(Ph. Eur. monograph 1709)
C28H37ClO7,H2O 539.1
Action and use
Glucocorticoid.
Preparations
Beclometasone Aqueous Nasal Spray
Beclometasone Inhalation Powder
Beclometasone Inhalation Powder, pre-metered
DEFINITION
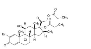
9-Chloro-11β-hydroxy-16β-methyl-3,20-dioxopregna-1,4-diene-17,21-diyl dipropanoate monohydrate.
Content
97.0 per cent to 102.0 per cent (dried substance).
CHARACTERS
Appearance
White or almost white powder.
Solubility
Beclometasone Dipropionate Monohydrate
Practically insoluble in water, freely soluble in acetone, sparingly soluble in ethanol (96 per cent).
IDENTIFICATION
A. Infrared absorption spectrophotometry (2.2.24).
Comparison beclometasone dipropionate monohydrate CRS.
B. Treat 25 mg by the oxygen-flask method (2.5.10). Use a mixture of 1 mL of 1 M sodium hydroxide and 20 mL of water R to absorb the combustion products. The solution gives reaction (a) of chlorides (2.3.1).
C. Loss on drying (see Tests).
TESTS
Specific optical rotation (2.2.7)
+ 108 to + 115 (dried substance).
Dissolve 0.100 g in ethanol (96 per cent) R and dilute to 10.0 mL with the same solvent.
Related substances
Liquid chromatography (2.2.29).
Solvent mixture Mobile phase A, mobile phase B (45:55 V/V).
Test solution (a): Dissolve 50.0 mg of the substance to be examined in 28 mL of mobile phase B and dilute to 50.0 mL with mobile phase A.
Test solution (b): Dilute 1.0 mL of test solution (a) to 50.0 mL with the solvent mixture.
Reference solution (a): Dilute 5.0 mL of test solution (b) to 100.0 mL with the solvent mixture.
Reference solution (b): Dissolve 5 mg of beclometasone dipropionate for system suitability CRS (containing impurity D) in 3 mL of mobile phase B and dilute to 5 mL with mobile phase A.
Reference solution (c): Dissolve 5 mg of beclometasone dipropionate for peak identification CRS (containing impurities B, C and L) in 3 mL of mobile phase B and dilute to 5 mL with mobile phase A. Use 1 mL of this solution to dissolve the contents of a vial of beclometasone dipropionate impurities F and N CRS.
Reference solution (d): Dissolve 50.0 mg of anhydrous beclometasone dipropionate CRS in 28 mL of mobile phase B and dilute to 50.0 mL with mobile phase A. Dilute 1.0 mL of this solution to 50.0 mL with the solvent mixture.
Column:
— size: l = 0.25 m, Ø = 4.6 mm;
— stationary phase: spherical difunctional bonded end-capped octadecylsilyl silica gel for chromatography R (5 μm);
— temperature: 50 °C.
Mobile phase:
— mobile phase A: 2.72 g/L solution of potassium dihydrogen phosphate R adjusted to pH 2.35 with phosphoric acid R;
— mobile phase B: tetrahydrofuran R, acetonitrile R, methanol R (5:23:25 V/V/V);
| Time (min) |
Mobile phase A (per cent V/V) |
Mobile phase B (per cent V/V) |
| 0 – 4 | 40 | 60 |
| 4 – 12 | 40 → 45 | 60 → 55 |
| 12 – 59 | 45 | 55 |
Flow rate: 1.4 mL/min.
Detection: Spectrophotometer at 254 nm.
Injection 20 μl of test solution (a) and reference solutions (a), (b) and (c).
Identification of impurities: Use the chromatogram supplied with beclometasone dipropionate for peak identification CRS and the chromatogram obtained with reference solution (c) to identify the peaks due to impurities B, C, F and L; use the chromatogram supplied with beclometasone dipropionate for system suitability CRS and the chromatogram obtained with reference solution (b) to identify the peak due to impurity D.
Relative retention With reference to beclometasone dipropionate (retention time = about 25 min): impurity B = about 0.6; impurity D = about 1.1; impurity L = about 1.3; impurity C = about 1.8; impurity F = about 2.2.
System suitability Reference solution (b):
— peak-to-valley ratio: minimum 1.5, where Hp = height above the baseline of the peak due to impurity D and Hv = height above the baseline of the lowest point of the curve separating this peak from the peak due to
beclometasone dipropionate.
Limits:
— correction factor: for the calculation of content, multiply the peak area of impurity F by 1.3;
— impurity B: not more than 5 times the area of the principal peak in the chromatogram obtained with reference
solution (a) (0.5 per cent);
— impurities C, F, L: for each impurity, not more than 1.5 times the area of the principal peak in the chromatogram obtained with reference solution (a) (0.15 per cent);
— unspecified impurities: for each impurity, not more than the area of the principal peak in the chromatogram obtained with reference solution (a) (0.10 per cent);
— total: not more than 10 times the area of the principal peak in the chromatogram obtained with reference
solution (a) (1.0 per cent);
— disregard limit: 0.5 times the area of the principal peak in the chromatogram obtained with reference solution (a) (0.05 per cent).
Loss on drying (2.2.32)
2.8 per cent to 3.8 per cent, determined on 1.000 g by drying in an oven at 105 °C for 3 h.
ASSAY
Liquid chromatography (2.2.29) as described in the test for related substances with the following modification.
Injection Test solution (b) and reference solution (d).
Calculate the percentage content of C28H37ClO7 from the declared content of anhydrous beclometasone dipropionate CRS.
IMPURITIES
Specified impurities B, C, F, L.
Other detectable impurities (the following substances would, if present at a sufficient level, be detected by one or other of the tests in the monograph. They are limited by the general acceptance criterion for other/unspecified impurities and/or by the general monograph Substances for pharmaceutical use (2034). It is therefore not necessary to identify these impurities for demonstration of compliance. See also 5.10. Control of impurities in substances for pharmaceutical use) A, D, E, H, I, J, M, N, O, Q, R, S, U, V.

A. 9-chloro-11β,17-dihydroxy-16β-methyl-3,20-dioxopregna-1,4-dien-21-yl propanoate (beclometasone 21-propionate),

B. 21-(acetyloxy)-9-chloro-11β-hydroxy-16β-methyl-3,20-dioxopregna-1,4-dien-17-yl propanoate (beclometasone 21-acetate 17-propionate),

C. 9-chloro-11β-hydroxy-16β-methyl-3,20-dioxo-17-(propanoyloxy)-pregna-1,4-dien-21-yl butanoate (beclometasone 21-butyrate 17-propionate),

D. 9-bromo-11β-hydroxy-16β-methyl-3,20-dioxopregna-1,4-diene-17,21-diyl dipropanoate,

E. 6α,9-dichloro-11β-hydroxy-16β-methyl-3,20-dioxopregna-1,4-diene-17,21-diyl dipropanoate,

F. 6α-bromo-9-chloro-11β-hydroxy-16β-methyl-3,20-dioxopregna-1,4-diene-17,21-diyl dipropanoate,

H. 9-chloro-11β,21-dihydroxy-16β-methyl-3,20-dioxopregna-1,4-dien-17-yl propanoate (beclometasone 17-propionate),

I. 16β-methyl-3,20-dioxopregna-1,4,9(11)-triene-17,21-diyl dipropanoate,

J. 9,11β-epoxy-16β-methyl-3,20-dioxo-9β-pregna-1,4-diene-17,21-diyl dipropanoate,

L. 9-chloro-11β-hydroxy-16β-methyl-3,20-dioxopregn-4-ene-17,21-diyl dipropanoate,

M. 9-chloro-11β-hydroxy-16β-methyl-3,20-dioxopregna-4,6-diene-17,21-diyl dipropanoate,

N. 2-bromo-9-chloro-11β-hydroxy-16β-methyl-3,20-dioxopregna-1,4-diene-17,21-diyl dipropanoate,

O. 9,11β-dichloro-16β-methyl-3,20-dioxopregna-1,4-diene-17,21-diyl dipropanoate,

Q. 16β-methyl-3,20-dioxopregna-1,4-diene-17,21-diyl dipropanoate,

R. 9,11β-epoxy-17,21-dihydroxy-16β-methyl-9β-pregna-1,4-diene-3,20-dione,

S. 9-chloro-16β-methyl-3,20-dioxopregna-1,4-diene-11β,17,21-triyl tripropanoate (beclometasone tripropionate),

U. 9,11β-epoxy-21-hydroxy-16β-methyl-3,20-dioxo-9β-pregna-1,4-dien-17-yl propanoate,

V. 9,11β-epoxy-17-hydroxy-16β-methyl-3,20-dioxo-9β-pregna-1,4-dien-21-yl propanoate.






