Ph. Eur. monograph 1285)
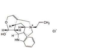
C44H50Cl2N4O2 738 15180-03-7
Action and use
Non-depolarizing neuromuscular blocker.
DEFINITION
(1R,3aS,10S,11aS,12R,14aS,19aS,20bS,21S,22aS,23E,26E)-23,26-bis(2-Hydroxyethylidene)-1,12-bis(prop-2-enyl)-2,3,11,11a,13,14,22,22a-octahydro-10H,21H-1,21:10,12-diethano-19aH,20bH-[1,5]diazocino[1,2,3-lm:5,6,7-l′m′]dipyrrolo[2′,3′-d:2′′,3′′:d′]dicarbazolediium dichloride (4,4′-didesmethyl-4,4′-bis(prop-2-enyl)toxiferin I dichloride).
Content
98.0 per cent to 102.0 per cent (anhydrous substance).
CHARACTERS
Appearance
White or slightly greyish-white, crystalline powder.
Solubility
Freely soluble in water and in methanol, soluble in ethanol (96 per cent), practically insoluble in cyclohexane.
Carry out the identification, tests and assay as rapidly as possible avoiding exposure to actinic light.
IDENTIFICATION
First identification: A, C.
Second identification: B, C.
A. Infrared absorption spectrophotometry (2.2.24).
Comparison: alcuronium chloride CRS.
B. Thin-layer chromatography (2.2.27).
Test solution: Dissolve 10 mg of the substance to be examined in methanol R and dilute to 10 mL with the same solvent.
Reference solution: Dissolve 10 mg of alcuronium chloride CRS in methanol R and dilute to 10 mL with the same solvent.
Plate: TLC silica gel plate R.
Mobile phase: Mix 15 volumes of a 58.4 g/L solution of sodium chloride R, 35 volumes of dilute ammonia R2 and 50 volumes of methanol R.
Application: 10 μL.
Development: Over a path of 15 cm.
Drying: In air for 10 min.
Detection: Spray with 0.1 M ammonium and cerium nitrate.
Results: The principal spot in the chromatogram obtained with the test solution is similar in position, colour and size to the principal spot in the chromatogram obtained with the reference solution.
C. It gives reaction (a) of chlorides (2.3.1).
TESTS
Solution S
Dissolve 0.250 g in carbon dioxide-free water R and dilute to 25.0 mL with the same solvent.
Appearance of solution
Solution S is clear (2.2.1) and not more intensely coloured than reference solution Y6, BY6
or B6 (2.2.2, Method I).
Acidity or alkalinity
To 10 mL of solution S add 0.1 mL of methyl red solution R and 0.2 mL of 0.01 M hydrochloric acid. The solution is red. Add 0.4 mL of 0.01 M sodium hydroxide. The solution is yellow.
Specific optical rotation (2.2.7)
-430 to -451 (anhydrous substance), determined on solution S.
Propan-2-ol (2.4.24, System A)
Maximum 1.0 per cent.
Related substances
Liquid chromatography (2.2.29).
Solvent mixture Mix 100 mL of methanol R, 200 mL of acetonitrile R and 200 mL of a 6.82 g/L solution of potassium dihydrogen phosphate R. Dissolve 1.09 g of sodium laurylsulfonate for chromatography R in the mixture and adjust the apparent pH to 8.0 with a 100 g/L solution of sodium hydroxide R.
Test solution: Dissolve 0.20 g of the substance to be examined in the solvent mixture and dilute to 100.0 mL with the solvent mixture.
Reference solution (a): Dilute 0.5 mL of the test solution to 100.0 mL with the solvent mixture.
Reference solution (b): Dilute 4.0 mL of reference solution (a) to 10.0 mL with the solvent mixture.
Reference solution (c): Dilute 1.0 mL of reference solution (a) to 10.0 mL with the solvent mixture.
Reference solution (d): To 5.0 mL of the test solution add 5.0 mg of allylstrychnine bromide CRS, dissolve in the solvent mixture and dilute to 100.0 mL with the solvent mixture.
Column:
— size: l = 0.25 m, Ø = 4 mm;
— stationary phase: octylsilyl silica gel for chromatography R (5 μm).
Mobile phase: Mix 200 mL of methanol R, 400 mL of acetonitrile R and 400 mL of a 6.82 g/L solution of potassium dihydrogen phosphate R. Dissolve 2.18 g of sodium laurylsulfonate for chromatography R in the mixture and adjust the apparent pH to 5.4 with a 100 g/L solution of phosphoric acid R.
Flow rate: 1.2 mL/min.
Detection: Spectrophotometer at 254 nm.
Injection: 10 μL.
Run time: Twice the retention time of alcuronium.
System suitability: Reference solution (d):
— resolution: minimum 4.0 between the peaks due to N-allylstrychnine and alcuronium.
Limits:
— impurities A, B: for each impurity, not more than the area of the principal peak in the chromatogram obtained with reference solution (a) (0.5 per cent) and not more than one of the peaks has an area greater than the area of the principal peak in the chromatogram obtained with reference solution (b) (0.2 per cent);
— total: not more than twice the area of the principal peak in the chromatogram obtained with reference solution (a) (1 per cent);
— disregard limit: the area of the principal peak in the chromatogram obtained with reference solution (c) (0.05 per cent).
Water (2.5.12)
Maximum 5.0 per cent, determined on 0.500 g.
Sulfated ash (2.4.14)
Maximum 0.1 per cent, determined on 1.0 g.
ASSAY
Dissolve 0.300 g by stirring in 70 mL of acetic anhydride R for 1 min. Titrate with 0.1 M perchloric acid until the colour changes from violet-blue to greenish-blue, using 0.1 mL of crystal violet solution R as indicator.
1 mL of 0.1 M perchloric acid is equivalent to 36.9 mg of C44H50Cl2N4O2
STORAGE
In an airtight container under nitrogen, protected from light, at a temperature of 2 °C to 8 °C.
IMPURITIES
Specified impurities A, B.

A. (1R,3aS,9R,9aR,10R,11aS,12R,14aS,19aS,20R,20aR,20bS,21R,22aS)-1,12-bis(prop-2-enyl)-2,3,9a,11,11a,13,14,19a,20a,21,22,22a-dodecahydro-10H,20bH-1,23:12,27-dimethano-9,10:20,21-bis(epoxyprop[2]eno)-9H,20H-[1,5]diazocino[1,2,3-lm:5,6,7-l′m′]dipyrrolo[2′,3′-d:2′′,3′′:d′]dicarbazolediium dichloride (4,4′-diallylcaracurin V dichloride),

B. (4bS,7R,7aS,8aR,13R,13aR,13bS)-13-hydroxy-7-(prop-2-enyl)-5,6,7a,8,8a,11,13,13a,13b,14-decahydro-7,9-methano-7H-oxepino[3,4-a]pyrrolo[2,3-d]carbazolium chloride ((4R,17R)-4-allyl-17,18-epoxy-17-hydroxy-19,20-didehydrocuranium chloride).






