(Ph. Eur. monograph 3151)
C21H30O2 314.5 13956-29-1
Action and use
Cannabinoid receptor agonist; adjunctive therapy used in the treatment of seizures (epilepsy).
DEFINITION
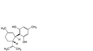
(1′R,2′R)-5′-Methyl-4-pentyl-2′-(prop-1-en-2-yl)-1′,2′,3′,4′-tetrahydro[1,1′-biphenyl]-2,6-diol.
Content
98.0 per cent to 102.0 per cent (anhydrous substance).
It is isolated from the Cannabis sativa L. plant.
CHARACTERS
Appearance
White to pale yellow powder.
Solubility
Practically insoluble in water, freely soluble in ethanol (96 per cent) and in methanol, soluble in heptane.
IDENTIFICATION
A. Infrared absorption spectrophotometry (2.2.24).
Comparison: cannabidiol CRS.
B. Specific optical rotation (see Tests).
TESTS
Specific optical rotation (2.2.7)
-135.0 to -128.0 (anhydrous substance).
Dissolve 0.200 g in ethanol (96 per cent) R and dilute to 20.0 mL with the same solvent.
Related substances
Liquid chromatography (2.2.29).
Test solution (a): Dissolve 15.0 mg of the substance to be examined in methanol R and dilute to 10.0 mL with the same solvent.
Test solution (b): Dilute 2.0 mL of test solution (a) to 10.0 mL with methanol R.
Reference solution (a): Dilute 1.0 mL of test solution (a) to 10.0 mL with methanol R. Dilute 1.0 mL of the solution to 100.0 mL with methanol R.
Reference solution (b): Dissolve 7.5 mg of cannabidiol for system suitability CRS (containing impurities A, B, C and E) in methanol R and dilute to 5 mL with the same solvent.
Reference solution (c): Dissolve 15.0 mg of cannabidiol CRS in methanol R and dilute to 10.0 mL with the same solvent.
Reference solution (d): Transfer 1 mL of reference solution (c) to a vial and add 25 μL of a 103 g/L solution of hydrochloric acid R. Keep at room temperature for 2 h before injection to allow the in situ formation of impurity D.
Reference solution (e): Dissolve the contents of a vial of cannabidiol impurity J CRS in 1 mL of methanol R.
Reference solution (f): Dilute 2.0 mL of reference solution (c) to 10.0 mL with methanol R.
Column:
— size: l = 0.15 m, Ø = 4.6 mm;
— stationary phase: end-capped, charged surface, ethylene-bridged phenylhexylsilyl silica gel for chromatography (hybrid material) R (2.5 μm);
— temperature: 45 °C.
Mobile phase:
— mobile phase A: a 1 g/L solution of formic acid R;
— mobile phase B: acetonitrile R;
| Time
(min) |
Mobile phase A
(per cent V/V) |
Mobile phase B
(per cent V/V) |
| 0 – 6 | 100 | 0 |
| 6 – 21 | 100 → 50 | 0 → 50 |
| 21 – 30 | 50 | 50 |
Flow rate: 1.2 mL/min.
Detection: Spectrophotometer at 275 nm.
Autosampler: Set at 5 °C.
Injection: 10 μL of test solution (a) and reference solutions (a), (b), (d) and (e).
Identification of impurities: Use the chromatogram supplied with cannabidiol for system suitability CRS and the chromatogram obtained with reference solution (b) to identify the peaks due to impurities A, B, C and E; use the chromatogram obtained with reference solution (d) to identify the peak due to impurity D; use the chromatogram obtained with reference solution (e) to identify the peak due to impurity J.
Relative retention: With reference to cannabidiol (retention time = about 12 min): impurity J = about 0.49; impurity A = about 0.72; impurity B = about 0.85; impurity C = about 1.15; impurity D = about 1.21; impurity E = about 1.26.
System suitability: Reference solution (b):
— resolution: minimum 2.0 between the peaks due to cannabidiol and impurity C.
Calculation of percentage contents:
— correction factors: multiply the peak area of the impurity by its correction factor: impurity C = 0.05; impurity E = 0.08;
— for each impurity, use the concentration of the substance to be examined in reference solution (a).
Limits:
— impurity A: maximum 0.80 per cent;
— impurity B: maximum 0.50 per cent;
— impurities C, E and J: for each impurity, maximum 0.15 per cent;
— impurity D: maximum 0.10 per cent;
— unspecified impurities: for each impurity, maximum 0.10 per cent;
— total: maximum 1.5 per cent;
— reporting threshold: 0.05 per cent.
Water (2.5.32)
Maximum 0.5 per cent.
Dissolve 50.0 mg in anhydrous methanol R and dilute to 2.0 mL with the same solvent. Inject 0.8 mL of the solution through the septum.
Sulfated ash (2.4.14)
Maximum 0.1 per cent determined on 1.0 g.
ASSAY
Liquid chromatography (2.2.29) as described in the test for related substances with the following modification.
Injection: Test solution (b) and reference solution (f).
Calculate the percentage content of C21H30O2 taking into account the assigned content of cannabidiol CRS.
STORAGE
In an airtight container, protected from light.
LABELLING
The label states the origin of the substance:
— isolated from the Cannabis sativa L. plant.
IMPURITIES
Specified impurities A, B, C, D, E, J.
Other detectable impurities (the following substances would, if present at a sufficient level, be detected by one or other of the tests in the monograph. They are limited by the general acceptance criterion for other/unspecified impurities and/or by the general monograph Substances for pharmaceutical use (2034). It is therefore not necessary to identify these impurities for demonstration of compliance. See also 5.10. Control of impurities in substances for pharmaceutical use) F, G, H, I, K.

A. (1′R,2′R)-5′-methyl-2′-(prop-1-en-2-yl)-4-propyl-1′,2′,3′,4′-tetrahydro[1,1′-biphenyl]-2,6-diol (cannabidivarin),

B. (1′R,2′R)-4-butyl-5′-methyl-2′-(prop-1-en-2-yl)-1′,2′,3′,4′-tetrahydro[1,1′-biphenyl]-2,6-diol (cannabidibutol),

C. 6,6,9-trimethyl-3-pentyl-6H-dibenzo[b,d]pyran-1-ol (cannabinol),

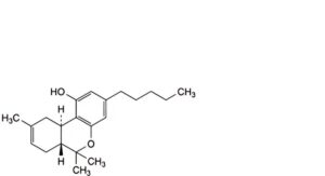
D. (6aR,10aR)-6,6,9-trimethyl-3-pentyl-6a,7,8,10a-tetrahydro-6H-dibenzo[b,d]pyran-1-ol (Δ -tetrahydrocannabinol, dronabinol),

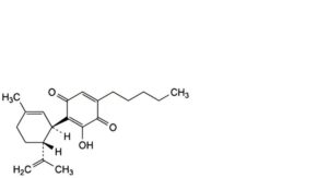
E. (1′R,6′R)-6-hydroxy-3′-methyl-4-pentyl-6′-(prop-1-en-2-yl)[[1,1′-bi(cyclohexane)]-2′,3,6-triene]-2,5-dione,

F. (2RS)-2-methyl-2-(4-methylpent-3-en-1-yl)-7-pentyl-2H-1-benzopyran-5-ol (cannabichromene),

G. (1′R,2′R)-2,6-dihydroxy-5′-methyl-4-pentyl-2′-(prop-1-en-2-yl)-1′,2′,3′,4′-tetrahydro[1,1′-biphenyl]-3-carboxylic acid (cannabidiolic acid),

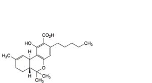
H. (6aR,10aR)-1-hydroxy-6,6,9-trimethyl-3-pentyl-6a,7,8,10a-tetrahydro-6H-dibenzo[b,d]pyran-2-carboxylic acid (Δ -tetrahydrocannabinolic acid),

I. (6aR,10aR)-6,6,9-trimethyl-3-pentyl-6a,7,10,10a-tetrahydro-6H-dibenzo[b,d]pyran-1-ol (Δ -tetrahydrocannabinol),

J. (1′R,2′R)-4,5′-dimethyl-2′-(prop-1-en-2-yl)-1′,2′,3′,4′-tetrahydro[1,1′-biphenyl]-2,6-diol (cannabidiorcol),

K. 2-[(2E)-3,7-dimethylocta-2,6-dien-1-yl]-5-pentylbenzene-1,3-diol (cannabigerol).






