(Ph. Eur. monograph 3139)
C11H20N2O2 212.3 357336-20-0
Action and use
Anticonvulsant; synaptic vesicle protein 2A (SV2A) ligand; adjunctive therapy of partial-onset seizures.
Preparations
Brivaracetam Tablets
Brivaracetam Oral Solution
Brivaracetam Injection or Infusion
DEFINITION
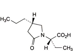
(2S)-2-[(4R)-2-Oxo-4-propylpyrrolidin-1-yl]butanamide.
Content
97.0 per cent to 102.0 per cent (anhydrous substance).
CHARACTERS
Appearance
White or almost white powder.
Solubility
Very soluble to freely soluble in water and anhydrous ethanol, practically insoluble in heptane.
IDENTIFICATION
A. Infrared absorption spectrophotometry (2.2.24).
Comparison: brivaracetam CRS.
B. Examine the chromatograms obtained in the test for stereoisomeric purity.
Results: The principal peak in the chromatogram obtained with the test solution is similar in retention time to the peak due to brivaracetam in the chromatogram obtained with reference solution (a).
TESTS
Appearance of solution
The solution is not more opalescent than reference suspension II (2.2.1) and not more intensely coloured than reference solution BY6(2.2.2, Method II).
Dissolve 1.0 g in water R and dilute to 20.0 mL with the same solvent.
Stereoisomeric purity
Liquid chromatography (2.2.29).
Test solution: Dissolve 25.0 mg of the substance to be examined in the mobile phase and dilute to 25.0 mL with the mobile phase.
Reference solution (a): Dissolve 5 mg of brivaracetam CRS and 5 mg of brivaracetam impurity A CRS in the mobile phase and dilute to 5 mL with the mobile phase.
Reference solution (b): Dissolve 2 mg of brivaracetam impurity B CRS and 2 mg of brivaracetam impurity C CRS in the mobile phase and dilute to 50 mL with the mobile phase.
Column:
— size: l = 0.25 m, Ø = 4.6 mm;
— stationary phase: amylose derivative of silica gel for chiral separation R (10 μm);
— temperature: 25 °C.
Mobile phase: anhydrous ethanol R, heptane R (20:80 V/V).
Flow rate: 1.0 mL/min.
Detection: Spectrophotometer at 205 nm.
Injection: 20 μL.
Run time: 1.8 times the retention time of brivaracetam.
Identification of impurities: Use the chromatogram obtained with reference solution (a) to identify the peak due to impurity A; use the chromatogram obtained with reference solution (b) to identify the peaks due to impurities B and C.
Relative retention: With reference to brivaracetam (retention time = about 17 min): impurity B = about 0.48; impurity C = about 0.55; impurity A = about 0.68.
System suitability:
— resolution: minimum 2.0 between the peaks due to impurity A and brivaracetam in the chromatogram obtained with reference solution (a); minimum 1.5 between the peaks due to impurities B and C in the chromatogram obtained with reference solution (b);
— symmetry factor: maximum 2.0 for the peak due to brivaracetam in the chromatogram obtained with reference solution (a).
Calculation of percentage contents:
— for impurities A, B and C, calculate the ratio of the area of the corresponding peak to the sum of the areas of the peaks due to impurities A, B, C and brivaracetam from the chromatogram obtained with the test solution.
Limits:
— impurity A: maximum 2.50 per cent;
— impurity B ((R,S)-enantiomer): maximum 0.15 per cent;
— impurity C: maximum 0.15 per cent.
Related substances
Liquid chromatography (2.2.29).
Test solution: Dissolve 50.0 mg of the substance to be examined in water R and dilute to 50.0 mL with the same solvent.
Reference solution (a): Dilute 1.0 mL of the test solution to 100.0 mL with water R. Dilute 1.0 mL of this solution to 10.0 mL with water R.
Reference solution (b): Dissolve 2 mg of the substance to be examined and 2 mg of brivaracetam impurity A CRS in water R and dilute to 5 mL with the same solvent.
Reference solution (c): Dissolve 60.0 mg of brivaracetam CRS in water R and dilute to 50.0 mL with the same solvent.
Reference solutions (d), (e), (f), (g): Dilute reference solution (c) with water R as necessary to obtain reference solutions with a concentration of 1.10 mg/mL, 1.00 mg/mL (reference solution (e)), 0.90 mg/mL and 0.80 mg/mL.
A precolumn containing end-capped ethylene-bridged octadecylsilyl silica gel for chromatography (hybrid material) R (1.7 μm) may be used.
Column:
— size: l = 0.10 m, Ø = 2.1 mm;
— temperature: 38 °C;
— stationary phase: end-capped ethylene-bridged octadecylsilyl silica gel for chromatography (hybrid material) R (1.7 μm).
Mobile phase:
— mobile phase A: formic acid R, water for chromatography R (0.1:1000 V/V);
— mobile phase B: formic acid R, acetonitrile R1 (0.1:1000 V/V);
| Time (min) |
Mobile phase A (per cent V/V) |
Mobile phase B (per cent V/V) |
| 0 – 1 | 92 | 8 |
| 1 – 12 | 92 → 72 | 8 → 28 |
| 12 – 12.5 | 72 → 50 | 28 → 50 |
| 12.5 – 13.5 | 50 | 50 |
Flow rate: 0.5 mL/min.
Detection: Spectrophotometer at 205 nm.
Injection: 3 μL of the test solution and reference solutions (a) and (b).
Identification of impurities: Use the chromatogram obtained with reference solution (b) to identify the peak due to impurity A.
Relative retention: With reference to brivaracetam (retention time = about 8 min): impurity A = about 1.04.
System suitability Reference solution (b):
— resolution: minimum 2.0 between the peaks due to brivaracetam and impurity A.
Calculation of percentage contents:
— for each impurity, use the concentration of brivaracetam in reference solution (a).
Limits:
— unspecified impurities: for each impurity, maximum 0.10 per cent;
— total: maximum 0.30 per cent;
— reporting threshold: 0.05 per cent; disregard the peak due to impurity A.
Water (2.5.32)
Maximum 0.50 per cent.
Dissolve 300.0 mg in 600 μL of anhydrous methanol R. Inject the solution through the septum.
Sulfated ash (2.4.14)
Maximum 0.1 per cent, determined on 1.0 g.
ASSAY
Liquid chromatography (2.2.29) as described in the test for related substances, with the following modifications.
Injection 2 μL of the test solution and reference solutions (c), (d), (e), (f) and (g).
System suitability:
— the coefficient of determination (r ) calculated for the calibration curve is not less than 0.995.
Calculate the percentage content of C11H20N2O2 using the calibration curve and taking into account the assigned content of brivaracetam CRS.
IMPURITIES
Specified impurities: A, B, C.
Other detectable impurities (the following substances would, if present at a sufficient level, be detected by one or other of the tests in the monograph. They are limited by the general acceptance criterion for other/unspecified impurities and/or by the general monograph Substances for pharmaceutical use (2034). It is therefore not necessary to identify these impurities for demonstration of compliance. See also 5.10. Control of impurities in substances for pharmaceutical use) D, E.

A. (2S)-2-[(4S)-2-oxo-4-propylpyrrolidin-1-yl]butanamide,

B. (2R)-2-[(4S)-2-oxo-4-propylpyrrolidin-1-yl]butanamide ((R,S)-enantiomer of brivaracetam),

C. (2R)-2-[(4R)-2-oxo-4-propylpyrrolidin-1-yl]butanamide,

D. (2S)-2-[(4R)-2-oxo-4-propylpyrrolidin-1-yl]butanoic acid,

E. (2S)-2-[(4S)-2-oxo-4-propylpyrrolidin-1-yl]butanoic acid.






