(Ph. Eur. monograph 2011)
C27H40O3 412.6 112965-21-6
Action and use
Vitamin D analogue.
Preparations
Calcipotriol and Betamethasone Cutaneous Foam
Calcipotriol and Betamethasone Gel
Calcipotriol and Betamethasone Ointment
Calcipotriol Cream
Calcipotriol Ointment
Calcipotriol Scalp Application
DEFINITION
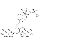
(5Z,7E,22E,24S)-24-Cyclopropyl-9,10-secochola-5,7,10(19),22-tetraene-1α,3β,24-triol.
Content
95.5 per cent to 102.0 per cent (dried substance).
A reversible isomerisation to pre-calcipotriol takes place in solution, depending on temperature and time. The activity is due to both compounds.
CHARACTERS
Appearance
White or almost white, crystalline powder.
Solubility
Practically insoluble in water, freely soluble in ethanol (96 per cent), slightly soluble in methylene chloride.
It is sensitive to heat and light.
IDENTIFICATION
A. Infrared absorption spectrophotometry (2.2.24).
Comparison Ph. Eur. reference spectrum of anhydrous calcipotriol.
B. Loss on drying (see Tests).
TESTS
Carry out the tests for related substances and the assay as rapidly as possible and protected from actinic light and air.
Related substances
A. Thin-layer chromatography (2.2.27).
Solution A: To 1 mL of triethylamine R add 9 mL of chloroform R.
Test solution: Dissolve 1 mg of the substance to be examined in 100 μL of solution A.
Reference solution (a): To 10 μL of the test solution add 990 μL of solution A.
Reference solution (b): To 250 μL of reference solution (a) add 750 μL of solution A.
Reference solution (c): To 100 μL of reference solution (a) add 900 μL of solution A.
Reference solution (d): Place 2 mg of the substance to be examined in a vial and dissolve in 200 μL of solution A. Close the vial and keep it in a water-bath at 60 °C for 2 h.
Plate: TLC silica gel F254 plate R.
Mobile phase: 2-methylpropanol R, methylene chloride R (20:80 V/V).
Application: 10 μL of the test solution and reference solutions (b), (c) and (d).
Development: Over 2/3 of the plate.
Drying: In air, then at 140 °C for 10 min.
Detection: Spray the hot plate with an alcoholic solution of sulfuric acid R, dry at 140 °C for not more than 1 min and examine in ultraviolet light at 366 nm.
Relative retardation: With reference to calcipotriol (RF = about 0.4): impurity G = about 0.4; impurity H = about 0.4; pre- calcipotriol = about 0.9; impurity A = about 1.2.
System suitability: Reference solution (d):
— the chromatogram shows a secondary spot due to pre-calcipotriol.
Limits:
— impurity A: any spot due to impurity A is not more intense than the spot in the chromatogram obtained with reference solution (b) (0.25 per cent);
— impurities G, H: any spot due to impurity G or H is not more intense than the spot in the chromatogram obtained with reference solution (b) (0.25 per cent for the sum);
— unspecified impurities: any other spot is not more intense than the spot in the chromatogram obtained with reference solution (c) (0.1 per cent).
B. Liquid chromatography (2.2.29).
Solution A: Dissolve 1.32 g of ammonium phosphate R in water R and dilute to 10.0 mL with the same solvent.
Solvent mixture: Solution A, water R, methanol R (0.3:29.7:70 V/V/V).
Test solution (a): Dissolve 2 mg of the substance to be examined in the solvent mixture and dilute to 5.0 mL with the solvent mixture.
Test solution (b): Dissolve 2.00 mg of the substance to be examined in the solvent mixture and dilute to 20.0 mL with the solvent mixture.
Reference solution (a): Dilute 1.0 mL of test solution (a) to 100.0 mL with the solvent mixture.
Reference solution (b): Dilute 1.0 mL of reference solution (a) to 10.0 mL with the solvent mixture.
Reference solution (c): Dissolve 1 mg of calcipotriol for system suitability CRS (containing impurities B, C and D) in the solvent mixture and dilute to 2.5 mL with the solvent mixture.
Reference solution (d): Dissolve 2.00 mg of calcipotriol monohydrate CRS in the solvent mixture and dilute to 20.0 mL with the solvent mixture.
Column:
— size: l = 0.10 m, Ø = 4.0 mm;
— stationary phase: end-capped octadecylsilyl silica gel for chromatography R (3 μm).
Mobile phase: water for chromatography R, methanol R (30:70 V/V).
Flow rate: 1.0 mL/min.
Detection: Spectrophotometer at 264 nm.
Injection: 20 μL of test solution (a) and reference solutions (a), (b) and (c).
Run time: Twice the retention time of calcipotriol.
Identification of impurities: Use the chromatogram supplied with calcipotriol for system suitability CRS and the chromatogram obtained with reference solution (c) to identify the peaks due to impurities B, C and D.
Relative retention: With reference to calcipotriol (retention time = about 13.5 min): impurity B = about 0.86; impurity C = about 0.92; impurity D = about 1.3.
System suitability: Reference solution (c):
— peak-to-valley ratio: minimum 1.5, where Hp = height above the baseline of the peak due to impurity C and Hv = height above the baseline of the lowest point of the curve separating this peak from the peak due to calcipotriol.
Limits:
— impurity B: not more than 0.5 times the area of the principal peak in the chromatogram obtained with reference solution (a) (0.5 per cent);
— impurities C, D: for each impurity, not more than the area of the principal peak in the chromatogram obtained with reference solution (a) (1.0 per cent);
— unspecified impurities: for each impurity, not more than the area of the principal peak in the chromatogram obtained with reference solution (b) (0.10 per cent);
— total: not more than 2.5 times the area of the principal peak in the chromatogram obtained with reference solution (a) (2.5 per cent);
— disregard limit: 0.5 times the area of the principal peak in the chromatogram obtained with reference solution (b) (0.05 per cent).
Loss on drying
Maximum 1.0 per cent, determined on 5 mg by thermogravimetry (2.2.34). Heat to 105 °C at a rate of 10 °C/min and maintain at 105 °C for 60 min.
ASSAY
Liquid chromatography (2.2.29) as described in the test for related substances with the following modification.
Injection: Test solution (b) and reference solution (d).
For both test solution (b) and reference solution (d), take into account the sum of the areas of the peaks due to calcipotriol and, when present, to pre-calcipotriol.
Calculate the percentage content of C27H40O3 taking into account the assigned content of calcipotriol monohydrate CRS.
STORAGE
In an airtight container, protected from light, at -20 °C or below.
IMPURITIES
Test A for related substances
A, G, H, I.
Test B for related substances
B, C, D, E, F.
Specified impurities: A, B, C, D, G, H.
Other detectable impurities (the following substances would, if present at a sufficient level, be detected by one or other of the tests in the monograph. They are limited by the general acceptance criterion for other/unspecified impurities and/or by the general monograph Substances for pharmaceutical use (2034). It is therefore not necessary to identify these impurities for demonstration of compliance. See also 5.10. Control of impurities in substances for pharmaceutical use) E, F, I.

A. (5Z,7E,22E)-24-cyclopropyl-1α,3β-dihydroxy-9,10-secochola-5,7,10(19),22-tetraen-24-one,

B. (5Z,7Z,22E,24S)-24-cyclopropyl-9,10-secochola-5,7,10(19),22-tetraene-1α,3β,24-triol ((7Z)-calcipotriol),

C. (5E,7E,22E,24S)-24-cyclopropyl-9,10-secochola-5,7,10(19),22-tetraene-1α,3β,24-triol ((5E)-calcipotriol),

D. (5Z,7E,22E,24R)-24-cyclopropyl-9,10-secochola-5,7,10(19),22-tetraene-1α,3β,24-triol (24-epi-calcipotriol),

E. rac-(5Z,7E,24S)-24-cyclopropyl-9,10-secochola-5,7,10(19)-triene-1α,3β,24-triol,

F. (5Z,7E,22E,24S)-24-cyclopropyl-1α,3β-bis[[(1,1-dimethylethyl)dimethylsilyl]oxy]-9,10-secochola-5,7,10(19),22-tetraen- 24-ol,

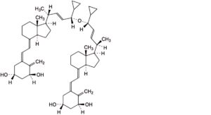
G. 24,24′-oxybis[(5Z,7E,22E,24S)-24-cyclopropyl-9,10-secochola-5,7,10(19),22-tetraene-1α,3β-diol],

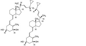
H. (5Z,7E,22E,24R)-24-cyclopropyl-24-[[(5Z,7E,22E,24S)-24-cyclopropyl-1α,3β-dihydroxy-9,10-secochola-5,7,10(19),22- tetraen-24-yl]oxy]-9,10-secochola-5,7,10(19),22-tetraene-1α,3β-diol,

I. (6S,7R,8R,22E,24S)-24-cyclopropyl-6,8:7,19-dicyclo-9,10-secochola-5(10),22-diene-1α,3β,24-triol (suprasterol of calcipotriol).






