(Theophylline-Ethylenediamine Hydrate, Ph. Eur. monograph 0301)
C16H24N10O4, xH2O 420.4 (anhydrous substance) 72487-55-9
Action and use
Non-selective phosphodiesterase inhibitor; treatment of reversible airways obstruction.
Preparations
Aminophylline Injection
Aminophylline Tablets
Aminophylline Prolonged-release Tablets
DEFINITION
Content
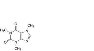
— theophylline (C7H8N4O2; Mr 180.2): 84.0 per cent to 87.4 per cent (anhydrous substance);
— ethylenediamine (C2H8N2; Mr 60.1): 13.5 per cent to 15.0 per cent (anhydrous substance).
It contains a variable quantity of water.
CHARACTERS
Appearance
White or slightly yellowish powder, sometimes granular.
Solubility
Freely soluble in water (the solution becomes cloudy through absorption of carbon dioxide), practically insoluble in anhydrous ethanol.
IDENTIFICATION
First identification: A, C, E.
Second identification: B, D, E.
Dissolve 1.0 g in 10 mL of water R and add 2 mL of dilute hydrochloric acid R dropwise with shaking. Filter. Use the precipitate for identification test A and the filtrate for identification test C.
A. Infrared absorption spectrophotometry (2.2.24).
Preparation: Precipitate, washed with water R and dried at 105 °C.
Comparison: theophylline CRS.
B. Thin-layer chromatography (2.2.27).
Test solution: Dissolve 0.2 g of the substance to be examined in 2 mL of water R with heating and dilute to 10 mL with methanol R.
Reference solution: Dissolve 0.2 g of theophylline CRS in 2 mL of water R with heating and dilute to 10 mL with methanol R.
Plate: TLC silica gel F254 plate R.
Mobile phase concentrated ammonia R, acetone R, methylene chloride R, butanol R (10:30:30:40 V/V/V/V).
Application: 10 μL.
Development: Over 3/4 of the plate.
Drying: In air.
Detection: Examine in ultraviolet light at 254 nm.
Results: The principal spot in the chromatogram obtained with the test solution is similar in position and size to the principal spot in the chromatogram obtained with the reference solution.
C. To the filtrate add 0.2 mL of benzoyl chloride R, make alkaline with dilute sodium hydroxide solution R and shake vigorously. Filter the precipitate, wash with 10 mL of water R, dissolve in 5 mL of hot ethanol (96 per cent) R and add 5 mL of water R. A precipitate is formed which, when washed and dried at 105°C, melts (2.2.14) at 248°C to 252°C.
D. Dissolve 30 mg of the substance to be examined in 3 mL of water R and add 0.5 mL of a 10 g/L solution of copper sulfate pentahydrate R. A violet-purple colour is produced.
E. Water (see Tests).
TESTS
Appearance of solution
The solution is not more opalescent than reference suspension II (2.2.1) and not more intensely coloured than reference solution GY6 (2.2.2, Method II).
Dissolve 0.5 g with gentle warming in 10 mL of carbon dioxide-free water R.
Related substances
Liquid chromatography (2.2.29).
Test solution: Dissolve 50 mg of the substance to be examined in the mobile phase and dilute to 20.0 mL with the mobile phase.
Reference solution (a): Dilute 1.0 mL of the test solution to 100.0 mL with the mobile phase. Dilute 1.0 mL of this solution to 10.0 mL with the mobile phase.
Reference solution (b): Dissolve 10 mg of theobromine R (impurity G) in the mobile phase, add 5 mL of the test solution and dilute to 100 mL with the mobile phase. Dilute 5 mL of this solution to 50 mL with the mobile phase.
Column:
— size: l = 0.25 m, Ø = 4 mm;
— stationary phase: irregular octadecylsilyl silica gel for chromatography R (7 μm).
Mobile phase: Mix 7 volumes of acetonitrile R and 93 volumes of a 1.36 g/L solution of sodium acetate R containing 0.50 per cent V/V of glacial acetic acid R.
Flow rate: 2.0 mL/min.
Detection: Spectrophotometer at 272 nm.
Injection: 20 μL.
Run time: 3.5 times the retention time of theophylline.
Identification of impurities: Use the chromatogram obtained with reference solution (b) to identify the peak due to impurity G.
Relative retention With reference to theophylline (retention time = about 6 min): impurity G = about 0.6.
System suitability: Reference solution (b):
— resolution: minimum 2.0 between the peaks due to impurity G and theophylline.
Limits:
— unspecified impurities: for each impurity, not more than the area of the principal peak in the chromatogram obtained with reference solution (a) (0.10 per cent);
— total: not more than the area of the principal peak in the chromatogram obtained with reference solution (a) (0.1 per cent);
— disregard limit: 0.5 times the area of the principal peak in the chromatogram obtained with reference solution (a) (0.05 per cent).
Water (2.5.12)
3.0 per cent to 8.0 per cent, determined on 0.500 g.
Sulfated ash (2.4.14)
Maximum 0.1 per cent, determined on 1.0 g.
ASSAY
Ethylenediamine
Dissolve 0.250 g in 30 mL of water R. Add 0.1 mL of bromocresol green solution R. Titrate with 0.1 M hydrochloric acid until a green colour is obtained.
1 mL of 0.1 M hydrochloric acid is equivalent to 3.005 mg of C2H8N2.
Theophylline
Heat 0.200 g to constant mass in an oven at 135 °C. Dissolve the residue with heating in 100 mL of water R, allow to cool, add 20 mL of 0.1 M silver nitrate and shake. Add 1 mL of bromothymol blue solution R1. Titrate with 0.1 M sodium hydroxide.
1 mL of 0.1 M sodium hydroxide is equivalent to 18.02 mg of C7H8N4O2.
STORAGE
In a well-filled, airtight container, protected from light.
IMPURITIES
Other detectable impurities (the following substances would, if present at a sufficient level, be detected by one or other of the tests in the monograph. They are limited by the general acceptance criterion for other/unspecified impurities and/or by the general monograph Substances for pharmaceutical use (2034).
It is therefore not necessary to identify these impurities for demonstration of compliance. See also 5.10. Control of impurities in substances for pharmaceutical use) A, B, C, D, E, F, G.

A. 1,3,7-trimethyl-3,7-dihydro-1H-purine-2,6-dione (caffeine),

B. 3-methyl-3,7-dihydro-1H-purine-2,6-dione,

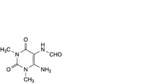
C. N-(6-amino-1,3-dimethyl-2,4-dioxo-1,2,3,4-tetrahydropyrimidin-5-yl)formamide,

D. N-methyl-5-(methylamino)-1H-imidazole-4-carboxamide,

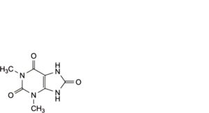
E. 1,3-dimethyl-7,9-dihydro-1H-purine-2,6,8(3H)-trione,

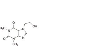
F. 7-(2-hydroxyethyl)-1,3-dimethyl-3,7-dihydro-1H-purine-2,6-dione (etofylline),

G. 3,7-dimethyl-3,7-dihydro-1H-purine-2,6-dione (theobromine).






