(Ph. Eur. monograph 0968)
C8H11N5O3 225.2 59277-89-3
Action and use
Purine nucleoside analogue; antiviral (herpesviruses).
Preparations
Aciclovir Cream
Aciclovir Eye Ointment
Aciclovir Infusion
Aciclovir Oral Suspension
Aciclovir Tablets
Aciclovir Dispersible Tablets
DEFINITION
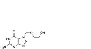
2-Amino-9-[(2-hydroxyethoxy)methyl]-1,9-dihydro-6H-purin-6-one.
Content
98.5 per cent to 101.0 per cent (anhydrous substance).
CHARACTERS
Appearance
White or almost white, crystalline powder.
Solubility
Slightly soluble in water, very slightly soluble in ethanol (96 per cent), practically insoluble in heptane. It dissolves in dilute solutions of mineral acids and alkali hydroxides.
IDENTIFICATION
Infrared absorption spectrophotometry (2.2.24).
Comparison aciclovir CRS.
TESTS
Appearance of solution
The solution is clear (2.2.1) and not more intensely coloured than reference solution Y7 (2.2.2, Method II).
Dissolve 0.25 g in a 4 g/L solution of sodium hydroxide R and dilute to 25 mL with the same solvent.
Related substances
Liquid chromatography (2.2.29). Prepare the solutions immediately before use.
Solvent mixture: dimethyl sulfoxide R, water R (20:80 V/V).
Phosphate buffer solution pH 2.5 Dissolve 3.48 g of dipotassium hydrogen phosphate R in 1000 mL of water for chromatography R and adjust to pH 2.5 with phosphoric acid R.
Phosphate buffer solution pH 3.1 Dissolve 3.48 g of dipotassium hydrogen phosphate R in 1000 mL of water for chromatography R and adjust to pH 3.1 with phosphoric acid R.
Test solution: Dissolve 25 mg of the substance to be examined in 5.0 mL of dimethyl sulfoxide R and dilute to 25.0 mL with water R.
Reference solution (a): Dissolve 5 mg of aciclovir for system suitability A CRS (containing impurities B, J, K, N, O and P) in 1 mL of dimethyl sulfoxide R and dilute to 5 mL with water R.
Reference solution (b): Dilute 1.0 mL of the test solution to 100.0 mL with the solvent mixture. Dilute 1.0 mL of this solution to 10.0 mL with the solvent mixture.
Reference solution (c): Dissolve the contents of a vial of aciclovir for impurity C identification CRS in 200 μL of dimethyl sulfoxide R and dilute to 1 mL with water R.
Reference solution (d): Dissolve the contents of a vial of aciclovir for impurity G identification CRS in 1 mL of reference solution (a).
Column:
— size: l = 0.25 m, Ø = 4.6 mm;
— stationary phase: end-capped octadecylsilyl silica gel for chromatography R (5 μm).
Mobile phase:
— mobile phase A: acetonitrile R, phosphate buffer solution pH 3.1 (1:99 V/V);
— mobile phase B: acetonitrile R, phosphate buffer solution pH 2.5 (50:50 V/V);
| Time
(min) |
Mobile phase A
(per cent V/V) |
Mobile phase B
(per cent V/V) |
| 0 – 5
5 – 27 27 – 40 |
100
100 → 80 80 |
0
0 → 20 20 |
Flow rate: 1.0 mL/min.
Detection: Spectrophotometer at 254 nm.
Injection: 10 μL of the test solution and reference solutions (b), (c) and (d).
Identification of impurities: Use the chromatogram supplied with aciclovir for impurity C identification CRS and the chromatogram obtained with reference solution (c) to identify the peak due to impurity C ; use the chromatograms supplied with aciclovir for system suitability A CRS and aciclovir for impurity G identification CRS and the chromatogram obtained with reference solution (d) to identify the peaks due to impurities B, G, J, K, N, O and P.
Relative retention: With reference to aciclovir (retention time = about 13 min): impurity B = about 0.4; impurity P = about 0.7; impurity C = about 0.9; impurity N = about 1.37; impurities O and Q = about 1.42; impurity J = about 1.62; impurities K and R = about 2.5; impurity G = about 2.6.
System suitability:
— resolution: minimum 1.5 between the peaks due to impurity C and aciclovir in the chromatogram obtained with reference solution (c); minimum 1.5 between the peaks due to impurities K and G in the chromatogram obtained with reference solution (d).
Limits:
— correction factor: for the calculation of content, multiply the peak area of impurity C by 2.2;
— impurity B: not more than 7 times the area of the principal peak in the chromatogram obtained with reference solution (b) (0.7 per cent)
— impurity J: not more than twice the area of the principal peak in the chromatogram obtained with reference solution (b) (0.2 per cent);
— sum of impurities K and R: not more than 1.5 times the area of the principal peak in the chromatogram obtained with reference solution (b) (0.15 per cent);
— sum of impurities O and Q: not more than 1.5 times the area of the principal peak in the chromatogram obtained with reference solution (b) ( 0.15 per cent);
— impurities C, N, P: for each impurity, not more than 1.5 times the area of the principal peak in the chromatogram obtained with reference solution (b) (0.15 per cent);
— unspecified impurities: for each impurity, not more than 0.5 times the area of the principal peak in the chromatogram obtained with reference solution (b) (0.05 per cent);
— total: not more than 10 times the area of the principal peak in the chromatogram obtained with reference solution (b) (1.0 per cent);
— disregard limit: 0.3 times the area of the principal peak in the chromatogram obtained with reference solution (b) (0.03 per cent).
Water (2.5.12)
Maximum 6.0 per cent, determined on 0.500 g.
Sulfated ash (2.4.14)
Maximum 0.1 per cent, determined on 1.0 g.
ASSAY
Dissolve 0.150 g in 60 mL of anhydrous acetic acid R. Titrate with 0.1 M perchloric acid, determining the end-point potentiometrically (2.2.20). Carry out a blank titration.
1 mL of 0.1 M perchloric acid is equivalent to 22.52 mg of C8H11N5O3.
IMPURITIES
Specified impurities B, C, J, K, N, O, P, Q, R.
Other detectable impurities (the following substances would, if present at a sufficient level, be detected by one or other of the tests in the monograph. They are limited by the general acceptance criterion for other/unspecified impurities and/or by the general monograph Substances for pharmaceutical use (2034). It is therefore not necessary to identify these impurities for demonstration of compliance. See also 5.10. Control of impurities in substances for pharmaceutical use) A, F, G, I, L, M.

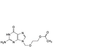
A. 2-[(2-amino-6-oxo-1,6-dihydro-9H-purin-9-yl)methoxy]ethyl acetate,

B. 2-amino-1,7-dihydro-6H-purin-6-one (guanine),

C. 2-amino-7-[(2-hydroxyethoxy)methyl]-1,7-dihydro-6H-purin-6-one,

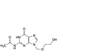
F. N-[9-[(2-hydroxyethoxy)methyl]-6-oxo-6,9-dihydro-1H-purin-2-yl]acetamide,

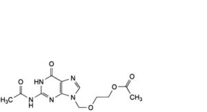
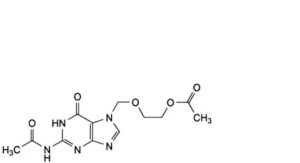
G. 2-[(2-acetamido-6-oxo-1,6-dihydro-9H-purin-9-yl)methoxy]ethyl acetate,

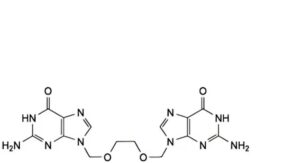
I. 2-amino-7-[[2-[(2-amino-6-oxo-1,6-dihydro-9H-purin-9-yl)methoxy]ethoxy]methyl]-1,7-dihydro-6H-purin-6-one,

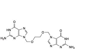
J. 9,9′-[ethane-1,2-diylbis(oxymethylene)]bis(2-amino-1,9-dihydro-6H-purin-6-one),

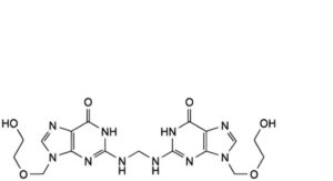
K. 2,2′-(methylenediazanediyl)bis[9-[(2-hydroxyethoxy)methyl]-1,9-dihydro-6H-purin-6-one],

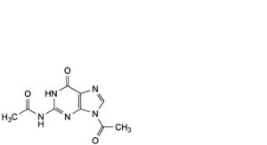
L.N-(9-acetyl-6-oxo-6,9-dihydro-1H-purin-2-yl)acetamide (N ,9-diacetylguanine),

M. 2-[(2-acetamido-6-oxo-1,6-dihydro-7H-purin-7-yl)methoxy]ethyl acetate,
N. unknown structure,
O. unknown structure,

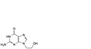
P. 2-amino-9-(2-hydroxyethyl)-1,9-dihydro-6H-purin-6-one, 2

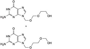
Q. mixture of 2-amino-9-[[2-(hydroxyethoxy) methoxy]methyl]-1,9-dihydro-6H-purin-6-one and 2-amino-9-[[2-(hydroxymethoxy)ethoxy]methyl]-1,9-dihydro-6H-purin-6-
one,

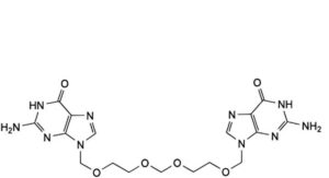
R. 9,9′-[methylenebis(oxyethane-2,1-diyloxymethylene)]bis(2-amino-1,9-dihydro-6H-purin-6-one).






