Edition: BP 2025 (Ph. Eur. 11.6 update)
Action and use
Beta-adrenoceptor antagonist.
DEFINITION
Bisoprolol Tablets contain Bisoprolol Fumarate.
The tablets comply with the requirements stated under Tablets and with the following requirements.
Content of bisoprolol fumarate, (C18H31NO4)2,C4H4O4
90.0 to 105.0% of the stated amount.
IDENTIFICATION
A. Carry out the method for thin-layer chromatography, Appendix III A, using the following solutions.
(1) Dissolve a quantity of the powdered tablets containing 10 mg of Bisoprolol Fumarate in methanol, dilute to 10 mL with the same solvent, mix and filter (a 0.45-μm nylon syringe filter is suitable).
(2) 0.1% w/v of bisoprolol fumarate BPCRS in methanol.
CHROMATOGRAPHIC CONDITIONS
(a) Use as the coating silica gel F254.
(b) Use the mobile phase as described below and allow to equilibrate for 1 hour.
(c) Apply 25 μL of each solution.
(d) Develop the plate to 15 cm.
(e) After removal of the plate, dry in air and examine under ultraviolet light (254 nm).
MOBILE PHASE
20 volumes of methanol and 80 volumes of ethyl acetate. At the bottom of the chromatography tank, place a beaker containing 15 mL of concentrated ammonia.
CONFIRMATION
The principal spot in the chromatogram obtained with solution (1) corresponds in position to that in the chromatogram obtained with solution (2).
B. In the Assay, the retention time of the principal peak in the chromatogram obtained with solution (1) is similar to that of the principal peak in the chromatogram obtained with solution (2).
TESTS
Dissolution
Comply with the requirements in the dissolution test for tablets and capsules, Appendix XII B1.
TEST CONDITIONS
(a) Use Apparatus 2, rotating the paddle at 50 revolutions per minute.
(b) Use 900 mL of water, at a temperature of 37°, as the medium.
PROCEDURE
Solution A Prepare a solution containing 2.5 volumes of orthophosphoric acid, 5 volumes of triethylamine, 35 volumes of water and 160 volumes of methanol.
Carry out the method for liquid chromatography, Appendix III D, using the following solutions.
(1) After 45 minutes withdraw a sample of the medium, filter and dilute with sufficient of solution A to produce a solution expected to contain 0.0001% w/v of bisoprolol fumarate.
(2) 0.0002% w/v of bisoprolol fumarate BPCRS in water. Dilute 1 volume of this solution to 2 volumes with solution A.
CHROMATOGRAPHIC CONDITIONS
(a) Use a stainless steel column (3.3 cm × 4.6 mm) packed with octasilyl silica gel for chromatography (3 μm) (Pecosphere 3CR C8 is suitable).
(b) Use isocratic elution and the mobile phase described below.
(c) Use a flow rate of 1 mL per minute.
(d) Use an ambient column temperature.
(e) Use a detection wavelength of 227 nm.
(f) Inject 50 μL of each solution.
MOBILE PHASE
2 volumes of triethylamine, 68 volumes of methanol and 100 volumes of water, previously adjusted to pH 4.0 using orthophosphoric acid.
DETERMINATION OF CONTENT
Calculate the total content of bisoprolol fumarate, (C18H31NO4)2,C4H4O4, in the medium from the chromatograms obtained and using the declared content of (C18H31NO4)2,C4H4O4, in bisoprolol fumarate BPCRS.
LIMITS
The amount of bisoprolol fumarate released is not less than 75% (Q) of the stated amount.
Related substances
Carry out the method for liquid chromatography, Appendix III D, using the following solutions in a mixture of 2 volumes of acetonitrile and 8 volumes of water.
(1) Mix with the aid of ultrasound a quantity of the powdered tablets containing 10 mg of Bisoprolol Fumarate. Add sufficient solvent to produce a 0.1% w/v solution of Bisoprolol Fumarate and filter (0.45-μm nylon syringe filter is suitable).
(2) Dilute 1 volume of solution (1) to 100 volumes.
(3) Dilute 1 volume of solution (2) to 5 volumes.
(4) Dissolve the contents of a vial of bisoprolol for peak identification EPCRS in 1.0 mL.
(5) Dissolve the contents of a vial of bisoprolol for system suitability EPCRS in 1.0 mL.
(6) Dilute 1 volume of bisoprolol impurity standard BPCRS to 10 volumes.
CHROMATOGRAPHIC CONDITIONS
(a) Use a stainless steel column (25 cm × 4.6 mm) packed with end-capped octadecylsilyl silica gel for chromatography (5 μm) (Ace C18 is suitable).
(b) Use gradient elution and the mobile phase described below.
(c) Use a flow rate of 1 mL per minute.
(d) Use a column temperature of 20°.
(e) Use a detection wavelength of 225 nm.
(f) Inject 10 μL of each solution.
MOBILE PHASE
Mobile phase A 1% w/v solution of orthophosphoric acid.
Mobile phase B 1% w/v solution of orthophosphoric acid in acetonitrile R1.
| Time (Minutes) | Mobile phase A (1% v/v) | Mobile phase B (1% v/v) | Comment |
| 0-4 | 95 | 5 | isocratic |
| 4-8 | 95→80 | 5→20 | Linear gradient |
| 8-15 | 80 | 20 | isocratic |
| 15-34 | 80→20 | 20→80 | Linear gradient |
| 34-36 | 20 | 80 | isocratic |
| 36-37 | 20→95 | 80→5 | Linear gradient |
| 37-4695 | 95 | 5 | re-equilibration |
Use the chromatogram supplied with bisoprolol for peak identification EPCRS and the chromatogram obtained with solution (4) to identify the peaks due to fumaric acid and impurities A and E; use the chromatogram supplied with bisoprolol for system suitability EPCRS and the chromatogram obtained with solution (5) to identify the peak due to impurity G; use the chromatogram supplied with bisoprolol impurity standard BPCRS and the chromatogram obtained with solution (6) to identify the peaks due to impurities L, K and 1.
When the chromatograms are recorded under the prescribed conditions, the relative retentions with reference to bisoprolol (retention time about 22 minutes) are: impurity A, about 0.48; impurity L, about 0.55; impurity G, about 1.03; impurity K, about 1.05; impurity E, about 1.1; impurity 1, about 1.2 and impurity 2 (double peak), about 1.3.
SYSTEM SUITABILITY
The test is not valid unless, in the chromatogram obtained with solution (5), the peak-to-valley ratio is at least 2.5, where Hp is the height above the baseline of the peak due to impurity G and Hv is the height above the baseline of the lowest point of the curve separating this peak from the peak due to bisoprolol.
LIMITS
In the chromatogram obtained with solution (1):
the area of any peak corresponding to impurity K is not greater than 3 times the area of the principal peak in the chromatogram obtained with solution (2) (3%);
the area of any peak corresponding to impurity L is not greater than the area of the principal peak in the chromatogram obtained with solution (2) (1%);
the area of any peak corresponding to impurity 1 is not greater than 3 times the area of the principal peak in the chromatogram obtained with solution (3) (0.6%);
the area of any peaks corresponding to impurity 2 or G are not greater than half the area of the principal peak in the chromatogram obtained with solution (2) (0.5% of each);
the area of any peak corresponding to impurity A is not greater than 1.5 times the area of the principal peak in the chromatogram obtained with solution (3) (0.3%);
the area of any other secondary peak is not greater than the area of the principal peak in the chromatogram obtained with solution (3) (0.2%);
the sum of the areas of any secondary peaks, excluding the peaks due to impurity K and L, is not greater than 3 times the area of the principal peak in the chromatogram obtained with solution (2) (3%).
Disregard any peak with an area less than half the area of the principal peak in the chromatogram obtained with solution (3) (0.1%) and any peak due to fumaric acid.
Uniformity of content
Tablets containing less than 2 mg and/or less than 2% w/w of Bisoprolol Fumarate comply with the requirement stated under Tablets using the following method of analysis.
Carry out the method for liquid chromatography, Appendix III D, using the following solutions in the mobile phase.
(1) To one tablet add 20 mL and mix with the aid of ultrasound. Dilute to produce a solution containing 0.005% w/v of Bisoprolol Fumarate and filter (0.45-μm nylon syringe filter is suitable).
(2) 0.005% w/v of bisoprolol fumarate BPCRS.
CHROMATOGRAPHIC CONDITIONS
(a) Use a stainless steel column (25 cm × 4.0 mm) packed with octylsilyl silica gel for chromatography (5 μm) (LiChrospher RP-Select B is suitable).
(b) Use isocratic elution and the mobile phase described below.
(c) Use a flow rate of 1 mL per minute.
(d) Use a column temperature of 45°.
(e) Use a detection wavelength of 225 nm.
(f) Inject 20 μL of each solution.
MOBILE PHASE
0.5 volume of glacial acetic acid and 1000 volumes of 0.136% sodium acetate trihydrate in methanol (50%).
When the chromatograms are recorded under the prescribed conditions, the retention time of bisoprolol is about 5 minutes.
SYSTEM SUITABILITY
The assay is not valid unless, in the chromatogram obtained with solution (2), the symmetry factor of the peak due to bisoprolol is between 0.8 and 1.6.
DETERMINATION OF CONTENT
Calculate the content of (C18H31NO4)2,C4H4O4 in each tablet using the declared content of (C18H31NO4)2,C4H4O4 in bisoprolol fumarate BPCRS.
ASSAY
For tablets containing less than 2 mg and/or less than 2% w/w of Bisoprolol Fumarate
Use the average of the individual results determined in the test for Uniformity of content.
For tablets containing 2 mg or more and 2% w/w or more of Bisoprolol Fumarate
Weigh and powder 20 tablets. Carry out the method for liquid chromatography, Appendix III D, using the following solutions in mobile phase.
(1) To a quantity of the powdered tablets containing 25 mg of Bisoprolol Fumarate add 45 mL and mix with the aid of ultrasound. Dilute to produce a solution containing 0.005% w/v of Bisoprolol Fumarate and filter (a 0.45-μm nylon syringe filter is suitable).
(2) 0.005% w/v of bisoprolol fumarate BPCRS.
CHROMATOGRAPHIC CONDITIONS
The chromatographic conditions described under Uniformity of content may be used.
DETERMINATION OF CONTENT
Calculate the content of (C18H31NO4)2,C4H4O4 in the tablets using the declared content of (C18H31NO4)2,C4H4O4 in bisoprolol fumarate BPCRS.
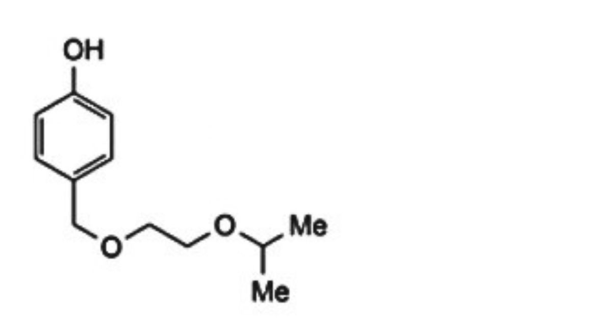
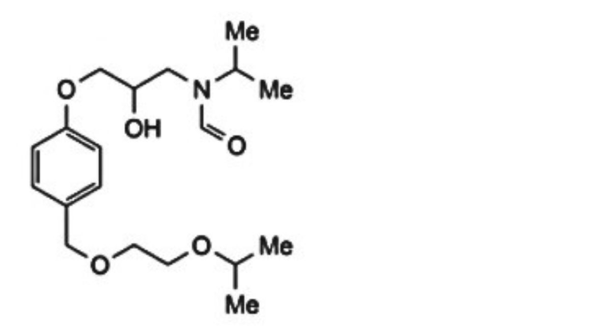
IMPURITIES
The impurities limited by the requirements of this monograph include those listed under Bisoprolol Fumarate and:

1. 4-{[2-(propan-2-yloxy)ethoxy]methyl}phenol

2. rac-N-(propan-2-yl)-N-{2-hydroxy-3-[(4-{[2-(propan-2-yloxy)ethoxy]methyl}phenyl)oxy]propyl}formamide (bisoprolol N-
aldehyde)






