(Ph. Eur. monograph 2086)
C4H8N2O3,H2O 150.1 5794-13-8
Action and use
Amino acid.
DEFINITION
(2S)-2,4-Diamino-4-oxobutanoic acid monohydrate.
Content
99.0 per cent to 101.0 per cent (dried substance).
CHARACTERS
Appearance
White or almost white, crystalline powder or colourless crystals.
Solubility
Slightly soluble in water, practically insoluble in ethanol (96 per cent) and in methylene chloride.
IDENTIFICATION
First identification: A, B, D.
Second identification: A, C, D.
A. Specific optical rotation (see Tests).
B. Infrared absorption spectrophotometry (2.2.24).
Comparison asparagine monohydrate CRS.
C. Thin-layer chromatography (2.2.27).
Test solution: Dissolve 10 mg of the substance to be examined in water R and dilute to 10 mL with the same solvent.
Reference solution: Dissolve 10 mg of asparagine monohydrate CRS in water R and dilute to 10 mL with the same solvent.
Plate: TLC silica gel plate R.
Mobile phase: glacial acetic acid R, water R, butanol R (25:25:50 V/V/V).
Application: 5 μL.
Development: Over 2/3 of the plate.
Drying: At 110 °C for 15 min.
Detection: Spray with ninhydrin solution R and heat at 105 °C for 10 min.
Results: The principal spot in the chromatogram obtained with the test solution is similar in position, colour and size to the principal spot in the chromatogram obtained with the reference solution.
D. Loss on drying (see Tests).
TESTS
Solution S
Dissolve with heating 2.0 g in carbon dioxide-free water R and dilute to 100 mL with the same solvent.
Appearance of solution
Solution S is clear (2.2.1) and colourless (2.2.2, Method II).
pH (2.2.3)
4.0 to 6.0 for solution S.
Specific optical rotation (2.2.7)
+ 33.7 to + 36.0 (dried substance).
Dissolve 2.50 g in a 309.0 g/L solution of hydrochloric acid R and dilute to 25.0 mL with the same acid.
Related substances
Liquid chromatography (2.2.29). Prepare the solutions immediately before use.
Test solution: Dissolve 0.100 g of the substance to be examined in water R and dilute to 10.0 mL with the same solvent.
Reference solution (a): Dilute 1.0 mL of the test solution to 100.0 mL with water R.
Reference solution (b): Dilute 1.0 mL of reference solution (a) to 10.0 mL with water R.
Reference solution (c): Dissolve 5.0 mg of aspartic acid R (impurity A) in water R and dilute to 10.0 mL with the same solvent. Dilute 1.0 mL of the solution to 10.0 mL with water R.
Reference solution (d): Dissolve 3.0 mg of asparagine impurity C CRS in 40 mL of the mobile phase using sonication and dilute to 50.0 mL with the mobile phase. Dilute 1.0 mL of the solution to 10.0 mL with water R.
Reference solution (e): Mix 5 mL of reference solution (c) with 2.5 mL of reference solution (a) and dilute to 10 mL with water R.
Column:
— size: l = 0.25 m, Ø = 4.6 mm;
— stationary phase: end-capped octadecylsilyl silica gel for chromatography R (5 μm);
— temperature: 25 °C.
Mobile phase: Dissolve 13.6 g of potassium dihydrogen phosphate R and 2.16 g of sodium octanesulfonate R in about 900 mL of water for chromatography R. Adjust to pH 2.2 with phosphoric acid R and dilute to 1000 mL with water for chromatography R. Add 5 mL of acetonitrile R1.
Flow rate: 0.7 mL/min.
Detection: Spectrophotometer at 210 nm.
Injection: 20 μL.
Run time: Twice the retention time of asparagine.
Identification of impurities: Use the chromatogram obtained with reference solution (c) to identify the peak due to impurity A; use the chromatogram obtained with reference solution (d) to identify the peak due to impurity C.
Relative retention: With reference to asparagine (retention time = about 6.6 min): impurity C = about 0.6; impurity A = about 1.2.
System suitability: Reference solution (e):
— resolution: minimum 5.0 between the peaks due to asparagine and impurity A.
Calculation of percentage contents:
— for impurity A, use the concentration of impurity A in reference solution (c);
— for impurity C, use the concentration of impurity C in reference solution (d);
— for impurities other than A and C, use the concentration of asparagine monohydrate in reference solution (b).
Limits:
— impurity A: maximum 0.5 per cent;
— impurity C: maximum 0.1 per cent;
— unspecified impurities: for each impurity, maximum 0.05 per cent;
— total: maximum 0.8 per cent;
— reporting threshold: 0.03 per cent.
Chlorides (2.4.4)
Maximum 200 ppm.
Dilute 12.5 mL of solution S to 15 mL with water R.
Sulfates (2.4.13)
Maximum 200 ppm.
To 0.75 g add 2.5 mL of dilute hydrochloric acid R and dilute to 15 mL with distilled water R. Examine after 30 min.
Ammonium (2.4.1, Method B)
Maximum 0.1 per cent, determined on 10 mg.
Prepare the standard using 0.1 mL of ammonium standard solution (100 ppm NH4) R.
Iron (2.4.9)
Maximum 10 ppm.
Dissolve 1.0 g in dilute hydrochloric acid R and dilute to 10 mL with the same acid. Shake 3 times with 10 mL of methyl isobutyl ketone R1 for 3 min. Wash the combined organic phases with 10 mL of water R for 3 min. The aqueous phase complies with the limit test for iron.
Loss on drying (2.2.32)
10.5 per cent to 12.5 per cent, determined on 1.000 g by drying in an oven at 130 °C for 3 h.
Sulfated ash (2.4.14)
Maximum 0.1 per cent, determined on 1.0 g.
ASSAY
Dissolve 0.110 g in 5 mL of anhydrous formic acid R. Add 50 mL of anhydrous acetic acid R. Titrate with 0.1 M perchloric acid, determining the end-point potentiometrically (2.2.20).
1 mL of 0.1 M perchloric acid is equivalent to 13.21 mg of C4H8N2O3.
IMPURITIES
Specified impurities: A, C.
Other detectable impurities (the following substances would, if present at a sufficient level, be detected by one or other of the tests in the monograph. They are limited by the general acceptance criterion for other/unspecified impurities and/or by the general monograph Substances for pharmaceutical use (2034). It is therefore not necessary to identify these impurities for demonstration of compliance. See also 5.10. Control of impurities in substances for pharmaceutical use) B, D, E, F, G, H.

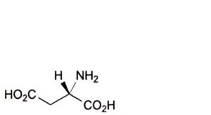
A. (2S)-2-aminobutanedioic acid (aspartic acid),

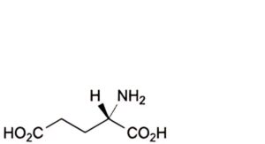
B. (2S)-2-aminopentanedioic acid (glutamic acid),

C. 2,2′-[(2Ξ,5Ξ)-3,6-dioxopiperazine-2,5-diyl]diacetamide,

D. (2E)-but-2-enedioic acid (fumaric acid),

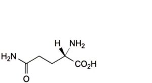
E. (2S)-2,5-diamino-5-oxopentanoic acid (glutamine),

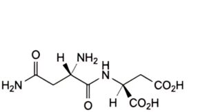
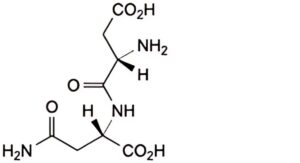
F. (2S)-2-[[(2S)-2,4-diamino-4-oxobutanoyl]amino]butanedioic acid (asparaginylaspartic acid),

G. (2S)-4-amino-2-[[(2S)-2-amino-3-carboxypropanoyl]amino]-4-oxobutanoic acid (α-aspartylasparagine),

H. (2S)-4-amino-2-[[(2S)-2,4-diamino-4-oxobutanoyl]amino]-4-oxobutanoic acid (asparaginylasparagine).






