(Ph. Eur. monograph 1975)
Action and use
Excipient.
DEFINITION
Copolymer of 2-(dimethylamino)ethyl methacrylate, butyl methacrylate and methyl methacrylate having a mean relative molecular mass of about 47 000.
The ratio of 2-(dimethylamino)ethyl methacrylate groups to butyl methacrylate and methyl methacrylate groups is about 2:1:1.
Content of (dimethylamino)ethyl groups 20.8 per cent to 25.5 per cent (dried substance).
CHARACTERS
Appearance
Colourless or yellowish granules or white or almost white powder, slightly hygroscopic.
Solubility
Practically insoluble in water, freely soluble in methylene chloride. It dissolves slowly in ethanol (96 per cent).
IDENTIFICATION
A. Infrared absorption spectrophotometry (2.2.24).
Comparison basic butylated methacrylate copolymer CRS.
B. It complies with the limits of the assay.
TESTS
Solution S
Dissolve 12.5 g in a mixture of 35.0 g of acetone R and 52.5 g of 2-propanol R.
Viscosity (2.2.10)
3 mPa·s to 6 mPa·s, determined on solution S.
Apparatus: Rotating viscometer.
Dimensions:
— spindle: diameter = 25.15 mm, height = 90.74 mm, shaft diameter = 4 mm;
— cylinder: diameter = 27.62 mm, height = 0.135 m.
Rotating speed: 30 r/min.
Volume of solution: 16 mL of solution S.
Temperature: 20 °C.
Absorbance (2.2.25)
Maximum 0.30 at 420 nm, determined on solution S.
Appearance of a film
Spread 1.0 mL of solution S evenly on a glass plate. Upon drying a clear film is formed.
Monomers
Maximum 0.1 per cent for each monomer (butyl methacrylate, methyl methacrylate and 2- (dimethylamino)ethyl methacrylate), determined by procedures A and B.
A. Butyl methacrylate and methyl methacrylate. Liquid chromatography (2.2.29).
Solvent mixture: acetonitrile R1, phosphate buffer solution pH 2.0 R (40:60 V/V).
Test solution: Dissolve 1.00 g of the substance to be examined in the solvent mixture and dilute to 50.0 mL with the solvent mixture.
Reference solution: Dissolve 20.0 mg of butyl methacrylate CRS (impurity A) and 10.0 mg of methyl methacrylate CRS (impurity B) in 3.0 mL of butanol R and dilute to 10.0 mL with the solvent mixture. Dilute
1.0 mL of the solution to 250.0 mL with the solvent mixture.
Column:
— size: l = 0.125 m, Ø = 4.6 mm;
— stationary phase: end-capped octadecylsilyl silica gel for chromatography R (7 μm).
Mobile phase: phosphate buffer solution pH 2.0 R, methanol R2 (45:55 V/V).
Flow rate: 2.0 mL/min.
Detection: Spectrophotometer at 205 nm.
Injection: 50 μL.
System suitability: Reference solution:
— resolution: minimum 5 between the peaks due to impurities A and B.
Calculate the percentage contents of impurities A and B using the following expression:

C = concentration of the monomer in the reference solution, in micrograms per millilitre;
M = mass of substance to be examined in the test solution, in grams;
AT = area of the peak due to the monomer in the chromatogram obtained with the test solution;
AR = area of the peak due to the monomer in the chromatogram obtained with the reference solution.
B. 2-(Dimethylamino)ethyl methacrylate. Liquid chromatography (2.2.29).
Test solution: Dissolve 1.00 g of the substance to be examined in tetrahydrofuran R and dilute to 50.0 mL with the same solvent.
Reference solution: Dissolve 10.0 mg of 2-(dimethylamino)ethyl methacrylate CRS (impurity C) in tetrahydrofuran R and dilute to 50.0 mL with the same solvent. Dilute 2.0 mL of the solution to 50.0 mL with tetrahydrofuran R.
Column:
— size: l = 0.125 m, Ø = 4.6 mm;
— stationary phase: aminopropylsilyl silica gel for chromatography R (7 μm).
Mobile phase: Mix 25 volumes of a 3.404 g/L solution of potassium dihydrogen phosphate R and 75 volumes of tetrahydrofuran R.
Flow rate: 2.0 mL/min.
Detection: Spectrophotometer at 215 nm.
Injection: 50 μL.
Calculate the percentage content of impurity C as described under procedure A.
Loss on drying (2.2.32)
Maximum 2.0 per cent, determined on 1.000 g by drying in an oven at 110 °C for 3 h.
Sulfated ash (2.4.14)
Maximum 0.1 per cent, determined on 1.0 g.
ASSAY
Dissolve 0.200 g in a mixture of 4 mL of water R and 96 mL of anhydrous acetic acid R. Titrate with 0.1 M perchloric acid, determining the end-point potentiometrically (2.2.20).
1 mL of 0.1 M perchloric acid is equivalent to 7.21 mg of C4H10N.
STORAGE
In an airtight container.
IMPURITIES

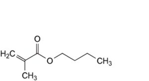
A. butyl 2-methylprop-2-enoate (butyl methacrylate),

B. methyl 2-methylprop-2-enoate (methyl methacrylate),

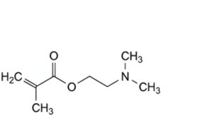
C. 2-(dimethylamino)ethyl 2-methylprop-2-enoate (2-(dimethylamino)ethyl methacrylate).
FUNCTIONALITY-RELATED CHARACTERISTICS
This section provides information on characteristics that are recognised as being relevant control parameters for one or more functions of the substance when used as an excipient (see chapter 5.15). Some of the characteristics described in the Functionality-related characteristics section may also be present in the mandatory part of the monograph since they also represent mandatory quality criteria. In such cases, a cross-reference to the tests described in the mandatory part is included in the Functionality-related characteristics section. Control of the characteristics can contribute to the quality of a medicinal product by improving the consistency of the manufacturing process and the performance of the medicinal product during use. Where control methods are cited, they are recognised as being suitable for the purpose, but other methods can also be used. Wherever results for a particular characteristic are reported, the control method must be indicated.
The following characteristics may be relevant for basic butylated methacrylate copolymer used as film former in tablets.
Viscosity
(see Tests).
Appearance of a film
(see Tests).
Solubility of a film
Take the film obtained in the test for appearance of a film (see Tests), place it in a flask containing a 10.3 g/L solution of hydrochloric acid R and stir. It dissolves within 1 h. Take another film, place it in a flask containing phosphate buffer solution pH 6.8 R and stir. It does not dissolve within 2 h.






