(Ph. Eur. monograph 1293)
C18H30ClN3O5 403.9 81732-46-9
Action and use
Beta2-adrenoceptor agonist; bronchodilator.
DEFINITION
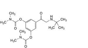
5-[(1RS)-2-(tert-Butylamino)-1-hydroxyethyl]-1,3-phenylene bis(dimethylcarbamate) hydrochloride.
Content
98.5 per cent to 101.5 per cent (anhydrous substance).
CHARACTERS
Appearance
White or almost white, crystalline powder.
Solubility
Freely soluble in water, soluble in ethanol (96 per cent), practically insoluble in heptane.
It shows polymorphism (5.9).
IDENTIFICATION
A. Infrared absorption spectrophotometry (2.2.24).
Comparison bambuterol hydrochloride CRS.
If the spectra obtained show differences, dissolve the substance to be examined and the reference substance separately
in a mixture of 1 volume of water R and 6 volumes of acetone R, cool in ice to precipitate and dry both precipitates in vacuo at 50 °C to constant weight.
Record new spectra using the residues.
B. It gives reaction (a) of chlorides (2.3.1).
TESTS
Solution S
Dissolve 4.0 g in carbon dioxide-free water R and dilute to 20.0 mL with the same solvent.
Acidity or alkalinity
To 10 mL of solution S add 0.2 mL of methyl red solution R and 0.2 mL of 0.01 M hydrochloric acid. The solution is red.
Add 0.4 mL of 0.01 M sodium hydroxide. The solution is yellow.
Optical rotation (2.2.7)
-0.10° to + 0.10°.
Dilute 1 mL of solution S to 10 mL with carbon dioxide-free water R.
Related substances
Liquid chromatography (2.2.29).
0.050 M phosphate buffer solution Dissolve 6.90 g of sodium dihydrogen phosphate monohydrate R in water for chromatography R, adjust to pH 3.0 with a 50 g/L solution of dilute phosphoric acid R and dilute to 1000 mL with water for chromatography R.
Test solution: Dissolve 5.0 mg of the substance to be examined in the mobile phase and dilute to 10.0 mL with the mobile phase.
Reference solution (a): Dissolve the contents of a vial of bambuterol impurity mixture CRS (impurities C and D) in 1 mL of the mobile phase.
Reference solution (b): Dilute 1.0 mL of the test solution to 100.0 mL with the mobile phase. Dilute 1.0 mL of this solution to 10.0 mL with the mobile phase.
Column:
— size: l = 0.15 m, Ø = 4.6 mm;
— stationary phase: base-deactivated end-capped octadecylsilyl silica gel for chromatography R (5 μm).
Mobile phase: Dissolve 1.3 g of sodium octanesulfonate R in 430 mL of a mixture of 25 volumes of acetonitrile R1 and 75 volumes of methanol R2, then mix the solution with 570 mL of the 0.050 M phosphate buffer solution.
Flow rate: 1.5 mL/min.
Detection: Spectrophotometer at 214 nm.
Injection: 20 μL; inject the mobile phase as a blank.
Run time: 1.5 times the retention time of bambuterol.
Identification of impurities: Use the chromatogram supplied with bambuterol impurity mixture CRS and the chromatogram obtained with reference solution (a) to identify the peaks due to impurities C and D.
Relative retention: With reference to bambuterol (retention time = about 9 min): impurity C = about 0.45; impurity D = about 0.50.
System suitability: Reference solution (a):
— resolution: minimum 2.0 between the peaks due to impurities C and D.
Calculation of percentage contents:
— for each impurity, use the concentration of bambuterol hydrochloride in reference solution (b).
Limits:
— impurity C: maximum 0.2 per cent;
— unspecified impurities: for each impurity, maximum 0.10 per cent;
— total: maximum 0.4 per cent;
— reporting threshold: 0.05 per cent.
Water (2.5.12)
Maximum 0.5 per cent, determined on 0.500 g.
Sulfated ash (2.4.14)
Maximum 0.1 per cent, determined on 1.0 g.
ASSAY
Dissolve 0.320 g in 50 mL of ethanol (96 per cent) R and add 5 mL of 0.01 M hydrochloric acid. Carry out a potentiometric titration (2.2.20), using 0.1 M sodium hydroxide. Read the volume added between the 2 points of inflexion.
1 mL of 0.1 M sodium hydroxide is equivalent to 40.39 mg of C18H30ClN3O5.
IMPURITIES
Specified impurities C.
Other detectable impurities (the following substances would, if present at a sufficient level, be detected by one or other of the tests in the monograph. They are limited by the general acceptance criterion for other/unspecified impurities and/or by the general monograph Substances for pharmaceutical use (2034).
It is therefore not necessary to identify these impurities for demonstration of compliance. See also 5.10. Control of impurities in substances for pharmaceutical use) A, B, D, E, F.

A. 5-[(1RS)-2-(tert-butylamino)-1-hydroxyethyl]benzene-1,3-diol (terbutaline),

B. 5-[(1RS)-1,2-dihydroxyethyl]-1,3-phenylene bis(dimethylcarbamate),

C. 3-[(1RS)-2-(tert-butylamino)-1-hydroxyethyl]-5-hydroxyphenyl dimethylcarbamate,

D. 5-[(1RS)-1-hydroxyethyl]-1,3-phenylene bis(dimethylcarbamate),

E. 5-acetyl-1,3-phenylene bis(dimethylcarbamate),

F. 5-[(tert-butylamino)acetyl]-1,3-phenylene bis(dimethylcarbamate).






