(Ph. Eur. monograph 0883)
Download PDF here.
C27H44O3 416.6 32222-06-3
Action and use
Vitamin D analogue.
Preparation
Calcitriol Capsules
DEFINITION
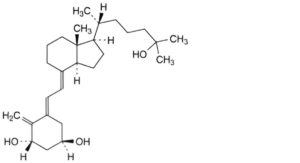
(1S,3R,5Z,7E)-9,10-Secocholesta-5,7,10(19)-triene-1,3,25-triol.
Content
97.0 per cent to 102.0 per cent.
A reversible isomerisation to pre-calcitriol takes place in solution, depending on temperature and time. The activity is due to both compounds (see Assay).
CHARACTERS
Appearance
White or almost white crystals.
Solubility
Practically insoluble in water, freely soluble in ethanol (96 per cent), soluble in fatty oils.
It is sensitive to air, heat and light.
IDENTIFICATION
A. Infrared absorption spectrophotometry (2.2.24).
Comparison: Ph. Eur. reference spectrum of calcitriol.
B. Examine the chromatograms obtained in the assay.
Results: The principal peak in the chromatogram obtained with the test solution is similar in retention time and size to the principal peak in the chromatogram obtained with reference solution (a).
TESTS
Related substances
Liquid chromatography (2.2.29): use the normalisation procedure. Carry out the test as rapidly as possible, avoiding exposure to actinic light and air.
Test solution: Dissolve 1.00 mg of the substance to be examined without heating in 10.0 mL of the mobile phase.
Reference solution (a): Dissolve 1.00 mg of calcitriol CRS without heating in 10.0 mL of the mobile phase.
Reference solution (b): Dilute 1.0 mL of reference solution (a) to 100.0 mL with the mobile phase. Dilute 1.0 mL of this solution to 10.0 mL with the mobile phase.
Reference solution (c): Heat 2 mL of reference solution (a) at 80 °C for 30 min.
Column:
— size: l = 0.25 m, Ø = 4.6 mm;
— stationary phase: end-capped extra-dense bonded octylsilyl silica gel for chromatography R (5 μm);
— temperature: 40 °C.
Mobile phase: Mix 450 volumes of a 1.0 g/L solution of tris(hydroxymethyl)aminomethane R adjusted to pH 7.0-7.5 with phosphoric acid R, and 550 volumes of acetonitrile for chromatography R.
Flow rate: 1.0 mL/min.
Detection: Spectrophotometer at 230 nm.
Injection: 50 μL.
Run time: Twice the retention time of calcitriol.
Relative retention: With reference to calcitriol (retention time = about 14 min): impurity C = about 0.4; pre-calcitriol = about 0.88; impurity A = about 0.95; impurity B = about 1.1.
System suitability:
— resolution: minimum 3.5 between the peaks due to pre-calcitriol and calcitriol in the chromatogram obtained with reference solution (c);
— number of theoretical plates: minimum 10 000, calculated for the peak due to calcitriol in the chromatogram obtained with reference solution (a).
Limits:
— impurities A, B, C: for each impurity, maximum 0.5 per cent;
— unspecified impurities: for each impurity, maximum 0.10 per cent;
— total: maximum 1.0 per cent;
— reporting threshold: 0.05 per cent; disregard the peak due to pre-calcitriol.
ASSAY
Liquid chromatography (2.2.29) as described in the test for related substances with the following modification.
Injection: Test solution and reference solution (a).
For both the test solution and reference solution (a), take into account, the sum of the areas of the peaks due to calcitriol and, when present, to pre-calcitriol.
Calculate the percentage content of C27H44O3 taking into account the assigned content of calcitriol CRS.
STORAGE
Under an inert gas, in an airtight container, protected from light, at a temperature of 2 °C to 8 °C.
The contents of an opened container are to be used immediately.
IMPURITIES
Specified impurities A, B, C.

A. (1S,3R,5E,7E)-9,10-secocholesta-5,7,10(19)-triene-1,3,25-triol (trans-calcitriol),

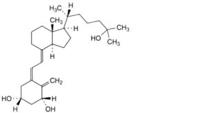
B. (1R,3R,5Z,7E)-9,10-secocholesta-5,7,10(19)-triene-1,3,25-triol (1β-calcitriol),

C. 6ξ-[(3S,5R)-3,5-dihydroxy-2-methylcyclohex-1-en-1-yl]-17β-[(2R)-6-hydroxy-6-methylheptan-2-yl]-2-phenyl-2,5,10- triaza-4-nor-9ξ-estr-7-ene-1,3-dione.






