(Ph. Eur. monograph 2898)
C38H54N6O11S 803 229975-97-7
Action and use
Antiviral (HIV).
DEFINITION
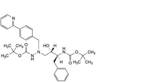
Methyl [(5S,10S,11S,14S)-11-benzyl-5-tert-butyl-10-hydroxy-15,15-dimethyl-3,6,13-trioxo-8-[[4-(pyridin-2-yl)phenyl]methyl]-2-oxa-4,7,8,12 tetraazahexadecan-14-yl]carbamate sulfate.
Content
98.0 per cent to 102.0 per cent (anhydrous substance).
CHARACTERS
Appearance
White or pale yellow, slightly hygroscopic, crystalline powder that may contain agglomerates.
Solubility
Slightly soluble in water, freely soluble in ethanol (96 per cent), practically insoluble in heptane.
IDENTIFICATION
A. Specific optical rotation (see Tests).
B. Infrared absorption spectrophotometry (2.2.24).
Comparison: atazanavir sulfate CRS.
C. It gives reaction (a) of sulfates (2.3.1).
TESTS
Specific optical rotation (2.2.7)
-44 to -40 (anhydrous substance), measured at 25 °C.
Dissolve 0.100 g in 8 mL of methanol R, using sonication if necessary, and dilute to 10.0 mL with the same solvent.
Related substances
Liquid chromatography (2.2.29).
Solvent mixture: Mix equal volumes of acetonitrile R1 and a freshly prepared 2.73 g/L solution of potassium dihydrogen phosphate R in water for chromatography R previously adjusted to pH 3.5 with dilute phosphoric acid R.
Test solution (a): Dissolve 20.0 mg of the substance to be examined in 40 mL of the solvent mixture, sonicate for 3 minand dilute to 50.0 mL with the solvent mixture.
Test solution (b): Dissolve 50.0 mg of the substance to be examined in 40 mL of the solvent mixture, sonicate for 3 min and dilute to 50.0 mL with the solvent mixture.
Reference solution (a): Dissolve 20.0 mg of atazanavir sulfate CRS in 40 mL of the solvent mixture, sonicate for 3 min and dilute to 50.0 mL with the solvent mixture.
Reference solution (b): Dilute 1.0 mL of test solution (a) to 100.0 mL with the solvent mixture. Dilute 1.0 mL of this solution to 10.0 mL with the solvent mixture.
Reference solution (c): Dissolve 4 mg of atazanavir for system suitability CRS (containing impurity F) in 8 mL of the solvent mixture, sonicate for 3 min and dilute to 10 mL with the solvent mixture.
Reference solution (d): Dissolve 2.0 mg of atazanavir impurity K CRS in 9 mL of the solvent mixture, sonicate for 3 min and dilute to 10.0 mL with the solvent mixture. Dilute 5.0 mL of the solution to 100.0 mL with the solvent mixture. Dilute 3.0 mL of this solution to 20.0 mL with the solvent mixture.
Column:
— size: l = 0.15 m, Ø = 4.6 mm;
— stationary phase: end-capped octadecylsilyl silica gel for chromatography R (3.0 μm);
— temperature: 25 °C.
Mobile phase:
— mobile phase A: mix 25 volumes of acetonitrile R1 and 75 volumes of a freshly prepared 2.73 g/L solution of potassium dihydrogen phosphate R previously adjusted to pH 3.5 with dilute phosphoric acid R;
— mobile phase B: mix 25 volumes of a freshly prepared 2.73 g/L solution of potassium dihydrogen phosphate R previously adjusted to pH 3.5 with dilute phosphoric acid R, and 75 volumes of acetonitrile R1;
| Time
(min) |
Mobile phase A
(per cent V/V) |
Mobile phase B
(per cent V/V) |
| 0 – 5 | 100 | 0 |
| 5 – 45 | 100 → 0 | 0 → 100 |
Flow rate: 1.0 mL/min.
Detection: Spectrophotometer at 215 nm.
Injection: 10 μL of test solution (a) and reference solutions (b) and (c).
Identification of impurities: Use the chromatogram supplied with atazanavir for system suitability CRS and thenchromatogram obtained with reference solution (c) to identify the peak due to impurity F.
Relative retention: With reference to atazanavir (retention time = about 30 min): impurity F = about 0.99.
System suitability: Reference solution (c):
— resolution: minimum 1.5 between the peaks due to impurity F and atazanavir.
Calculation of percentage contents:
— for each impurity, use the concentration of atazanavir sulfate in reference solution (b).
Limits:
— unspecified impurities: for each impurity, maximum 0.10 per cent;
— total: maximum 0.5 per cent;
— reporting threshold: 0.05 per cent; disregard any peak with a relative retention with reference to atazanavir of less
than 0.2.
Impurity K
Liquid chromatography (2.2.29) as described in the test for related substances with the following modifications.
Mobile phase:
| Time
(min) |
Mobile phase A
(per cent V/V) |
Mobile phase B
(per cent V/V) |
| 0 – 5 | 95 | 5 |
| 5 – 8 | 95 → 0 | 5 → 100 |
| 8 – 14 | 0 | 100 |
Injection: 20 μL of test solution (b) and reference solution (d).
Identification of impurities: Use the chromatogram obtained with reference solution (d) to identify the peak due to impurity K.
Relative retention: With reference to atazanavir (retention time = about 10 min): impurity K = about 0.4.
Calculation of percentage content:
— for impurity K, use the concentration of impurity K in reference solution (d).
Limit:
— impurity K: maximum 0.15 per cent.
Water (2.5.32)
Maximum 2.5 per cent, determined on 0.100 g by direct sample introduction.
Sulfated ash (2.4.14)
Maximum 0.2 per cent, determined on 1.0 g.
ASSAY
Liquid chromatography (2.2.29) as described in the test for related substances with the following modifications.
Mobile phase: Solvent mixture.
Injection: Test solution (a) and reference solutions (a) and (c).
Run time: 1.6 times the retention time of atazanavir.
Relative retention: With reference to atazanavir (retention time = about 9.5 min): impurity F = about 0.94.
System suitability: Reference solution (c):
— resolution: minimum 1.5 between the peaks due to impurity F and atazanavir.
Calculate the percentage content of C38H54N6O11S using the chromatogram obtained with reference solution (a) and taking into account the assigned content of atazanavir sulfate CRS.
STORAGE
In an airtight container.
IMPURITIES
Specified impurities K.
Other detectable impurities (the following substances would, if present at a sufficient level, be detected by one or other of the tests in the monograph. They are limited by the general acceptance criterion for other/unspecified impurities and/or by the general monograph Substances for pharmaceutical use (2034).
It is therefore not necessary to identify these impurities for demonstration of compliance. See also 5.10. Control of impurities in substances for pharmaceutical use) A, B, C, D, E, F, G, H, I, J.

A. 4-(pyridin-2-yl)benzoic acid,

B. 4-(pyridin-2-yl)benzaldehyde,

C. methyl [(5S,10S,11S,14S)-11-benzyl-5-tert-butyl-10-hydroxy-15,15-dimethyl-3,6,13-trioxo-2-oxa-4,7,8,12-tetraazahexadecan-14-yl]carbamate,

D. (2S,3S)-3-amino-4-phenyl-1-[(E)-1-[[4-(pyridin-2-yl)phenyl]methyl]-2-[[4-(pyridin-2-yl)phenyl]methylidene]hydrazin-1-yl]butan-2-ol,

E. methyl [(5S,10R,11S,14S)-11-benzyl-5-tert-butyl-10-hydroxy-15,15-dimethyl-3,6,13-trioxo-8-[[4-(pyridin-2-yl)phenyl]methyl]-2-oxa-4,7,8,12-tetraazahexadecan-14-yl]carbamate,

F. methyl [(5R,10S,11S,14S)-11-benzyl-5-tert-butyl-10-hydroxy-15,15-dimethyl-3,6,13-trioxo-8-[[4-(pyridin-2-yl)phenyl]methyl]-2-oxa-4,7,8,12-tetraazahexadecan-14-yl]carbamate,

G. methyl [(5S,10S,11S,14R)-11-benzyl-5-tert-butyl-10-hydroxy-15,15-dimethyl-3,6,13-trioxo-8-[[4-(pyridin-2-yl)phenyl]methyl]-2-oxa-4,7,8,12-tetraazahexadecan-14-yl]carbamate,

H. methyl [(5S,10R,11R,14S)-11-benzyl-5-tert-butyl-10-hydroxy-15,15-dimethyl-3,6,13-trioxo-8-[[4-(pyridin-2-yl)phenyl]methyl]-2-oxa-4,7,8,12-tetraazahexadecan-14-yl]carbamate,

I. methyl [(2S)-1-[[(2S,3S)-3-hydroxy-1-phenyl-4-[(E)-1-[[4-(pyridin-2-yl)phenyl]methyl]-2-[[4-(pyridin-2-yl)phenyl]methylidene]hydrazin-1-yl]butan-2-yl]amino]-3,3-dimethyl-1-oxobutan-2-yl]carbamate,

J. tert-butyl 2-[(2S,3S)-3-(tert-butoxyformamido)-2-hydroxy-4-phenylbutyl]-2-[[4-(pyridin-2-yl)phenyl]methyl]hydrazine-1-carboxylate,

K. (2S)-2-(methoxyformamido)-3,3-dimethylbutanoic acid.






