(Ph. Eur. monograph 0470)
C18H32CaN2O10 476.5 137-08-6
Action and use
Component of vitamin B.
DEFINITION
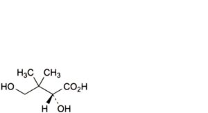
Calcium bis[3-[(2R)-2,4-dihydroxy-3,3-dimethylbutanamido]propanoate].
Content
98.0 per cent to 101.0 per cent (dried substance).
CHARACTERS
Appearance
White or almost white, slightly hygroscopic powder.
Solubility
Freely soluble in water, slightly soluble in ethanol (96 per cent) and practically insoluble in heptane.
IDENTIFICATION
First identification: A, B, D.
Second identification: C, D.
A. Specific optical rotation (see Tests).
B. Infrared absorption spectrophotometry (2.2.24).
Comparison calcium pantothenate CRS.
C. Thin-layer chromatography (2.2.27).
Test solution: Dissolve 10 mg of the substance to be examined in a mixture of 0.25 mL of water R and 4 mL of methanol R.
Reference solution: Dissolve 10 mg of calcium pantothenate CRS in a mixture of 0.25 mL of water R and 4 mL of methanol R.
Plate: TLC silica gel plate R.
Mobile phase: glacial acetic acid R, water R, 2-propanol R (5:15:80 V/V/V).
Application: 5 μL.
Development: Over 4/5 of the plate.
Drying: In air.
Detection: Heat at 120 °C for 20 min; treat the warm plate with a 3 g/L solution of ninhydrin R in a mixture of 3 volumes of glacial acetic acid R and 100 volumes of anhydrous ethanol R; allow to dry and heat again at 120 °C for a few minutes; examine in daylight.
Results: The principal spot in the chromatogram obtained with the test solution is similar in position, colour and size to the principal spot in the chromatogram obtained with the reference solution.
D. It gives reaction (a) of calcium (2.3.1); use methylene chloride R instead of chloroform R for the extraction.
TESTS
Solution S
Dissolve 2.50 g in carbon dioxide-free water R and dilute to 50.0 mL with the same solvent.
Appearance of solution
Solution S is clear (2.2.1) and colourless (2.2.2, Method II).
pH (2.2.3)
6.8 to 8.0 for solution S.
Specific optical rotation (2.2.7)
+ 25.5 to + 27.5 (dried substance), determined on solution S.Impurity A and other aminocarboxylic acid impurities
Maximum 0.50 per cent.
Dissolve 8.000 g in 40 mL of water R and dilute to 100 mL with the same solvent. Add 25 mL of formaldehyde solution R.
Titrate with 0.1 M sodium hydroxide, determining the end-point potentiometrically (2.2.20).
1 mL of 0.1 M sodium hydroxide is equivalent to 8.91 mg of C3H7NO2.
Related substances
Liquid chromatography (2.2.29).
Test solution: Dissolve 0.600 g of the substance to be examined in water R and dilute to 100.0 mL with the same solvent.
Reference solution (a): Dissolve 30.0 mg of calcium pantothenate CRS in water R and dilute to 50.0 mL with the same solvent.
Reference solution (b): Dilute 1.0 mL of the test solution to 100.0 mL with water R. Dilute 1.0 mL of this solution to 10.0 mL with water R.
Reference solution (c): Dissolve 3.0 mg of pantolactone CRS (impurity C) in 5.0 mL of water R. Mix 1.0 mL of the solution and 1.0 mL of reference solution (a) and dilute to 100.0 mL with the same solvent.
Reference solution (d): Dissolve 3 mg of pantothenate for peak identification CRS (containing impurities B, E and H) in 0.5 mL of water R.
Column:
— size: l = 0.15 m, Ø = 3.0 mm;
— stationary phase: octadecylsilyl silica gel for chromatography R (3.5 μm);
— temperature: 35 °C.
Mobile phase:
— mobile phase A: mix 1 volume of acetonitrile R1 and 99 volumes of a 1.56 g/L solution of sodium dihydrogen phosphate R previously adjusted to pH 2.5 with phosphoric acid R;
— mobile phase B: acetonitrile R1;
| Time
(min) |
Mobile phase A
(per cent V/V) |
Mobile phase B
(per cent V/V) |
| 0 – 6 | 100 | 0 |
| 6 – 21 | 100 → 50 | 0 → 50 |
| 21 – 30 | 50 | 50 |
Flow rate: 1.0 mL/min.
Detection: Spectrophotometer at 200 nm.
Injection 5 μL of the test solution and reference solutions (b), (c) and (d).
Identification of impurities: Use the chromatogram obtained with reference solution (c) to identify the peak due to impurity C; use the chromatogram supplied with pantothenate for peak identification CRS and the chromatogram obtained with reference solution (d) to identify the peaks due to impurities B, E and H.
Relative retention: With reference to calcium pantothenate (retention time = about 4 min): impurity B = about 0.5; impurity C = about 0.8; impurity E = about 1.7; impurity H = about 2.3.
System suitability Reference solution (c):
— resolution: minimum 3.0 between the peaks due to impurity C and calcium pantothenate;
— signal-to-noise ratio: minimum 10 for the peak due to impurity C.
Calculation of percentage contents:
— for impurities B and C, use the concentration of impurity C in reference solution (c);
— for impurities other than B and C, use the concentration of calcium pantothenate in reference solution (b).
Limits:
— impurity B: maximum 0.8 per cent;
— impurity C: maximum 0.3 per cent;
— impurity E: maximum 0.25 per cent;
— impurity H: maximum 0.15 per cent;
— unspecified impurities: for each impurity, maximum 0.10 per cent;
— total: maximum 1.2 per cent;
— reporting threshold: 0.05 per cent; disregard any peak due to impurity A (eluting before 1 min).
Chlorides (2.4.4)
Maximum 200 ppm.
Dilute 5 mL of solution S to 15 mL with water R.
Loss on drying (2.2.32)
Maximum 3.0 per cent, determined on 1.000 g by drying in an oven at 105 °C.
ASSAY
Dissolve 0.180 g in 50 mL of anhydrous acetic acid R. Titrate with 0.1 M perchloric acid, determining the end-point potentiometrically (2.2.20).
1 mL of 0.1 M perchloric acid is equivalent to 23.83 mg of C18H32CaN2O10.
STORAGE
In an airtight container.
IMPURITIES
Specified impurities A, B, C, E, H.
Other detectable impurities (the following substances would, if present at a sufficient level, be detected by one or other of the tests in the monograph. They are limited by the general acceptance criterion for other/unspecified impurities and/or by the general monograph Substances for pharmaceutical use (2034). It is therefore not necessary to identify these impurities for demonstration of compliance. See also 5.10. Control of impurities in substances for pharmaceutical use) D, F, G.

A. 3-aminopropanoic acid (β-alanine),

B. (2R)-2,4-dihydroxy-3,3-dimethylbutanoic acid (pantoic acid),

C. (3R)-3-hydroxy-4,4-dimethyloxolan-2-one (pantolactone),

D. methyl 3-[(2R)-2,4-dihydroxy-3,3-dimethylbutanamido]propanoate (methyl pantothenate),

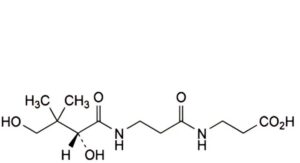
E. 3-[3-[(2R)-2,4-dihydroxy-3,3-dimethylbutanamido]propanamido]propanoic acid (β-alanyl pantothenamide),

F. 3,3′-azanediyldipropanoic acid,

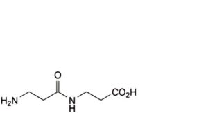
G. 3-(3-aminopropanamido)propanoic acid (β-alanyl-β-alanine),

H. 3-[(5Ξ)-5-(1-hydroxy-2-methylpropan-2-yl)-4-oxo-1,3-oxazolidin-3-yl]propanoic acid.






