Edition: BP 2025 (Ph. Eur. 11.6 update)
Action and use
Used topically in the treatment of acne.
DEFINITION
Benzoyl Peroxide and Clindamycin Gel contains Hydrous Benzoyl Peroxide and Clindamycin Phosphate in a suitable water-miscible basis.
The gel complies with the requirements stated under Topical Semi-solid Preparations and with the following requirements.
Content of anhydrous benzoyl peroxide, C14H10O4
90.0 to 110.0% of the stated amount.
Content of clindamycin, C18H33ClN2O5S
92.0 to 107.0% of the stated amount.
IDENTIFICATION
A. Carry out the method for thin-layer chromatography, Appendix III A, using the following solutions. (1) Shake a quantity of the gel being examined containing the equivalent of 50 mg of anhydrous benzoyl peroxide with 50 mL of dichloromethane. Add sufficient dichloromethane to produce 100 mL and filter.
(2) Dissolve a quantity of benzoyl peroxide containing 25 mg of anhydrous benzoyl peroxide in dichloromethane and dilute to 50 mL with the same solvent.
CHROMATOGRAPHIC CONDITIONS
(a) Use as the coating silica gel F254.
(b) Use the mobile phase as described below.
(c) Apply 5 μL of each solution.
(d) Develop the plate to 15 cm.
(e) After removal of the plate, allow it to dry in air and examine under ultraviolet light (254 nm).
MOBILE PHASE
1 volume of glacial acetic acid, 2 volumes of dichloromethane and 50 volumes of toluene.
CONFIRMATION
The principal spot in the chromatogram obtained with solution (1) corresponds to that in the chromatogram obtained with solution (2).
B. Carry out the method for thin-layer chromatography, Appendix III A, using the following solutions.
(1) Shake a quantity of the gel containing the equivalent of 20 mg of clindamycin with 5 mL of methanol. Add sufficient methanol to produce 10 mL and filter.
(2) 0.24% w/v of clindamycin phosphate BPCRS in methanol.
CHROMATOGRAPHIC CONDITIONS
(a) Use as the coating silica gel.
(b) Use the mobile phase as described below.
(c) Apply 5 μL of each solution.
(d) Develop the plate to 15 cm.
(e) After removal of the plate, dry at 100° to 105° for 30 minutes, allow it to cool and spray with a 0.1% w/v solution of potassium permanganate and examine in daylight.
MOBILE PHASE
20 volumes of glacial acetic acid, 20 volumes of water and 60 volumes of butan-1-ol.
CONFIRMATION
The principal spot in the chromatogram obtained with solution (1) corresponds to that in the chromatogram obtained with solution (2).
C. In the test for Related substances for benzoyl peroxide, the chromatogram obtained with solution (1) shows a peak with the same retention time as the principal peak in the chromatogram obtained with solution (5).
D. In the Assay for clindamycin, the chromatogram obtained with solution (1) shows a peak with the same retention time as the principal peak in the chromatogram obtained with solution (2).
Related substances
For benzoyl peroxide
Carry out the method for liquid chromatography, Appendix III D, using the following solutions.
(1) Shake a quantity of the gel containing the equivalent of 50 mg of anhydrous benzoyl peroxide with 50 mL of acetone, dilute to 100 mL with acetone and centrifuge. Dilute 1 volume of the supernatant liquid to 10 volumes with acetonitrile.
(2) Dilute 1 volume of solution (1) to 100 volumes with acetonitrile.
(3) 0.003% w/v of benzoic acid, 0.0003% w/v of ethyl benzoate and 0.0003% w/v of benzaldehyde in acetonitrile.
(4) Dilute 1 volume of solution (2) to 10 volumes with acetonitrile.
(5) 0.005% w/v of benzoyl peroxide in a mixture of 1 volume of acetone and 9 volumes of acetonitrile.
CHROMATOGRAPHIC CONDITIONS
(a) Use a stainless steel column (25 cm × 4.6 mm) packed with end-capped phenylethyl silica gel for chromatography (4 μm) (Phenomenex Synergi Polar RP is suitable) fitted with a suitable stainless steel guard column packed with octadecylsilyl silica gel for chromatography.
(b) Use gradient elution and the mobile phase described below.
(c) Use a flow rate of 1.3 mL per minute.
(d) Use a column temperature of 35°.
(e) Use a detection wavelength of 235 nm.
(f) Inject 10 μL of each solution.
MOBILE PHASE
Mobile phase A 0.00042% v/v orthophosphoric acid.
Mobile phase B acetonitrile.
| Time (Minutes) | Mobile phase A (% v/v) | Mobile phase B (% v/v) | Comment |
| 0-5 | 65 | 35 | isocratic |
| 5-15 | 65→15 | 35→85 | linear gradient |
| 15-18 | 15 | 85 | isocratic |
| 18-20 | 15→65 | 85→35 | linear gradient |
| 20-31 | 65 | 35 | re-equilibration |
When the chromatograms are recorded under the prescribed conditions the relative retentions with reference to benzoyl peroxide (retention time about 14 minutes) are: benzoic acid, about 0.3; benzaldehyde, about 0.5 and ethyl benzoate, about 0.8.
SYSTEM SUITABILITY
The test is not valid unless, in the chromatogram obtained with solution (3), the resolution between the peaks due to benzoic acid and benzaldehyde is at least 2.0.
LIMITS
Identify the peaks due to benzoic acid, benzaldehyde and ethyl benzoate using the chromatogram obtained with solution (3) and multiply the areas of these peaks by the corresponding correction factors: benzoic acid, 1.5; benzaldehyde, 1.7; and ethyl benzoate, 1.7.
In the chromatogram obtained with solution (1):
the area of any peak corresponding to benzoic acid is not greater than 5 times the area of the principal peak in the chromatogram obtained with solution (2) (5%);
the area of any other secondary peak is not greater than twice the area of the principal peak in the chromatogram obtained with solution (4) (0.2%);
the sum of the areas of all the secondary peaks excluding benzoic acid is not greater than twice the area of the principal peak in the chromatogram obtained with solution (2) (2%).
Disregard any peak with an area less than the area of the principal peak in the chromatogram obtained with solution (4) (0.1%).
For clindamycin
Carry out the method for liquid chromatography, Appendix III D, using the following solutions.
(1) 0.002% w/v of 2-phenoxyethanol (internal standard) in 0.1% v/v of trifluoroacetic acid.
(2) Shake a quantity of the gel containing the equivalent of 0.1 g of clindamycin with 30 mL of solution (1), dilute to 50 mL with solution (1) and filter.
(3) Disperse with the aid of ultrasound 0.15 g of clindamycin phosphate BPCRS and 0.25 g of benzoyl peroxide in 10 mL of water. Heat at 85° for 16 hours, filter and dilute 1 volume of the filtrate to 25 volumes with water.
CHROMATOGRAPHIC CONDITIONS
(a) Use a stainless steel column (10 cm × 4.6 mm) packed with octylsilyl silica gel for chromatography (5 μm) (Phenomenex Luna C8 is suitable).
(b) Use isocratic elution and the mobile phase described below.
(c) Use a flow rate of 0.5 mL per minute.
(d) Use a column temperature of 40°.
(e) Use a detection wavelength of 210 nm.
(f) Inject 10 μL of each solution.
(g) Allow the chromatography to proceed for twice the retention time of clindamycin.
MOBILE PHASE
0.1 volume of trifluoroacetic acid, 17 volumes of acetonitrile R1 and 83 volumes of water.
When the chromatograms are recorded under the prescribed conditions, the relative retentions with reference to clindamycin (retention time about 30 minutes) are: impurity A, about 0.1; impurity 1, about 0.28; impurity 2, about 0.36; impurity 3, about 0.38; impurity B, about 0.40; impurity 4, about 0.43; benzoic acid, about 0.7; impurity E, about 1.5.
SYSTEM SUITABILITY
The test is not valid unless the chromatogram obtained with solution (3) closely resembles the chromatogram supplied with clindamycin phosphate BPCRS.
LIMITS
In the chromatogram obtained with solution (2):
Identify the peaks corresponding to impurities A, 1, 2, 3 and 4 using the chromatogram obtained with solution (3). Multiply the heights of these peaks by the corresponding correction factors: impurity A, 0.2; impurity 1, 0.3; impurity 2, 0.4; impurity 3, 0.3; impurity 4, 0.4.
Calculate the ratio (R) of the height of the peak corresponding to clindamycin, to the height of the peak corresponding to the internal standard.
the ratio of the height of any peak corresponding to impurity 1 to the height of the peak due to the internal standard is not greater than 0.06R (6.0%);
the ratio of the height of any peak corresponding to impurity 2 to the height of the peak due to the internal standard is not greater than 0.02R (2.0%);
the ratio of the height of any peak corresponding to impurity 3 to the height of the peak due to the internal standard is not greater than 0.09R (9.0%);
the ratio of the height of any other secondary peak to the height of the internal standard is not greater than 0.01R (1.0%);
the sum of the ratios of the heights of all secondary peaks to the height of the internal standard is not greater than 0.15R (15.0%);
Disregard any secondary peak where the ratio of the height of the peak is less than 0.01R (1.0%).
ASSAY
For benzoyl peroxide
Mix, with the aid of ultrasound, a weighed quantity of the gel containing the equivalent of 10 mg of anhydrous benzoyl peroxide with 5 mL of dimethylformamide and 25 mL of acetone. Add 5 mL of a 50% w/v solution of potassium iodide. Titrate with 0.1M sodium thiosulfate VS using starch solution, added towards the end of the titration, as indicator. Carry out a blank titration using 5 mL of dimethylformamide and 25 mL of acetone. The difference between the titrations represents the amount of sodium thiosulfate required. Each mL of 0.1M sodium thiosulfate VS is equivalent to 12.11 mg of C14H10O4.
For clindamycin
Carry out the method for liquid chromatography, Appendix III D, using the following solutions.
(1) 0.002% w/v of 2-phenoxyethanol (internal standard) in 0.1% v/v trifluoroacetic acid.
(2) Shake a quantity of the gel containing the equivalent of 10 mg of clindamycin with 30 mL of solution (1), dilute to 50 mL with solution (1) and filter.
(3) 0.024% w/v of clindamycin phosphate BPCRS.
(4) Disperse with the aid of ultrasound, 0.15 g of clindamycin phosphate BPCRS and 0.25 g of benzoyl peroxide in 10 mL of water. Heat at 85° for 16 hours, filter and dilute 1 volume of the filtrate to 25 volumes with water.
CHROMATOGRAPHIC CONDITIONS
The chromatographic conditions described under Related substances may be used.
SYSTEM SUITABILITY
The test is not valid unless the chromatogram obtained with solution (4) closely resembles the chromatogram supplied with clindamycin phosphate BPCRS.
DETERMINATION OF CONTENT
Calculate the content of C18H33ClN2O5S in the gel from the chromatograms obtained and from the declared content of C18H34ClN2O8PS in clindamycin phosphate BPCRS. Each mg of C18H34ClN2O8PS is equivalent to 0.8416 mg of C18H33ClN2O5S.
STORAGE
Benzoyl Peroxide and Clindamycin Gel should be stored at a temperature of 2° to 8°. It should not be allowed to freeze.
LABELLING
The content of Hydrous Benzoyl Peroxide is stated in terms of the equivalent amount of anhydrous benzoyl peroxide.
The content of Clindamycin Phosphate is stated in terms of the equivalent amount of clindamycin.
IMPURITIES
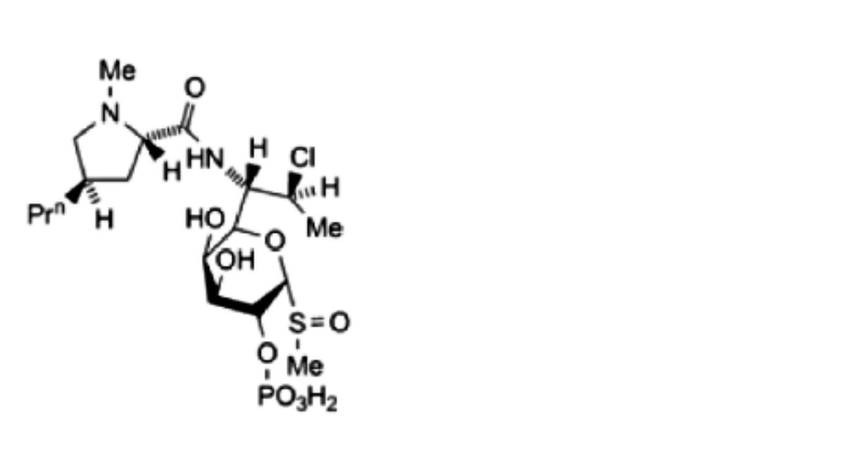
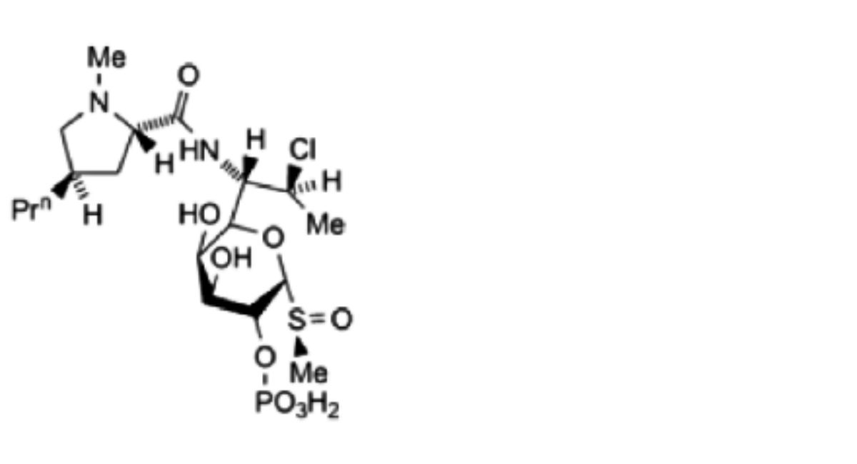
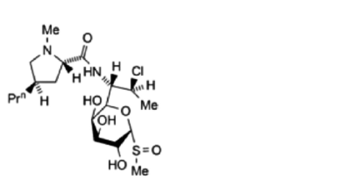
The impurities limited by the requirements of this monograph include impurities listed under Hydrous Benzoyl Peroxide, impurities A, B and E listed under Clindamycin Phosphate and the following:

1. [(2R,3R,4S,5R,6R)-6-[(1S,2S)-2-Chloro-1-{[(2S,4R)-1-methyl-4-propylpyrrolidin-2-yl]formamido]propyl]-4,5-dihydroxy-2- [(R)-methanesulfinyl]oxan-3-yl dihydrogen phosphate
2. Sulphoxide Steroisomer

3. [(2R,3R,4S,5R,6R)-6-[(1S,2S)-2-Chloro-1-{[(2S,4R)-1-methyl-4-propylpyrrolidin-2-yl]formamido]propyl]-4,5-dihydroxy-2- [(S)-methanesulfinyl]oxan-3-yl dihydrogen phosphate

4. (2S,4R)-N-{(1S,2S)-2-Chloro-1-[(2R,3R,4S,5R,6R)-3,4,5-trihydroxy-6-[(ξ)-methanesulfinyl]oxan-2-yl}propyl-1-methyl-4-propylpyrroliin-2-carboxamide






