(Ph. Eur. monograph 2288)
C20H22BrFN2O 405.3 59729-32-7
Action and use
Selective serotonin reuptake inhibitor; antidepressant.
Preparation
Citalopram Tablets
DEFINITION
(1RS)-1-[3-(Dimethylamino)propyl]-1-(4-fluorophenyl)-1,3-dihydroisobenzofuran-5-carbonitrile hydrobromide.
Content
99.0 per cent to 101.5 per cent (dried substance).
CHARACTERS
Appearance
White or almost white, crystalline powder.
Solubility
Sparingly soluble in water and in anhydrous ethanol.
IDENTIFICATION
A. Optical rotation (see Tests).
B. Infrared absorption spectrophotometry (2.2.24).
Comparison: citalopram hydrobromide CRS.
C. It gives reaction (a) of bromides (2.3.1).
TESTS
Optical rotation (2.2.7)
-0.10° to + 0.10°.
Dissolve 1.0 g in methanol R and dilute to 20 mL with the same solvent.
Related substances
Liquid chromatography (2.2.29).
Test solution: Dissolve 50 mg of the substance to be examined in mobile phase A and dilute to 100.0 mL with mobile phase A.
Reference solution (a): Dilute 1.0 mL of the test solution to 100.0 mL with mobile phase A (solution A). Dilute 1.0 mL of solution A to 10.0 mL with mobile phase A.
Reference solution (b): Dissolve the contents of a vial of citalopram for system suitability CRS (containing impurities B, D and G) in 1.0 mL of solution A.
Column:
— size: l = 0.25 m, Ø = 4.6 mm;
— stationary phase: end-capped octadecylsilyl silica gel for chromatography compatible with 100 per cent aqueous mobile phases R (4 μm);
— temperature: 40 °C.
Mobile phase:
— mobile phase A: dissolve 1.58 g of ammonium formate R in 500 mL of a mixture of 4 volumes of acetonitrile for chromatography R, 32 volumes of methanol R1 and 64 volumes of water for chromatography R;
— mobile phase B: dissolve 1.58 g of ammonium formate R in 500 mL of a mixture of 32 volumes of water for chromatography R and 68 volumes of acetonitrile for chromatography R;
| Time (min) |
Mobile phase A (per cent V/V) |
Mobile phase B (per cent V/V) |
| 0 – 2 | 100 | 0 |
| 2 – 25 | 100 → 40 | 0 → 60 |
| 25 – 30 | 40 | 60 |
Flow rate: 1.0 mL/min.
Detection: Spectrophotometer at 230 nm and, for impurity G, at 254 nm.
Injection: 40 μL.
Identification of impurities: Use the chromatogram supplied with citalopram for system suitability CRS and the chromatogram obtained with reference solution (b) to identify the peaks due to impurities B, D and G.
Relative retention: With reference to citalopram (retention time = about 19 min): impurity G = about 0.5; impurity B = about 0.7; impurity D = about 0.9.
System suitability: Reference solution (b):
— resolution: minimum 1.5 between the peaks due to impurity D and citalopram at 230 nm.
Limits:
— correction factor: for the calculation of content, multiply the peak area of impurity G by 0.6;
— impurity D: not more than twice the area of the principal peak in the chromatogram obtained with reference solution (a) (0.2 per cent);
— impurity B: not more than 1.5 times the area of the principal peak in the chromatogram obtained with reference solution (a) (0.15 per cent);
— impurity G at 254 nm: not more than 1.5 times the area of the principal peak in the chromatogram obtained with reference solution (a) (0.15 per cent);
— unspecified impurities: for each impurity, not more than the area of the principal peak in the chromatogram obtained with reference solution (a) (0.10 per cent);
— sum of impurities other than G: not more than 5 times the area of the principal peak in the chromatogram obtained with reference solution (a) (0.5 per cent);
— disregard limit: 0.5 times the area of the principal peak in the chromatogram obtained with reference solution (a) (0.05 per cent).
Loss on drying (2.2.32)
Maximum 0.5 per cent, determined on 1.000 g by drying in an oven at 105 °C for 4 h.
Sulfated ash (2.4.14)
Maximum 0.1 per cent, determined on 1.0 g in a platinum crucible.
ASSAY
Dissolve 0.300 g in 50 mL of ethanol (96 per cent) R and add 0.5 mL of 0.1 M hydrochloric acid. Carry out a potentiometric titration (2.2.20), using 0.1 M sodium hydroxide. Read the volume added between the 2 points of inflexion.
1 mL of 0.1 M sodium hydroxide is equivalent to 40.53 mg of C20H22BrFN2O.
IMPURITIES
Specified impurities B, D, G.
Other detectable impurities (the following substances would, if present at a sufficient level, be detected by one or other of the tests in the monograph. They are limited by the general acceptance criterion for other/unspecified impurities and/or by the general monograph Substances for pharmaceutical use (2034). It is therefore not necessary to identify these impurities for demonstration of compliance. See also 5.10. Control of impurities in substances for pharmaceutical use) A, C, E, F.

A. (1RS)-1-[3-(dimethylamino)propyl]-1-(4-fluorophenyl)-1,3-dihydroisobenzofuran-5-carboxamide,

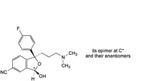
B. 1-[3-(dimethylamino)propyl]-1-(4-fluorophenyl)-3-hydroxy-1,3dihydroisobenzofuran-5-carbonitrile,

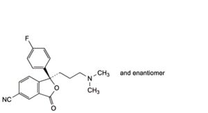
C. (3RS)-6-cyano-3-[3-(dimethylamino)propyl]-3-(4-fluorophenyl)isobenzofuran-1(3H)-one,

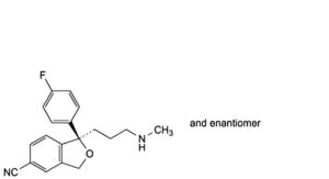
D. (1RS)-1-(4-fluorophenyl)-1-[3-(methylamino)propyl]-1,3-dihydroisobenzofuran-5-carbonitrile,

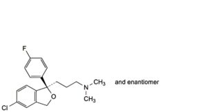
E. 3-[(1RS)-5-chloro-1-(4-fluorophenyl)-1,3-dihydroisobenzofuran-1-yl]-N,N-dimethylpropan-1-amine,

F. 3-[(1RS)-5-bromo-1-(4-fluorophenyl)-1,3-dihydroisobenzofuran-1-yl]-N,N-dimethylpropan-1-amine,

G. 4-(dimethylamino)-1-[(1RS)-1-[3-(dimethylamino)propyl]-1-(4-fluorophenyl)-1,3-dihydroisobenzofuran-5-yl]butan-1-
one.






