(Ph. Eur. monograph 1409)
C12H19Cl3N2O 313.7 21898-19-1
Action and use
Beta2-adrenoceptor agonist; bronchodilator.
Preparations
Clenbuterol Granules (VET)
Clenbuterol Injection (VET)
Clenbuterol Oral Solution (VET)
DEFINITION
(1RS)-1-(4-Amino-3,5-dichlorophenyl)-2-[(1,1-dimethylethyl)amino]ethanol hydrochloride.
Content
99.0 per cent to 101.0 per cent (anhydrous substance).
CHARACTERS
Appearance
White or almost white, crystalline powder.
Solubility
Soluble in water and in ethanol (96 per cent), slightly soluble in acetone.
mp
About 173 °C, with decomposition.
IDENTIFICATION
First identification: A, C.
Second identification: B, C.
A. Infrared absorption spectrophotometry (2.2.24).
Comparison: clenbuterol hydrochloride CRS.
B. Thin-layer chromatography (2.2.27).
Test solution: Dissolve 10 mg of the substance to be examined in 10 mL of methanol R.
Reference solution: Dissolve 10 mg of clenbuterol hydrochloride CRS in 10 mL of methanol R.
Plate: TLC silica gel F254 plate R.
Mobile phase: ammonia R, anhydrous ethanol R, toluene R (0.15:10:15 V/V/V).
Application: 10 μL.
Development: Over a path of 10 cm.
Drying: In air.
Detection: Spray with a 10 g/L solution of sodium nitrite R in 1 M hydrochloric acid and dip after 10 min in a 4 g/L solution of naphthylethylenediamine dihydrochloride R in methanol R. Allow to dry in air.
Results: The principal spot in the chromatogram obtained with the test solution is similar in position, colour and size to the principal spot in the chromatogram obtained with the reference solution.
C. It gives reaction (a) of chlorides (2.3.1).
TESTS
Solution S
Dissolve 0.5 g in 10 mL of carbon dioxide-free water R.
Appearance of solution
Solution S is not more opalescent than reference suspension II (2.2.1) and not more intensely coloured than reference solution Y6 (2.2.2, Method II).
pH (2.2.3)
5.0 to 7.0 for solution S.
Optical rotation (2.2.7)
-0.10° to + 0.10°.
Dissolve 0.30 g in water R and dilute to 10.0 mL with the same solvent. Filter if necessary.
Related substances
Liquid chromatography (2.2.29).
Test solution: Disperse 100.0 mg of the substance to be examined in the mobile phase and dilute to 50.0 mL with the mobile phase.
Reference solution (a): Dilute 0.1 mL of the test solution to 100.0 mL with water R.
Reference solution (b): Dissolve 5 mg of clenbuterol impurity B CRS in 10 mL of the mobile phase, add 2.5 mL of the test solution and dilute to 25.0 mL with the mobile phase.
Column:
— size: l = 0.125 m, Ø = 4 mm,
— stationary phase: end-capped octadecylsilyl silica gel for chromatography R (5 μm),
— temperature: 40 °C.
Mobile phase: Mix 200 volumes of acetonitrile R, 200 volumes of methanol R and 600 volumes of a solution prepared as follows: dissolve 3.0 g of sodium decanesulfonate R and 5.0 g of potassium dihydrogen phosphate R in 900 mL of water R, adjust to pH 3.0 with dilute phosphoric acid R and dilute to 1000 mL with water R.
Flow rate: 0.5 mL/min.
Detection: Spectrophotometer at 215 nm.
Injection: 5 μL.
Run time: 1.5 times the retention time of clenbuterol.
Retention time: Clenbuterol = about 29 min.
System suitability: Reference solution (b):
— resolution: minimum 4.0 between the peaks due to impurity B and clenbuterol.
Limits:
— impurities A, B, C, D, E, F: for each impurity, not more than the area of the principal peak in the chromatogram obtained with reference solution (a) (0.1 per cent),
— any other impurity: for each impurity, not more than the area of the principal peak in the chromatogram obtained with reference solution (a) (0.1 per cent),
— total: not more than twice the area of the principal peak in the chromatogram obtained with reference solution (a) (0.2 per cent),
— disregard limit: 0.5 times the area of the principal peak in the chromatogram obtained with reference solution (a) (0.05 per cent).
Water (2.5.12)
Maximum 1.0 per cent, determined on 0.500 g.
Sulfated ash (2.4.14)
Maximum 0.1 per cent, determined on 1.0 g.
ASSAY
Dissolve 0.250 g in 50 mL of ethanol (96 per cent) R and add 5.0 mL of 0.01 M hydrochloric acid. Titrate with 0.1 M sodium hydroxide, determining the end-point potentiometrically (2.2.20). Read the volume added between the 2 points of inflexion.
1 mL of 0.1 M sodium hydroxide is equivalent to 31.37 mg of C12H19Cl3N2O.
IMPURITIES
Specified impurities A, B, C, D, E, F.

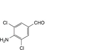
A. 4-amino-3,5-dichlorobenzaldehyde,

B. 1-(4-amino-3,5-dichlorophenyl)-2-[(1,1-dimethylethyl)amino]ethanone,

C. 1-(4-amino-3,5-dichlorophenyl)ethanone,

D. 1-(4-aminophenyl)ethanone,

E. 1-(4-amino-3,5-dichlorophenyl)-2-bromoethanone,

F. (1RS)-1-(4-amino-3-bromo-5-chlorophenyl)-2-[(1,1-dimethylethyl)amino]ethanol.






