(Ph. Eur. monograph 1295)
C27H44O2, H2O 418.7 63283-36-3
Action and use
Vitamin D analogue.
DEFINITION
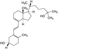
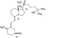
(3S,5Z,7E)-9,10-Secocholesta-5,7,10(19)-triene-3,25-diol monohydrate.
Content
98.0 per cent to 102.0 per cent (anhydrous substance).
A reversible isomerisation to pre-calcifediol takes place in solution, depending on temperature and time. The activity is due to both compounds (see Assay).
CHARACTERS
Appearance
White or almost white crystals.
Solubility
Practically insoluble in water, freely soluble in ethanol (96 per cent), soluble in fatty oils.
It is sensitive to air, heat and light.
IDENTIFICATION
A. Infrared absorption spectrophotometry (2.2.24).
Comparison: Ph. Eur. reference spectrum of calcifediol.
B. Examine the chromatograms obtained in the assay.
Results: The principal peak in the chromatogram obtained with the test solution is similar in retention time and size to the principal peak in the chromatogram obtained with reference solution (a).
TESTS
Related substances
Liquid chromatography (2.2.29): use the normalisation procedure. Carry out the test as rapidly as possible, avoiding exposure to actinic light and air.
Test solution: Dissolve 5.0 mg of the substance to be examined without heating in the mobile phase and dilute to 50.0 mL with the mobile phase.
Reference solution (a): Dissolve 5.0 mg of calcifediol CRS without heating in the mobile phase and dilute to 50.0 mL with the mobile phase.
Reference solution (b): Dilute 1.0 mL of reference solution (a) to 100.0 mL with the mobile phase. Dilute 1.0 mL of this solution to 10.0 mL with the mobile phase.
Reference solution (c): Heat 2 mL of reference solution (a) in a water-bath at 80 °C under a reflux condenser for 2 h and cool.
Reference solution (d): Dissolve 1 mg of calcifediol for impurity D identification CRS in the mobile phase and dilute to
10 mL with the mobile phase.
Column:
— size: l = 0.15 m, Ø = 4.6 mm;
— stationary phase: end-capped octylsilyl silica gel for chromatography R (5 μm).
Mobile phase: water for chromatography R, methanol R (20:80 V/V).
Flow rate: 1.5 mL/min.
Detection: Spectrophotometer at 265 nm.
Injection: 50 μL of the test solution and reference solutions (b), (c) and (d).
Run time: Twice the retention time of calcifediol.
Identification of impurities: Use the chromatogram supplied with calcifediol for impurity D identification CRS and the chromatogram obtained with reference solution (d) to identify the peak due to impurity D.
Relative retention: With reference to calcifediol (retention time = about 11 min): pre-calcifediol = about 1.3; impurity D = about 1.7.
System suitability: Reference solution (c):
— resolution: minimum 5.0 between the peaks due to calcifediol and pre-calcifediol.
Limits:
— impurity D: maximum 0.3 per cent;
— unspecified impurities: for each impurity, maximum 0.10 per cent;
— total: maximum 0.5 per cent;
— reporting threshold: 0.05 per cent (0.5 times the area of the principal peak in the chromatogram obtained with reference solution (b)); disregard the peak due to pre-calcifediol.
Water (2.5.32)
3.8 per cent to 5.0 per cent, determined on 10.0 mg by direct introduction of the sample.
ASSAY
Liquid chromatography (2.2.29) as described in the test for related substances with the following modification.
Injection: Test solution and reference solution (a).
For both the test solution and reference solution (a), take into account the sum of the areas of the peaks due to calcifediol and, when present, to pre-calcifediol.
Calculate the percentage content of C27H44O2 taking into account the assigned content of calcifediol CRS.
STORAGE
Under nitrogen, in an airtight container, protected from light, at a temperature of 2 °C to 8 °C.
The contents of an opened container are to be used immediately.
IMPURITIES
Specified impurities D.
Other detectable impurities (the following substances would, if present at a sufficient level, be detected by one or other of the tests in the monograph. They are limited by the general acceptance criterion for other/unspecified impurities and/or by the general monograph Substances for pharmaceutical use (2034). It is therefore not necessary to identify these impurities for demonstration of compliance. See also 5.10. Control of impurities in substances for pharmaceutical use) A, B, C.

A. 9β,10α-cholesta-5,7-diene-3β,25-diol,

B. cholesta-5,7-diene-3β,25-diol,

C. (3S,6E)-9,10-secocholesta-5(10),6,8-triene-3,25-diol,

D. (3S,5E,7E)-9,10-secocholesta-5,7,10(19)-triene-3,25-diol.






