(Ph. Eur. monograph 1773)
C26H37N5O2 451.6 81409-90-7
Action and use
Dopamine D2 receptor agonist.
Preparation
Cabergoline Tablets
DEFINITION
1-Ethyl-3-[3-(dimethylamino)propyl]-3-[[(6aR,9R,10aR)-7-(prop-2-enyl)-4,6,6a,7,8,9,10,10a-octahydroindolo[4,3-
fg]quinolin-9-yl]carbonyl]urea.
Content
98.0 per cent to 102.0 per cent (anhydrous substance).
CHARACTERS
Appearance
White or almost white, crystalline powder.
Solubility
Practically insoluble in water, freely soluble in ethanol (96 per cent), very slightly soluble in hexane. It is slightly soluble in 0.1 M hydrochloric acid.
It shows polymorphism (5.9).
IDENTIFICATION
A. Specific optical rotation (see Tests).
B. Infrared absorption spectrophotometry (2.2.24).
Comparison cabergoline CRS.
If the spectra obtained in the solid state show differences, dissolve 50 mg of the substance to be examined and 50 mg of the reference substance separately in 1 mL of ethanol (96 per cent) R, evaporate to dryness and record new spectra using the residues.
TESTS
Specific optical rotation (2.2.7)
-77 to -83 (anhydrous substance).
Dissolve 0.100 g in ethanol (96 per cent) R and dilute to 50.0 mL with the same solvent.
Related substances
Liquid chromatography (2.2.29). Prepare the solutions immediately before use and protected from light.
Test solution: Dissolve 30.0 mg of the substance to be examined in the mobile phase and dilute to 25.0 mL with the mobile phase.
Reference solution (a): Dissolve 30.0 mg of cabergoline CRS in the mobile phase and dilute to 25.0 mL with the mobile phase.
Reference solution (b): Dilute 1.0 mL of the test solution to 100.0 mL with the mobile phase. Dilute 10.0 mL of this solution to 50.0 mL with the mobile phase.
Reference solution (c): Suspend 50 mg of the substance to be examined in 10 mL of 0.1 M sodium hydroxide. Stir for about 15 min. To 1 mL of the suspension add 1 mL of 0.1 M hydrochloric acid and dilute to 10 mL with the mobile phase.
Sonicate until dissolution is complete. The main degradation product obtained is impurity A.
Column:
— size: l = 0.25 m, Ø = 4.6 mm,
— stationary phase: octadecylsilyl silica gel for chromatography R (10 μm).
Mobile phase: Mix 16 volumes of acetonitrile R and 84 volumes of a freshly prepared 6.8 g/L solution of potassium dihydrogen phosphate R previously adjusted to pH 2.0 with phosphoric acid R. Add 0.2 volumes of triethylamine R.
Flow rate: 1.2 mL/min.
Detection: Spectrophotometer at 280 nm.
Injection: 20 μL of the test solution and reference solutions (b) and (c).
Run time: 4 times the retention time of cabergoline.
Relative retention: With reference to cabergoline (retention time = about 12 min): impurity D = about 0.3;
impurity B = about 0.6; impurity A = about 0.8; impurity C = about 2.9.
System suitability: Reference solution (c):
— resolution: minimum 3.0 between the peaks due to cabergoline and impurity A.
Limits:
— impurities A, C: for each impurity, not more than 1.5 times the area of the principal peak in the chromatogram
obtained with reference solution (b) (0.3 per cent);
— impurities B, D: for each impurity, not more than 0.5 times the area of the principal peak in the chromatogramobtained with reference solution (b) (0.1 per cent);
— any other impurity: for each impurity, not more than 0.5 times the area of the principal peak in the chromatogram obtained with reference solution (b) (0.1 per cent);
— total: not more than 4 times the area of the principal peak in the chromatogram obtained with reference solution (b) (0.8 per cent);
— disregard limit: 0.25 times the area of the principal peak in the chromatogram obtained with reference solution (b) (0.05 per cent).
Water (2.5.12)
Maximum 0.5 per cent, determined on 1.000 g.
ASSAY
Liquid chromatography (2.2.29) as described in the test for related substances with the following modification.
Injection Test solution and reference solution (a).
Calculate the percentage content of C26H37N5O2 from the areas of the peaks and the declared content of cabergoline CRS.
STORAGE
Protected from light.
IMPURITIES
Specified impurities A, B, C, D.

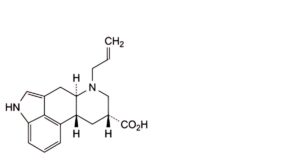
A. (6aR,9R,10aR)-7-(prop-2-enyl)-4,6,6a,7,8,9,10,10a-octahydroindolo[4,3-fg]quinoline-9-carboxylic acid,

B. (6aR,9R,10aR)-N -[3-(dimethylamino)propyl]-N -ethyl-7-(prop-2-enyl)-6a,7,8,9,10,10a-hexahydroindolo[4,3-
fg]quinoline-4,9(6H)-dicarboxamide,

C. (6aR,9R,10aR)-N -[3-(dimethylamino)propyl]-N -ethyl-N -(ethylcarbamoyl)-7-(prop-2-enyl)-6a,7,8,9,10,10a-
hexahydroindolo[4,3-fg]quinoline-4,9(6H)-dicarboxamide,

D. (6aR,9R,10aR)-N-[3-(dimethylamino)propyl]-7-(prop-2-enyl)-4,6,6a,7,8,9,10,10a-octahydroindolo[4,3-fg]quinoline-9-carboxamide.






