(Ph. Eur. monograph 1286)
C27H44O2 400.6 41294-56-8
Action and use
Vitamin D analogue.
DEFINITION
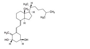
(1S,3R,5Z,7E)-9,10-Secocholesta-5,7,10(19)-triene-1,3-diol.
Content
97.0 per cent to 102.0 per cent.
A reversible isomerisation to pre-alfacalcidol takes place in solution, depending on temperature and time. The activity is due to both compounds (see Assay).
CHARACTERS
Appearance
White or almost white crystals.
Solubility
Practically insoluble in water, freely soluble in ethanol (96 per cent), soluble in fatty oils.
It is sensitive to air, heat and light.
IDENTIFICATION
A. Infrared absorption spectrophotometry (2.2.24).
Comparison Ph. Eur. reference spectrum of alfacalcidol.
B. Examine the chromatograms obtained in the test for related substances.
Results The principal peak in the chromatogram obtained with the test solution is similar in retention time and size to the principal peak in the chromatogram obtained with reference solution (a).
TESTS
Related substances
Liquid chromatography (2.2.29): use the normalisation procedure. Carry out the test as rapidly as possible, avoiding exposure to light and air, and prepare the solutions immediately before use.
Test solution: Dissolve 5.0 mg of the substance to be examined in 25.0 mL of acetonitrile R and dilute to 50.0 mL with water R.
Reference solution (a): Dissolve 5.0 mg of alfacalcidol CRS in 25.0 mL of acetonitrile R and dilute to 50.0 mL with water R.
Reference solution (b): Dilute 1.0 mL of reference solution (a) to 100.0 mL with a mixture of equal volumes of acetonitrile R and water R. Dilute 1.0 mL of this solution to 20.0 mL with the same mixture of solvents.
Reference solution (c): Dissolve 2 mg of alfacalcidol for system suitability A CRS (containing impurities A and D) in 10 mL of acetonitrile R and dilute to 20 mL with water R. Allow to stand at room temperature for about 2 h, ensuring that the signal-to-noise ratio of the peak due to pre-alfacalcidol is between 25 and 300.
Reference solution (d): Dissolve 2 mg of alfacalcidol impurity B CRS in 10 mL of acetonitrile R and dilute to 20 mL with water R. Dilute 1.0 mL of the solution to 200.0 mL with a mixture of equal volumes of acetonitrile R and water R.
Column:
— size: l = 0.15 m, Ø = 2.1 mm;
— stationary phase: end-capped ethylene-bridged octadecylsilyl silica gel for chromatography (hybrid material) R (1.7 μm);
— temperature: 32 °C.
Mobile phase methanol R, water for chromatography R, acetonitrile R (15:17:68 V/V/V).
Flow rate: 0.3 mL/min.
Detection: Spectrophotometer at 264 nm.
Injection: 5 μL of the test solution and reference solutions (b), (c) and (d).
Run time: Twice the retention time of alfacalcidol.
Identification of peaks Use the chromatogram supplied with alfacalcidol for system suitability A CRS and the chromatogram obtained with reference solution (c) to identify the peaks due to impurities A and D and pre-alfacalcidol; use the chromatogram obtained with reference solution (d) to identify the peak due to impurity B.
Relative retention: With reference to alfacalcidol (retention time = about 15 min): pre-alfacalcidol = about 0.91; impurity A = about 0.94; impurity D = about 0.96; impurity B = about 1.1.
System suitability: Reference solution (c):
— resolution: minimum 1.5 between the peaks due to impurity D and alfacalcidol;
— peak-to-valley ratio: minimum 5.0, where Hp = height above the baseline of the peak due to impurity A and Hv = height above the baseline of the lowest point of the curve separating this peak from the peak due to pre-alfacalcidol; minimum 1.5, where Hp = height above the baseline of the peak due to impurity D and Hv = height above the baseline of the lowest point of the curve separating this peak from the peak due to impurity A.
Limits:
— impurities A, B, D: for each impurity, maximum 0.5 per cent;
— unspecified impurities: for each impurity, maximum 0.10 per cent;
— total: maximum 1.0 per cent;
— disregard limit: the area of the principal peak in the chromatogram obtained with reference solution (b) (0.05 percent); disregard the peak due to pre-alfacalcidol.
ASSAY
Liquid chromatography (2.2.29) as described in the test for related substances with the following modification.
Injection: Test solution and reference solution (a).
For both the test solution and reference solution (a), take into account the sum of the areas of the peaks due to alfacalcidol and, when present, to pre-alfacalcidol.
Calculate the percentage content of C27H44O2 taking into account the assigned content of alfacalcidol CRS.
STORAGE
Under nitrogen, in an airtight container, protected from light, at a temperature of 2 °C to 8 °C.
The contents of an opened container are to be used immediately.
IMPURITIES
Specified impurities A, B, D.
Other detectable impurities (the following substances would, if present at a sufficient level, be detected by one or other of the tests in the monograph. They are limited by the general acceptance criterion for other/unspecified impurities and/or by the general monograph Substances for pharmaceutical use (2034). It is therefore not necessary to identify these impurities for demonstration of compliance. See also 5.10. Control of impurities in substances for pharmaceutical use) C.
A. (1S,3R,5E,7E)-9,10-secocholesta-5,7,10(19)-triene-1,3-diol (trans-alfacalcidol),

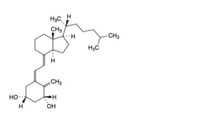
B. (1R,3R,5Z,7E)-9,10-secocholesta-5,7,10(19)-triene-1,3-diol (1β-calcidol),

C. 6ξ-[(3S,5R)-3,5-dihydroxy-2-methylcyclohex-1-en-1-yl]-17β-[(2R)-6-methylheptan-2-yl]-2-phenyl-2,5,10-triaza-4-nor-9ξ-estr-7-ene-1,3-dione,

D. unknown structure.






