), (e) and (f).
Run time Twice the retention time of dacarbazine.
Identification of impurities Use the chromatogram obtained with reference solution (e) to identify the peak due to
impurity B.
Relative retention With reference to dacarbazine (retention time = about 27 min): citric acid = about 0.05;
impurity B = about 0.8.
System suitability Reference solution (f):
— resolution: minimum 1.5 between the peaks due to impurity B and dacarbazine.
Limits:
— impurity B: not more than the area of the corresponding peak in the chromatogram obtained with reference solution (e) (0.1 per cent);
— unspecified impurities: for each impurity, not more than the area of the peak due to dacarbazine in the
chromatogram obtained with reference solution (b) (0.10 per cent);
— total: not more than 5 times the area of the peak due to dacarbazine in the chromatogram obtained with reference solution (b) (0.5 per cent);
— disregard limit: 0.5 times the area of the peak due to dacarbazine in the chromatogram obtained with reference
solution (b) (0.05 per cent); disregard the peak due to citric acid.
Impurity D
Gas chromatography (2.2.28). Prepare the solutions immediately before use.
Test solution: Suspend 0.500 g of the substance to be examined in 5.0 mL of ethyl acetate R1. Filter through a membrane filter (nominal pore size 0.45 μm).
Reference solution: Dilute 1.250 g of a 40 per cent m/m solution of dimethylamine R (equivalent to 0.500 g of impurity D) to 100.0 mL with ethyl acetate R1. Dilute 1.0 mL of the solution to 100.0 mL with ethyl acetate R1.
Column:
— material: fused silica;
— size: l = 30.0 m, Ø = 0.53 mm;
— stationary phase: base-deactivated macrogol R (film thickness 1.0 μm).
Carrier gas helium for chromatography R.
Flow rate 3.0 mL/min.
Split ratio 1:10.
Temperature:
| Time (min) |
Temperature (°C) |
|
| Column | 0 – 1 | 40 |
| 1 – 6 | 40 → 50 | |
| 6 – 12 | 50 → 200 | |
| 12 – 22 | 200 | |
| Injection port | 180 | |
| Detector | 220 |
Detection Flame ionisation.
Injection 1.0 μL.
Retention time Impurity D = about 3 min.
System suitability Reference solution:
— repeatability: maximum relative standard deviation of 5.0 per cent for the area of the peak due to impurity D
determined on 6 injections.
Calculation of percentage content:
— use the concentration of impurity D in the reference solution.
Limit:
— impurity D: maximum 0.05 per cent.
Water (2.5.12)
Maximum 0.5 per cent, determined on 1.00 g.
Sulfated ash (2.4.14)
Maximum 0.1 per cent, determined on 1.0 g.
ASSAY
Dissolve 0.150 g in 30 mL of anhydrous acetic acid R. Titrate with 0.1 M perchloric acid, determining the end-point potentiometrically (2.2.20).
1 mL of 0.1 M perchloric acid is equivalent to 18.22 mg of C6H10N6O.
STORAGE
Protected from light, at a temperature of 2 °C to 8 °C.
IMPURITIES
Specified impurities A, B, D.
Other detectable impurities (the following substances would, if present at a sufficient level, be detected by one or other of the tests in the monograph. They are limited by the general acceptance criterion for other/unspecified impurities and/or by the general monograph Substances for pharmaceutical use (2034). It is therefore not necessary to identify these impurities for demonstration of compliance. See also 5.10. Control of impurities in substances for pharmaceutical use) C.

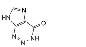
A. 3,7-dihydro-4H-imidazo[4,5-d][1,2,3]triazin-4-one (2-azahypoxanthine),

B. 5-amino-1H-imidazole-4-carboxamide,

C. 5-diazenyl-1H-imidazole-4-carboxamide,

D. N-methylmethanamine (dimethylamine).






