(Ph. Eur. monograph 1287)
C19H28ClN5O4 425.9 81403-68-1
Action and use
Alpha1-adrenoceptor antagonist.
Preparations
Alfuzosin Tablets
Alfuzosin Prolonged-release Tablets
DEFINITION
(2RS)-N-[3-[(4-Amino-6,7-dimethoxyquinazolin-2-yl)methylamino]propyl]oxolan-2-carboxamide hydrochloride.
Content
99.0 per cent to 101.0 per cent (anhydrous substance).
CHARACTERS
Appearance
White or almost white, crystalline powder, slightly hygroscopic.
Solubility
Freely soluble in water, sparingly soluble in ethanol (96 per cent), practically insoluble in methylene chloride.
IDENTIFICATION
A. Infrared absorption spectrophotometry (2.2.24).
Comparison alfuzosin hydrochloride CRS.
B. It gives reaction (a) of chlorides (2.3.1).
TESTS
pH (2.2.3)
4.0 to 5.5.
Dissolve 0.500 g in carbon dioxide-free water R and dilute to 25.0 mL with the same solvent. Use a freshly prepared solution.
Related substances
Liquid chromatography (2.2.29).
Test solution: Dissolve 40 mg of the substance to be examined in the mobile phase and dilute to 100.0 mL with the mobile phase.
Reference solution (a): Dilute 1.0 mL of the test solution to 100.0 mL with the mobile phase. Dilute 1.0 mL of this solution to 10.0 mL with the mobile phase.
Reference solution (b): Dissolve 4 mg of alfuzosin for system suitability A CRS (containing impurities B, F and G) in the mobile phase and dilute to 10.0 mL with the mobile phase.
Reference solution (c): Dissolve 4 mg of alfuzosin for peak identification CRS (containing impurity D) in the mobile phase and dilute to 10.0 mL with the mobile phase.
Column:
— size: l = 0.15 m, Ø = 4.6 mm;
— stationary phase: base-deactivated end-capped octadecylsilyl silica gel for chromatography R (5 μm);
— temperature: 25 °C: if necessary, increase the temperature slightly to achieve the required resolution between the peaks due to impurity G and alfuzosin.
Mobile phase: Mix 1 volume of tetrahydrofuran R, 20 volumes of acetonitrile R and 80 volumes of a solution prepared as follows: dilute 5.0 mL of perchloric acid R in 900 mL of water for chromatography R, adjust to pH 3.5 with dilute sodium hydroxide solution R and dilute to 1000 mL with water for chromatography R.
Flow rate: 1.5 mL/min.
Detection: Spectrophotometer at 254 nm.
Injection: 10 μL.
Run time: Twice the retention time of alfuzosin.
Identification of impurities: Use the chromatogram supplied with alfuzosin for system suitability A CRS and the chromatogram obtained with reference solution (b) to identify the peaks due to impurities B, F and G; use the chromatogram supplied with alfuzosin for peak identification CRS and the chromatogram obtained with reference solution (c) to identify the peak due to impurity D.
Relative retention: With reference to alfuzosin (retention time = about 9 min): impurity D = about 0.4; impurity B = about 0.57; impurity F = about 0.63; impurity G = about 0.9.
System suitability Reference solution (b):
— resolution: minimum 1.5 between the peaks due to impurities B and F; minimum 1.5 between the peaks due to impurity G and alfuzosin.
Limits:
— correction factor: for the calculation of content, multiply the peak area of impurity F by 0.6;
— impurity D: not more than twice the area of the principal peak in the chromatogram obtained with reference solution (a) (0.2 per cent);
— impurity F: not more than 1.5 times the area of the principal peak in the chromatogram obtained with reference solution (a) (0.15 per cent);
— unspecified impurities: for each impurity, not more than the area of the principal peak in the chromatogram obtained with reference solution (a) (0.10 per cent);
— total: not more than 3 times the area of the principal peak in the chromatogram obtained with reference solution (a) (0.3 per cent);
— disregard limit: 0.5 times the area of the principal peak in the chromatogram obtained with reference solution (a) (0.05 per cent).
Water (2.5.12)
Maximum 0.5 per cent, determined on 1.00 g.
Sulfated ash (2.4.14)
Maximum 0.1 per cent, determined on 1.0 g.
ASSAY
Dissolve 0.300 g in a mixture of 40 mL of anhydrous acetic acid R and 40 mL of acetic anhydride R. Titrate with 0.1 M perchloric acid, determining the end-point potentiometrically (2.2.20).
1 mL of 0.1 M perchloric acid is equivalent to 42.59 mg of C19H28ClN5O4.
STORAGE
In an airtight container, protected from light.
IMPURITIES
Specified impurities D, F.
Other detectable impurities (the following substances would, if present at a sufficient level, be detected by one or other of the tests in the monograph. They are limited by the general acceptance criterion for other/unspecified impurities and/or by the general monograph Substances for pharmaceutical use (2034). It is therefore not necessary to identify these impurities for demonstration of compliance. See also 5.10. Control of impurities in substances for pharmaceutical use) A, B, C, E, G.

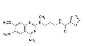
A. N-[3-[(4-amino-6,7-dimethoxyquinazolin-2-yl)methylamino]propyl]furan-2-carboxamide,

B. 2-chloro-6,7-dimethoxyquinazolin-4-amine,

C. (2RS)-N-[3-[(4-amino-6,7-dimethoxyquinazolin-2-yl)amino]propyl]-N-methyloxolan-2-carboxamide,

D. N -(3-aminopropyl)-6,7-dimethoxy-N -methylquinazolin-2,4-diamine,

E. N-[3-[(4-amino-6,7-dimethoxyquinazolin-2 -yl)methylamino]propyl]formamide,

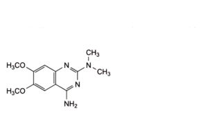
F. 6,7-dimethoxy-N ,N -dimethylquinazoline-2,4-diamine,

G. N -[3-[(4-amino-6,7-dimethoxyquinazolin-2-yl)amino]propyl]-6,7-dimethoxy-N -methylquinazoline-2,4-diamine.






