(Ph. Eur. monograph 1181)
C29H42ClNO4 504.1 53152-21-9
Action and use
Opioid receptor partial agonist; analgesic.
Preparations
Buprenorphine Injection
Buprenorphine Sublingual Tablets
DEFINITION
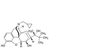
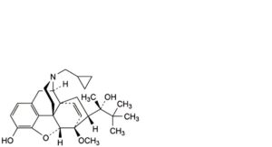
(2S)-2-[17-(Cyclopropylmethyl)-4,5α-epoxy-3-hydroxy-6-methoxy-6α,14-ethano-14α-morphinan-7α-yl]-3,3-dimethylbutan-2-ol hydrochloride.
Content
98.5 per cent to 101.5 per cent (dried substance).
CHARACTERS
Appearance
White or almost white, crystalline powder.
Solubility
Sparingly soluble in water, freely soluble in methanol, soluble in ethanol (96 per cent), practically insoluble in cyclohexane.
IDENTIFICATION
A. Infrared absorption spectrophotometry (2.2.24).
Comparison buprenorphine hydrochloride CRS.
B. 3 mL of solution S (see Tests) gives reaction (a) of chlorides (2.3.1).
TESTS
Solution S
Dissolve 0.250 g in 5.0 mL of methanol R and, while stirring, dilute to 25.0 mL with carbon dioxide-free water R.
Appearance of solution
Solution S is clear (2.2.1) and colourless (2.2.2, Method II).
Acidity or alkalinity
To 10.0 mL of solution S add 0.05 mL of methyl red solution R. Not more than 0.2 mL of 0.02 M sodium hydroxide or 0.02 M hydrochloric acid is required to change the colour of the indicator.
Specific optical rotation (2.2.7)
-92 to -98 (dried substance).
Dissolve 0.200 g in methanol R and dilute to 20.0 mL with the same solvent.
Related substances
Liquid chromatography (2.2.29).
Test solution: Dissolve 50.0 mg of the substance to be examined in methanol R and dilute to 10.0 mL with the same solvent.
Reference solution (a): Dilute 1.0 mL of the test solution to 100.0 mL with methanol R. Dilute 1.0 mL of this solution to 10.0 mL with methanol R.
Reference solution (b): Dissolve 5 mg of buprenorphine for system suitability CRS (containing impurities A, B, F, G, H and J) in 1.0 mL of methanol R.
Column:
— size: l = 0.05 m, Ø = 4.6 mm;
— stationary phase: end-capped octadecylsilyl silica gel for chromatography R (3.5 μm);
— temperature: 30 °C.
Mobile phase:
— mobile phase A: mix 10 volumes of acetonitrile R and 90 volumes of the following solution: dissolve 5.44 g of potassium dihydrogen phosphate R in 900 mL of water R, adjust to pH 4.5 with a 5 per cent V/V solution of phosphoric acid R and dilute to 1000 mL with water R;
— mobile phase B: acetonitrile R;
| Time
(min) |
Mobile phase A
(per cent V/V) |
Mobile phase B
(per cent V/V) |
| 0 – 2 | 89 | 11 |
| 2 – 12 | 89 → 64 | 11 → 36 |
| 12 – 15 | 64 → 41 | 36 → 59 |
| 15 – 20 | 41 → 39 | 59 → 61 |
Flow rate: 1.3 mL/min.
Detection: Spectrophotometer at 240 nm.
Injection: 5 μL.
Identification of impurities: Use the chromatogram supplied with buprenorphine for system suitability CRS and the chromatogram obtained with reference solution (b) to identify the peaks due to impurities A, B, F, G, H and J.
Relative retention: With reference to buprenorphine (retention time = about 8.5 min): impurity B = about 0.4; impurity J = about 1.1; impurity F = about 1.27; impurity H = about 1.33; impurity A = about 1.40; impurity G = about 1.8.
System suitability: Reference solution (b):
— resolution: minimum 1.5 between the peaks due to buprenorphine and impurity J.
Limits:
— correction factor: for the calculation of content, multiply the peak area of impurity G by 0.3;
— impurity H: not more than 2.5 times the area of the principal peak in the chromatogram obtained with reference solution (a) (0.25 per cent);
— impurities A, B, F, J: for each impurity, not more than twice the area of the principal peak in the chromatogram obtained with reference solution (a) (0.2 per cent);
— impurity G: not more than 1.5 times the area of the principal peak in the chromatogram obtained with reference solution (a) (0.15 per cent);
— unspecified impurities: for each impurity, not more than the area of the principal peak in the chromatogram obtained with reference solution (a) (0.10 per cent);
— total: not more than 7 times the area of the principal peak in the chromatogram obtained with reference solution (a) (0.7 per cent);
— disregard limit: 0.5 times the area of the principal peak in the chromatogram obtained with reference solution (a) (0.05 per cent).
Loss on drying (2.2.32)
Maximum 1.0 per cent, determined on 1.000 g by heating in an oven at 115-120 °C.
ASSAY
Dissolve 0.400 g in a mixture of 5 mL of 0.01 M hydrochloric acid and 50 mL of ethanol (96 per cent) R. Carry out a potentiometric titration (2.2.20), using 0.1 M sodium hydroxide. Read the volume added between the 2 points of inflexion.
Carry out a blank titration.
1 mL of 0.1 M sodium hydroxide is equivalent to 50.41 mg of C29H42ClNO4.
STORAGE
Protected from light.
IMPURITIES
Specified impurities A, B, F, G, H, J.
Other detectable impurities (the following substances would, if present at a sufficient level, be detected by one or other of the tests in the monograph. They are limited by the general acceptance criterion for other/unspecified impurities and/or by the general monograph Substances for pharmaceutical use (2034). It is therefore not necessary to identify these impurities for demonstration of compliance. See also 5.10. Control of impurities in substances for pharmaceutical use) C, D, E, I.

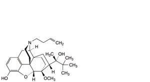
A. (2S)-2-[17-(but-3-enyl)-4,5α-epoxy-3-hydroxy-6-methoxy-6α,14-ethano-14α-morphinan-7α-yl]-3,3-dimethylbutan-2-ol,

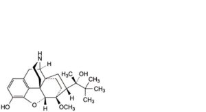
B. (2S)-2-(4,5α-epoxy-3-hydroxy-6-methoxy-6α,14-ethano-14α-morphinan-7α-yl)-3,3-dimethylbutan-2-ol
(norbuprenorphine),

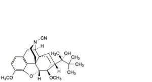
C. 4,5α-epoxy-7α-[(1S)-1-hydroxy-1,2,2-trimethylpropyl]-3,6-dimethoxy-6α,14-ethano-14α-morphinan-17-carbonitrile,

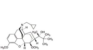
D. (2S)-2-[17-(cyclopropylmethyl)-4,5α-epoxy-3,6-dimethoxy-6α,14-ethano-14α-morphinan-7α-yl]-3,3-dimethylbutan-2-ol (3-O-methylbuprenorphine),

E. (2S)-2-[17-(cyclopropylmethyl)-4,5α-epoxy-3,6-dihydroxy-6α,14-ethano-14α-morphinan-7α-yl]-3,3-dimethylbutan-2-ol (6-O-desmethylbuprenorphine),

F. 17-(cyclopropylmethyl)-4,5α-epoxy-6-methoxy-7α-[1-(1,1-dimethylethyl)ethenyl]-6α,14-ethano-14α-morphinan-3-ol,

G. 17,17′-di(cyclopropylmethyl)-4,5α;4′,5α′-diepoxy-7α,7α′-di[(1S)-1-hydroxy-1,2,2-trimethylpropyl]-6,6′-dimethoxy-2,2′-bi(6α,14-ethano-14α-morphinan)-3,3′-diol (2,2′-bibuprenorphine),

H. (2S)-2-[17-butyl-4,5α-epoxy-3-hydroxy-6-methoxy-6α,14-ethano-14α-morphinan-7α-yl]3,3-dimethylbutan-2-ol,

I. 17-(cyclopropylmethyl)-4′′,4′′,5′′,5′′-tetramethyl-4′′,5′′dihydro-(7βH)-6α,14-ethano-(5βH)-
difurano[2′,3′,4′,5′:4,12,13,5;2′′,3′′:6,7]-14α-morphinan-3-ol,

J. (2S)-2-[17-(cyclopropylmethyl)-4,5α-epoxy-3-hydroxy-6-methoxy-6α,14-etheno-14α-morphinan-7α-yl]-3,3-
dimethylbutan-2-ol.






