(Ph. Eur. monograph 1386)
C12H15N3O2S 265.3 54965-21-8
Action and use
Benzimidazole antihelminthic.
Preparations
Albendazole Oral Suspension
Albendazole Oral Suspension with Minerals
DEFINITION
Methyl N-[5-(propylsulfanyl)-1H-benzimidazol-2-yl]carbamate.
Content
99.0 per cent to 101.0 per cent (dried substance).
CHARACTERS
Appearance
White or slightly yellowish powder.
Solubility
Practically insoluble in water, freely soluble in anhydrous formic acid, very slightly soluble in methylene chloride, practically
insoluble in ethanol (96 per cent).
It shows polymorphism (5.9).
IDENTIFICATION
Infrared absorption spectrophotometry (2.2.24).
Comparison: albendazole CRS.
If the spectra obtained in the solid state show differences, dissolve the substance to be examined and the reference substance separately in methylene chloride R, evaporate to dryness and record new spectra using the residues.
TESTS
Appearance of solution
The solution is clear (2.2.1) and not more intensely coloured than reference solution BY6 (2.2.2, Method II).
Dissolve 0.10 g in a mixture of 10 volumes of anhydrous formic acid R and 90 volumes of methylene chloride R and dilute to 10 mL with the same mixture of solvents.
Related substances
Liquid chromatography (2.2.29). Prepare the solutions immediately before use.
Solvent mixture sulfuric acid R, methanol R (1:99 V/V).
Test solution: Dissolve 25.0 mg of the substance to be examined in 5 mL of the solvent mixture and immediately dilute to 50.0 mL with the mobile phase.
Reference solution (a): Dilute 1.0 mL of the test solution to 100.0 mL with the mobile phase. Dilute 1.0 mL of this solution to 10.0 mL with the mobile phase.
Reference solution (b): Dissolve 5 mg of albendazole for system suitability CRS (containing impurities B, C, E, F and H) in 1 mL of the solvent mixture and dilute to 10 mL with the mobile phase.
Reference solution (c): Dilute 1 mL of the solvent mixture to 10 mL with the mobile phase. Use 1 mL of this solution to dissolve the contents of a vial of albendazole impurity mixture CRS (containing impurities A and D).
Column:
— size: l = 0.25 m, Ø = 4.6 mm;
— stationary phase: end-capped octadecylsilyl silica gel for chromatography R (5 μm).
Mobile phase: 1.67 g/L solution of ammonium dihydrogen phosphate R, methanol R (30:70 V/V).
Flow rate: 0.7 mL/min.
Detection: Spectrophotometer at 254 nm.
Injection: 20 μL.
Run time: Twice the retention time of albendazole.
Identification of impurities: Use the chromatogram supplied with albendazole impurity mixture CRS and the chromatogram obtained with reference solution (c) to identify the peaks due to impurities A and D; use the chromatogram supplied with albendazole for system suitability CRS and the chromatogram obtained with reference solution (b) to identify the peaks due to impurities B + C, E, F and H.
Relative retention: With reference to albendazole (retention time = about 11 min): impurity D = about 0.35; impurities B and C = about 0.40; impurity E = about 0.45; impurity A = about 0.48; impurity F = about 0.57; impurity H = about 0.66. System suitability Reference solution (b):
— resolution: minimum 1.5 between the peaks due to impurities B + C and E.
Calculation of percentage contents:
— correction factors: multiply the peak areas of the following impurities by the corresponding correction factor: impurity A = 1.7; impurities B and C = 1.4; impurity D = 1.9; impurity E = 1.4;
— for each impurity, use the concentration of albendazole in reference solution (a).
Limits:
— impurity H: maximum 0.6 per cent;
— impurity F: maximum 0.5 per cent;
— impurity A: maximum 0.4 per cent;
— sum of impurities B and C: maximum 0.4 per cent;
— impurity E: maximum 0.3 per cent;
— impurity D: maximum 0.2 per cent;
— unspecified impurities: for each impurity, maximum 0.10 per cent;
— total: maximum 1.3 per cent;
— reporting threshold: 0.05 per cent.
Loss on drying (2.2.32)
Maximum 0.5 per cent, determined on 1.000 g by drying in an oven at 105 °C for 4 h.
Sulfated ash (2.4.14)
Maximum 0.2 per cent, determined on 1.0 g.
ASSAY
In order to avoid overheating during the titration, mix thoroughly throughout and stop the titration immediately after the end-point has been reached.
Dissolve 0.250 g in 3 mL of anhydrous formic acid R and add 40 mL of anhydrous acetic acid R. Titrate with 0.1 M perchloric acid, determining the end-point potentiometrically (2.2.20).
1 mL of 0.1 M perchloric acid is equivalent to 26.53 mg of C12H15N3O2S.
STORAGE
Protected from light.
IMPURITIES
Specified impurities A, B, C, D, E, F, H.
Other detectable impurities (the following substances would, if present at a sufficient level, be detected by one or other of the tests in the monograph. They are limited by the general acceptance criterion for other/unspecified impurities and/or by the general monograph Substances for pharmaceutical use (2034). It is therefore not necessary to identify these impurities for demonstration of compliance. See also 5.10. Control of impurities in substances for pharmaceutical use) G, I, J, K, L.

A. 5-(propylsulfanyl)-1H-benzimidazol-2-amine,

B. methyl N-[5-(propylsulfinyl)-1H-benzimidazol-2-yl]carbamate,

C. methyl N-[5-(propylsulfonyl)-1H-benzimidazol-2-yl]carbamate,

D. (2-amino-1H-benzimidazol-5-yl)propyl-λ -sulfanedione,

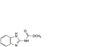
E. methyl N-(1H-benzimidazol-2-yl)carbamate,

F. methyl N-[5-(methylsulfanyl)-1H-benzimidazol-2-yl]carbamate,

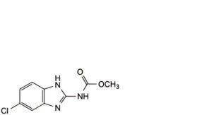
G. methyl N-(5-chloro-1H-benzimidazol-2-yl)carbamate,

H. methyl N-[5-[(2-methyl-4-oxopentan-2-yl)sulfanyl]-1H-benzimidazol-2-yl]carbamate,

I. methyl N-(5-propoxy-1H-benzimidazol-2-yl)carbamate,

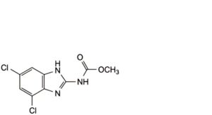
J. methyl N-(4,6-dichloro-1H-benzimidazol-2-yl)carbamate,

K. methyl N-[5-(butylsulfanyl)-1H-benzimidazol-2-yl]carbamate,

L. methyl N-[5-[(propan-2-yl)sulfanyl]-1H-benzimidazol-2-yl]carbamate.






