Edition: BP 2025 (Ph. Eur. 11.6 update)
Action and use
Antihelminthic.
Ph Eur
DEFINITION
N-[5-Chloro-4-[(RS)-(4-chlorophenyl)cyanomethyl]-2-methylphenyl]-2-hydroxy-3,5-diiodobenzamide sodium salt dihydrate.
Content
98.5 per cent to 101.5 per cent (anhydrous substance).
CHARACTERS
Appearance
Yellow powder, slightly hygroscopic.
Solubility
Very slightly soluble in water, freely soluble in ethanol (96 per cent), soluble in methanol. It shows polymorphism (5.9).
IDENTIFICATION
A. Infrared absorption spectrophotometry (2.2.24), without recrystallisation.
Comparison closantel sodium dihydrate CRS.
B. Dissolve 0.1 g in 2 mL of ethanol (96 per cent) R. The solution gives reaction (a) of sodium (2.3.1).
TESTS
Appearance of solution
The solution is clear (2.2.1) and not more intensely coloured than reference solution GY4 (2.2.2, Method II). Dissolve 0.50 g in ethanol (96 per cent) R and dilute to 50 mL with the same solvent.
Related substances
Liquid chromatography (2.2.29). Prepare the solutions immediately before use and protect from light.
Test solution Dissolve 0.100 g of the substance to be examined in methanol R and dilute to 10.0 mL with the same solvent.
Reference solution (a) Dissolve 10 mg of closantel for system suitability CRS (containing impurities A to J) in methanol R and dilute to 1.0 mL with the same solvent.
Reference solution (b) Dilute 1.0 mL of the test solution to 100.0 mL with methanol R. Dilute 5.0 mL of this solution to 25.0 mL with methanol R.
Column:
— size: l = 0.10 m, Ø = 4.6 mm;
— stationary phase: base-deactivated end-capped octadecylsilyl silica gel for chromatography R (3 µm);
— temperature: 35 °C.
Mobile phase:
— mobile phase A: to 100 mL of a 7.7 g/L solution of ammonium acetate R previously adjusted to pH 4.3 with acetic acid R, add 50 mL of acetonitrile for chromatography R and 850 mL of water for chromatography R;
— mobile phase B: to 100 mL of a 7.7 g/L solution of ammonium acetate R previously adjusted to pH 4.3 with acetic acid R, add 50 mL of water for chromatography R and 850 mL of acetonitrile for chromatography R;
| Time (min) | Mobile phase A (per cent V/V) | Mobile phase B (per cent V/V) |
| 0 – 2 | 50 | 50 |
| 2 – 22 | 50 → 20 | 50 → 80 |
| 22 – 27 | 20 | 80 |
Flow rate 1.5 mL/min.
Detection Spectrophotometer at 240 nm.
Injection 10 µL.
Identification of impurities Use the chromatogram supplied with closantel for system suitability CRS and the chromatogram obtained with reference solution (a) to identify the peaks due to impurities A, B, C, D, E, F, G, H, I and J.
Relative retention With reference to closantel (retention time = about 16 min): impurity A = about 0.07; impurity B = about 0.48; impurity C = about 0.62; impurity D = about 0.65; impurity E = about 0.82; impurity F = about 0.89; impurity G = about 0.93; impurity H = about 1.13; impurity I = about 1.16; impurity J = about 1.55.
System suitability Reference solution (a):
— resolution: baseline separation between the peaks due to impurity G and closantel;
— the chromatogram obtained is similar to the chromatogram supplied with closantel for system suitability CRS.
Limits:
— correction factors: for the calculation of contents, multiply the peak areas of the following impurities by the corresponding correction factor: impurity A = 1.5; impurity B = 1.3;
— impurity G: not more than 2.5 times the area of the principal peak in the chromatogram obtained with reference solution (b) (0.5 per cent);
— impurities F, H, I: for each impurity, not more than 1.5 times the area of the principal peak in the chromatogram obtained with reference solution (b) (0.3 per cent);
— impurities A, B, C, D, E, J: for each impurity, not more than the area of the principal peak in the chromatogram obtained with reference solution (b) (0.2 per cent);
— unspecified impurities: for each impurity, not more than the area of the principal peak in the chromatogram obtained with reference solution (b) (0.20 per cent);
— total: not more than 7.5 times the area of the principal peak in the chromatogram obtained with reference solution (b) (1.5 per cent);
— disregard limit: 0.25 times the area of the principal peak in the chromatogram obtained with reference solution (b) (0.05 per cent).
Water (2.5.12)
4.8 per cent to 5.8 per cent, determined on 0.250 g.
Use a mixture of 1 volume of dimethylformamide R and 4 volumes of methanol R as the solvent.
ASSAY
Dissolve 0.500 g in 50 mL of a mixture of 1 volume of anhydrous acetic acid R and 7 volumes of methyl ethyl ketone R. Titrate with 0.1 M perchloric acid, determining the end-point potentiometrically (2.2.20).
1 mL of 0.1 M perchloric acid is equivalent to 68.5 mg of C22H13Cl2I2N2NaO2.
STORAGE
In an airtight container, protected from light.
IMPURITIES
Specified impurities A, B, C, D, E, F, G, H, I, J.

A. 2-hydroxy-3,5-diiodobenzoic acid,

B. (2RS)-(4-amino-2-chloro-5-methylphenyl)(4-chlorophenyl)ethanenitrile,

C. (2RS)-[2-chloro-4-[(2-hydroxy-3,5-diiodobenzoyl)amino]-5-methylphenyl](4-chlorophenyl)acetic acid,

D. N-[4-[(1RS)-2-amino-1-(4-chlorophenyl)-2-oxoethyl]-5-chloro-2-methylphenyl]-2-hydroxy-3,5-diiodobenzamide,

E. 3-chloro-N-[5-chloro-4-[(RS)-(4-chlorophenyl)cyanomethyl]-2-methylphenyl]-2-hydroxy-5-iodobenzamide,

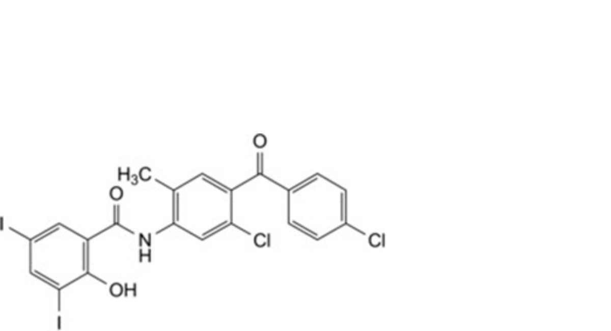
F. N-[5-chloro-4-(4-chorobenzoyl)-2-methylphenyl]-2-hydroxy-3,5-diiodobenzamide,

G. methyl (2RS)-2-[2-chloro-4-[(2-hydroxy-3,5-diiodobenzoyl)amino]-5-methylphenyl]-2-(4-chlorophenyl)acetimidate,

H. methyl (2RS)-[2-chloro-4-[(2-hydroxy-3,5-diiodobenzoyl)amino]-5-methylphenyl](4-chlorophenyl)acetate,

I. N-[5-chloro-4-[(RS)-(4-chlorophenyl)cyanomethyl]-2-methylphenyl]-2-hydroxy-5-iodobenzamide,

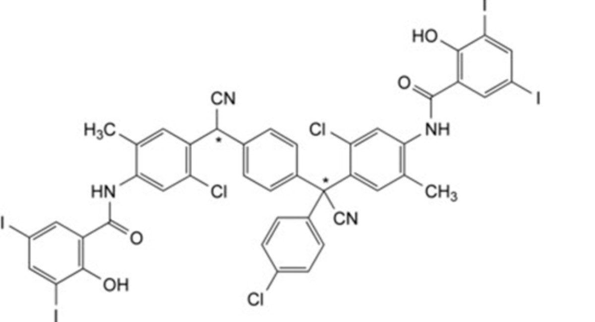
J. N-[5-chloro-4-[[4-[[2-chloro-4-[(2-hydroxy-3,5-diiodobenzoyl)amino]-5-methylphenyl]cyanomethyl]phenyl](4- chlorophenyl)cyanomethyl]-2-methylphenyl]-2-hydroxy-3,5-diiodobenzamide.
Ph Eur






