(Ph. Eur. monograph 1385)
C21H26O3 326.4 55079-83-9
Action and use
Vitamin A analogue (retinoid); treatment of psoriasis; ichthyosis; Darier’s disease.
Preparation
Acitretin Capsules
DEFINITION
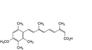
(2E,4E,6E,8E)-9-(4-Methoxy-2,3,6-trimethylphenyl)-3,7-dimethylnona-2,4,6,8-tetraenoic acid.
Content
98.0 per cent to 102.0 per cent (dried substance).
CHARACTERS
Appearance
Yellow or greenish-yellow, crystalline powder.
Solubility
Practically insoluble in water, sparingly soluble in tetrahydrofuran, slightly soluble in acetone and in ethanol (96 per cent), very slightly soluble in cyclohexane.
It is sensitive to air, heat and light, especially in solution.
It shows polymorphism (5.9).
Carry out all operations as rapidly as possible and avoid exposure to actinic light; use freshly prepared solutions.
IDENTIFICATION
First identification: A.
Second identification: B.
A. Infrared absorption spectrophotometry (2.2.24).
Comparison: acitretin CRS.
If the spectra obtained in the solid state show differences, dissolve the substance to be examined and the reference substance separately in 2-propanol R by heating under reflux; filter, evaporate to dryness and record new spectra using the residues.
B. Thin-layer chromatography (2.2.27).
Test solution: Dissolve 5 mg of the substance to be examined in methylene chloride R and dilute to 10.0 mL with the same solvent.
Reference solution: Dissolve 5 mg of acitretin CRS in methylene chloride R and dilute to 10.0 mL with the same solvent.
Plate TLC silica gel F254 plate R.
Mobile phase: glacial acetic acid R, acetone R, 1,1-dimethylethyl methyl ether R, cyclohexane R (2:4:40:54 V/V/V/V).
Application: 5 μL.
Development: Over 3/4 of the plate.
Drying: In air.
Detection A: Examine in ultraviolet light at 254 nm.
Results A: The principal spot in the chromatogram obtained with the test solution is similar in position and size to the principal spot in the chromatogram obtained with the reference solution.
Detection B: Treat with a solution prepared as follows: dissolve 15 g of antimony trichloride R in 50 mL of methylene chloride R; examine the chromatogram in daylight.
Results B: The principal spot in the chromatogram obtained with the test solution is similar in position, colour and size to the principal spot in the chromatogram obtained with the reference solution.
TESTS
Related substances
Liquid chromatography (2.2.29). Carry out the test protected from light and prepare the solutions immediately before use.
Test solution (a): Dissolve 25.0 mg of the substance to be examined in 5 mL of tetrahydrofuran R and dilute to 100.0 mL
with anhydrous ethanol R.
Test solution (b): Dilute 10.0 mL of test solution (a) to 25.0 mL with anhydrous ethanol R.
Reference solution (a): Dissolve 25.0 mg of acitretin CRS in 5 mL of tetrahydrofuran R and dilute to 100.0 mL with anhydrous ethanol R. Dilute 10.0 mL of the solution to 25.0 mL with anhydrous ethanol R.
Reference solution (b): Dissolve 1 mg of tretinoin CRS in anhydrous ethanol R and dilute to 20 mL with the same solvent. Mix 5 mL of the solution with 2.5 mL of reference solution (a) and dilute to 100 mL with anhydrous ethanol R.
Reference solution (c): Dilute 1.0 mL of the test solution (a) to 100.0 mL with anhydrous ethanol R. Dilute 1.0 mL of this solution to 10.0 mL with anhydrous ethanol R.
Reference solution (d): Dissolve 2.5 mg of acitretin for impurity A identification CRS in 0.5 mL of tetrahydrofuran R and dilute to 10 mL with anhydrous ethanol R.
Column:
— size: l = 0.25 m, Ø = 4 mm;
— stationary phase: octadecylsilyl silica gel for chromatography for separation of polycyclic aromatic hydrocarbons R (5 μm);
— temperature: 25 °C.
Mobile phase: 0.3 per cent V/V solution of glacial acetic acid R in a mixture of 8 volumes of water for chromatography R and 92 volumes of anhydrous ethanol R.
Flow rate: 0.6 mL/min.
Detection: Spectrophotometer at 360 nm.
Autosampler: Set at 4 °C.
Injection: 10 μL of test solution (a) and reference solutions (b), (c) and (d).
Run time: 2.5 times the retention time of acitretin.
Identification of impurities: Use the chromatogram supplied with acitretin for impurity A identification CRS and the chromatogram obtained with reference solution (d) to identify the peak due to impurity A.
Relative retention: With reference to acitretin (retention time = about 6 min): impurity A = about 0.8; tretinoin = about 0.85.
System suitability: Reference solution (b):
— resolution: minimum 2.0 between the peaks due to tretinoin and acitretin.
Calculation of percentage contents:
— for each impurity, use the concentration of acitretin in reference solution (c).
Limits:
— impurity A: maximum 0.2 per cent;
— unspecified impurities: for each impurity, maximum 0.10 per cent;
— total: maximum 0.5 per cent;
— reporting threshold: 0.05 per cent.
Loss on drying (2.2.32)
Maximum 0.5 per cent, determined on 1.000 g by drying in vacuo at 100 °C for 4 h
Sulfated ash (2.4.14)
Maximum 0.1 per cent, determined on 1.0 g.
ASSAY
Liquid chromatography (2.2.29) as described in the test for related substances with the following modification.
Injection Test solution (b) and reference solution (a).
Calculate the percentage content of C21H26O3 taking into account the assigned content of acitretin CRS.
STORAGE
In an airtight container, protected from light, at a temperature of 2 °C to 8 °C.
It is recommended that the contents of an opened container be used as soon as possible and any unused part be protected by an atmosphere of inert gas.
IMPURITIES
Specified impurities A.
Other detectable impurities (the following substances would, if present at a sufficient level, be detected by one or other of the tests in the monograph. They are limited by the general acceptance criterion for other/unspecified impurities and/or by the general monograph Substances for pharmaceutical use (2034). It is therefore not necessary to identify these impurities for demonstration of compliance. See also 5.10. Control of impurities in substances for pharmaceutical use) B.

A. (2Z,4E,6E,8E)-9-(4-methoxy-2,3,6-trimethylphenyl)-3,7-dimethylnona-2,4,6,8-tetraenoic acid,

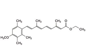
B. ethyl (2E,4E,6E,8E)-9-(4-methoxy-2,3,6-trimethylphenyl)-3,7-dimethylnona-2,4,6,8-tetraenoate.






