(Alimemazine Hemitartrate Ph. Eur. monograph 2650)
C20H25N2O3S 373.5 4330-99-8
Action and use
Histamine H1, receptor antagonist; sedative.
Preparations
Paediatric Alimemazine Oral Solution
Strong Paediatric Alimemazine Oral Solution
Alimemazine Tablets
DEFINITION
(2RS)-N,N,2-Trimethyl-3-(10H-phenothiazin-10-yl)propan-1-amine hemi[(2R,3R)-2,3-dihydroxybutanedioate].
Content
99.0 per cent to 101.0 per cent (dried substance).
CHARACTERS
Appearance
White or very slightly yellowish powder.
Solubility
Freely soluble in water, sparingly soluble in ethanol (96 per cent), practically insoluble in toluene.
It deteriorates when exposed to air and light.
IDENTIFICATION
Infrared absorption spectrophotometry (2.2.24).
Comparison alimemazine hemitartrate CRS.
TESTS
Appearance of solution
The solution is not more opalescent than reference suspension II (2.2.1) and not more intensely coloured than reference solution BY5 (2.2.2, Method II).
Dissolve 1.0 g in water R and dilute to 10 mL with the same solvent.
pH (2.2.3)
5.0 to 6.5. Carry out the test protected from light and use a freshly prepared solution.
Dissolve 1.0 g in carbon dioxide-free water R and dilute to 50 mL with the same solvent.
Related substances
Liquid chromatography (2.2.29). Carry out the test protected from light and use freshly prepared solutions.
Solvent mixture: acetonitrile R, water R (20:80 V/V).
Test solution: Dissolve 35 mg of the substance to be examined in the solvent mixture and dilute to 100.0 mL with the solvent mixture.
Reference solution (a): Dilute 1.0 mL of the test solution to 100.0 mL with the solvent mixture. Dilute 1.0 mL of this solution to 10.0 mL with the solvent mixture.
Reference solution (b): Dissolve 3.5 mg of alimemazine for system suitability CRS (containing impurities A, B and C) in the solvent mixture and dilute to 10.0 mL with the solvent mixture.
Column:
— size: l = 0.15 m, Ø = 4.6 mm;
— stationary phase: base-deactivated end-capped octadecylsilyl silica gel for chromatography R (3 μm);
— temperature: 40 °C.
Mobile phase: acetonitrile R, methanol R, 3.854 g/L solution of ammonium acetate R (10:40:50 V/V/V).
Flow rate: 1.3 mL/min.
Detection: Spectrophotometer at 253 nm.
Injection: 20 μL.
Run time: Twice the retention time of alimemazine.
Identification of impurities: Use the chromatogram supplied with alimemazine for system suitability CRS and the chromatogram obtained with reference solution (b) to identify the peaks due to impurities A, B and C.
Relative retention: With reference to alimemazine (retention time = about 27 min): impurity A = about 0.1; impurity B = about 0.5; impurity C = about 1.4.
System suitability: Reference solution (b):
— resolution: minimum 5.0 between the peaks due to alimemazine and impurity C.
Calculation of percentage contents:
— correction factors: multiply the peak areas of the following impurities by the corresponding correction factor:
impurity A = 4.4; impurity C = 0.4;
— for each impurity, use the concentration of alimemazine hemitartrate in reference solution (a).
Limits:
— impurity B: maximum 0.3 per cent;
— impurities A, C: for each impurity, maximum 0.15 per cent;
— unspecified impurities: for each impurity, maximum 0.10 per cent;
— total: maximum 0.5 per cent;
— reporting threshold: 0.05 per cent.
Loss on drying (2.2.32)
Maximum 0.5 per cent, determined on 1.000 g by drying in an oven at 105 °C for 3 h.
Sulfated ash (2.4.14)
Maximum 0.1 per cent, determined on 1.0 g.
ASSAY
Dissolve 0.300 g in 50 mL of anhydrous acetic acid R. Titrate with 0.1 M perchloric acid, determining the end-point potentiometrically (2.2.20).
1 mL of 0.1 M perchloric acid is equivalent to 37.35 mg of C20H25N2O3S.
STORAGE
In an airtight container, protected from light.
IMPURITIES
Specified impurities A, B, C.

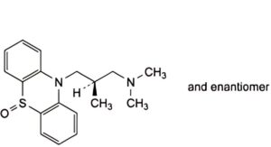
A. (2RS)-N,N,2-trimethyl-3-(5-oxido-10H-phenothiazin-10-yl)propan-1-amine,

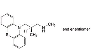
B. (2RS)-N,2-dimethyl-3-(10H-phenothiazin-10-yl)propan-1-amine,

C. 10H-phenothiazine.






