(Ph. Eur. monograph 1069)
C40H56 536.9 7235-40-7
Action and use
Precursor of vitamin A.
DEFINITION
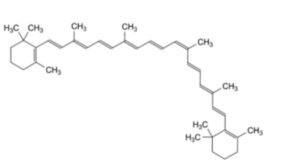
Main component 1,1′-[(1E,3E,5E,7E,9E,11E,13E,15E,17E)-3,7,12,16-tetramethyloctadeca-1,3,5,7,9,11,13,15,17-nonaene-1,18-diyl]bis(2,6,6-trimethylcyclohexene) (β,β-carotene, betacarotene, all-trans-betacarotene, all-E-betacarotene).
Content
95.0 per cent to 102.0 per cent (dried substance).
CHARACTERS
Appearance
Brown-red or brownish-red, crystalline powder.
Solubility
Practically insoluble in water, soluble in tetrahydrofuran, practically insoluble in anhydrous ethanol.
It is sensitive to air, heat and light, especially in solution.
IDENTIFICATION
Carry out all operations as rapidly as possible. Prepare the solutions immediately before use.
A. Ultraviolet and visible absorption spectrophotometry (2.2.25).
Test solution Dissolve 50.0 mg in tetrahydrofuran R and dilute to 100.0 mL with the same solvent. Dilute 10.0 mL of the solution to 50.0 mL with tetrahydrofuran R. Dilute 3.0 mL of this solution to 100.0 mL with cyclohexane R.
Absorption maximum 455 nm.
Shoulder About 427 nm.
Absorbance ratio A455/A483 = 1.14 to 1.18.
B. Examine the chromatograms obtained in the assay.
Results: The principal peak in the chromatogram obtained with the test solution is similar in retention time and size to the principal peak in the chromatogram obtained with reference solution (a).
TESTS
Carry out all operations as rapidly as possible. Prepare the solutions immediately before use.
Related substances: Liquid chromatography (2.2.29): use the normalisation procedure.
Stabilised tetrahydrofuran tetrahydrofuran R containing 0.25 g/L of butylhydroxytoluene R.
Test solution: Dissolve 50.0 mg of the substance to be examined in stabilised tetrahydrofuran and dilute to 200.0 mL with the same solvent. Dilute 5.0 mL of the solution to 100.0 mL with anhydrous ethanol R.
Reference solution (a): Dissolve 50.0 mg of betacarotene CRS in stabilised tetrahydrofuran and dilute to 200.0 mL with the same solvent. Dilute 5.0 mL of the solution to 100.0 mL with anhydrous ethanol R.
Reference solution (b:) Dissolve 5 mg of betacarotene for system suitability CRS (containing impurities C, D, E, G and H)in stabilised tetrahydrofuran and dilute to 20 mL with the same solvent. Dilute 1 mL of the solution to 20 mL with anhydrous ethanol R.
Reference solution (c): Dilute 1.0 mL of the test solution to 100.0 mL with stabilised tetrahydrofuran. Dilute 1.0 mL of this solution to 10.0 mL with anhydrous ethanol R.
Column:
— size: l = 0.25 m, Ø = 4.6 mm;
— stationary phase: amidoalkylsilyl silica gel for chromatography R (5 μm);
— temperature: 30 °C.
Mobile phase: Dissolve 50 mg of butylhydroxytoluene R in 20 mL of 2-propanol R, then add 0.2 mL of N,N-diisopropylethylamine R, 25 mL of a 2.0 g/L solution of ammonium acetate R, 455 mL of acetonitrile R and 450 mL of methanol R; warm to room temperature and dilute to 1000 mL with methanol R.
Flow rate: 0.6 mL/min.
Detection: Spectrophotometer at 448 nm.
Injection: 20 μL of the test solution and reference solutions (b) and (c).
Run time: 2.7 times the retention time of betacarotene.
Identification of impurities: Use the chromatogram supplied with betacarotene for system suitability CRS and the chromatogram obtained with reference solution (b) to identify the peaks due to impurities C, D, E, G and H.
Relative retention: With reference to betacarotene (retention time = about 28 min): impurity G = about 0.6; impurity C = about 0.95; impurity D = about 1.05; impurity E = about 1.15; impurity H = about 2.4.
System suitability: Reference solution (b):
— resolution: minimum 1.5 between the peaks due to impurity C and betacarotene;
— peak-to-valley ratio: minimum 1.5, where Hp = height above the baseline of the peak due to impurity D and Hv = height above the baseline of the lowest point of the curve separating this peak from the peak due to betacarotene.
Limits:
— impurity E: maximum 4.0 per cent;
— impurity D: maximum 2.0 per cent;
— impurity C: maximum 0.6 per cent;
— impurity G: maximum 0.4 per cent;
— impurity H: maximum 0.4 per cent;
— unspecified impurities: for each impurity, maximum 0.15 per cent;
— sum of impurities other than D and E: maximum 5.0 per cent;
— reporting threshold: 0.05 per cent (0.5 times the area of the principal peak in the chromatogram obtained with reference solution (c)).
The thresholds indicated under Related substances (Table 2034.-1) in the general monograph Substances for pharmaceutical use (2034) do not apply.
Loss on drying (2.2.32)
Maximum 0.2 per cent, determined on 1.000 g by drying in vacuo at 40 °C for 4 h.
Sulfated ash (2.4.14)
Maximum 0.1 per cent, determined on 2.0 g.
ASSAY
Liquid chromatography (2.2.29) as described in the test for related substances with the following modification:
Injection: Test solution and reference solution (a).
Calculate the percentage content of C40H56 taking into account the assigned content of betacarotene CRS.
STORAGE
In an airtight container, protected from light.
IMPURITIES
Specified impurities C, D, E, G, H.
Other detectable impurities (the following substances would, if present at a sufficient level, be detected by one or other of the tests in the monograph. They are limited by the general acceptance criterion for other/unspecified impurities. It is therefore not necessary to identify these impurities for demonstration of compliance. See also 5.10. Control of impurities in substances for pharmaceutical use) A, B, F.

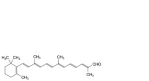
A. (2E,4E,6E,8E,10E,12E)-2,7,11-trimethyl-13-(2,6,6-trimethylcyclohex-1-en-1-yl)trideca-2,4,6,8,10,12-hexaenal (12′-apo-β-caroten-12′-al),

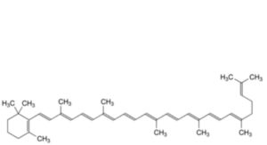
B. 1-[(1E,3E,5E,7E,9E,11E,13E,15E,17E,19E)-3,7,12,16,20,24-hexamethylpentacosa-1,3,5,7,9,11,13,15,17,19,23-undecaen-1-yl]-2,6,6-trimethylcyclohexene (β,Ψ-carotene, γ-carotene),

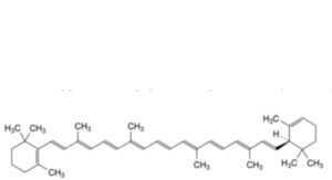
C. 1,3,3-trimethyl-2-[(1E,3E,5E,7E,9E,11E,13E,15E,17E)-3,7,12,16-tetramethyl-18-[(1R)-2,6,6-trimethylcyclohex-2-en-1-yl]octadeca-1,3,5,7,9,11,13,15,17-nonaen-1-yl]cyclohexene ((6′R)-β,ε-carotene, α-carotene),

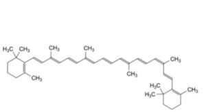
D. 1,1′-[(1E,3E,5E,7E,9E,11E,13E,15Z,17E)-3,7,12,16-tetramethyloctadeca-1,3,5,7,9,11,13,15,17-nonaene-1,18-diyl]bis(2,6,6-trimethylcyclohexene) (9-cis-β,β-carotene, 9-cis-betacarotene),

E. 1,1′-[(1E,3E,5E,7E,9E,11Z,13E,15E,17E)-3,7,12,16-tetramethyloctadeca-1,3,5,7,9,11,13,15,17-nonaene-1,18-diyl]bis(2,6,6-trimethylcyclohexene) (13-cis-β,β-carotene, 13-cis-betacarotene),

F. 1,1′-[(1E,3E,5E,7E,9Z,11E,13E,15E,17E)-3,7,12,16-tetramethyloctadeca-1,3,5,7,9,11,13,15,17-nonaene-1,18-diyl]bis(2,6,6-trimethylcyclohexene) (15-cis-β,β-carotene, 15-cis-betacarotene),
G. unknown structure (oxidation products),
H. unknown structure.






