(β-Acetyldigoxin, Ph. Eur. monograph 2168)
C43H66O15 823 5355-48-6
Action and use
Cardiac Glycoside.
DEFINITION
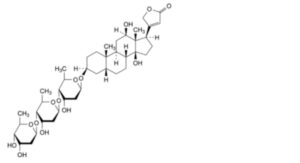
3β-[(4-O-Acetyl-2,6-dideoxy-β-D-ribo-hexopyranosyl-(1→4)- 2,6-dideoxy-β-D-ribo-hexopyranosyl-(1→4)-2,6-dideoxy-β-D- ribo-hexopyranosyl)oxy]-12β,14-dihydroxy-5β-card-20(22)-enolide.
Content
97.0 per cent to 102.0 per cent (dried substance).
CHARACTERS
Appearance
White or almost white powder.
Solubility
Practically insoluble in water, sparingly soluble in methylene chloride, slightly soluble in ethanol (96 per cent).
IDENTIFICATION
Infrared absorption spectrophotometry (2.2.24).
Comparison β-acetyldigoxin CRS.
TESTS
Specific optical rotation (2.2.7)
+ 26.2 to + 28.2 (dried substance).
Dissolve 0.50 g in a mixture of equal volumes of methanol R and methylene chloride R and dilute to 25.0 mL with the same mixture of solvents.
Related substances
Liquid chromatography (2.2.29). Prepare the solutions immediately before use.
Solvent mixture: Mix equal volumes of methanol R2 and acetonitrile for chromatography R.
Test solution: Dissolve 50.0 mg of the substance to be examined in the solvent mixture and dilute to 100.0 mL with the solvent mixture.
Reference solution (a): Dissolve 10.0 mg of β-acetyldigoxin CRS in the solvent mixture and dilute to 20.0 mL with the solvent mixture.
Reference solution (b): Dilute 1.0 mL of the test solution to 20.0 mL with the solvent mixture. Dilute 1.0 mL of this solution to 10.0 mL with the solvent mixture.
Reference solution (c) Dissolve 5 mg of gitoxin CRS (impurity D) in the solvent mixture and dilute to 100.0 mL with the solvent mixture. To 5.0 mL of this solution, add 0.5 mL of reference solution (a) and dilute to 100.0 mL with the solvent mixture.
Reference solution (d) Dissolve 5.0 mg of β-acetyldigoxin for peak identification CRS (containing impurities A and B) in 10.0 mL of the solvent mixture.
Column:
— size: l = 0.125 m, Ø = 4.0 mm;
— stationary phase: octadecylsilyl silica gel for chromatography R (4 μm).
Mobile phase:
— mobile phase A: water for chromatography R;
— mobile phase B: acetonitrile for chromatography R;
| Time (min) |
Mobile phase A (per cent V/V) |
Mobile phase B (per cent V/V) |
| 0 – 10 | 70 | 30 |
| 10 – 20 | 70 → 35 | 30 → 65 |
| 20 – 20.1 | 35 → 70 | 65 → 30 |
| 20.1 – 25 | 70 | 30 |
Flow rate: 1.5 mL/min.
Detection: Spectrophotometer at 225 nm.
Injection: 10 μL of the test solution and reference solutions (b), (c) and (d).
Identification of impurities Use the chromatograms obtained with reference solutions (c) and (d) to identify the peaks due to impurities A, B and D.
Relative retention: With reference to β-acetyldigoxin (retention time = about 9 min): impurity B = about 0.3; impurity A = about 0.7; impurity D = about 1.2.
System suitability Reference solution (c):
— resolution: minimum 1.5 between the peaks due to β-acetyldigoxin and impurity D;
— symmetry factor: maximum 2.5 for the peak due to β-acetyldigoxin.
Limits:
— impurities A, B: for each impurity, not more than the area of the principal peak in the chromatogram obtained with reference solution (b) (0.5 per cent);
— impurity D: not more than 0.6 times the area of the principal peak in the chromatogram obtained with reference solution (b) (0.3 per cent);
— any other impurity: for each impurity, not more than 0.4 times the area of the principal peak in the chromatogram obtained with reference solution (b) (0.2 per cent);
— sum of impurities other than A, B and D: not more than 1.2 times the area of the principal peak in the chromatogram obtained with reference solution (b) (0.6 per cent);
— total: not more than 3 times the area of the principal peak in the chromatogram obtained with reference solution (b) (1.5 per cent);
— disregard limit: 0.1 times the area of the principal peak in the chromatogram obtained with reference solution (b) (0.05 per cent).
The thresholds indicated under Related substances (Table 2034.-1) in the general monograph Substances for pharmaceutical use (2034) do not apply.
Loss on drying (2.2.32)
Maximum 1.5 per cent, determined on 1.000 g by drying in an oven at 105 °C.
Sulfated ash (2.4.14)
Maximum 0.1 per cent, determined on the residue obtained in the test for loss on drying.
ASSAY
Liquid chromatography (2.2.29) as described in the test for related substances with the following modification.
Injection Test solution and reference solution (a).
Calculate the percentage content of C43H66O15 from the declared content of β-acetyldigoxin CRS.
STORAGE
Protected from light.
IMPURITIES
Specified impurities A, B, D.
Other detectable impurities (the following substances would, if present at a sufficient level, be detected by one or other of the tests in the monograph. They are limited by the general acceptance criterion for other/unspecified impurities. It is therefore not necessary to identify these impurities for demonstration of compliance. See also 5.10. Control of impurities in
substances for pharmaceutical use) C, E, F, G, H.

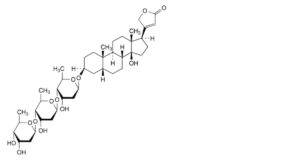
A. 3β-[(3-O-acetyl-2,6-dideoxy-β-D-ribo-hexopyranosyl-(1→4)-2,6-dideoxy-β-D-ribo-hexopyranosyl-(1→4)-2,6-dideoxy-β-D-ribo-hexopyranosyl)oxy]-12β,14-dihydroxy-5β-card-20(22)-enolide (α acetyldigoxin),

B. 3β-[(2,6-dideoxy-β-D-ribo-hexopyranosyl-(1→4)-2,6-dideoxy-β-D-ribo-hexopyranosyl-(1→4)-2,6-dideoxy-β-D-ribo- hexopyranosyl)oxy]-12β,14-dihydroxy-5β-card-20(22)-enolide (digoxin),

C. 3β,12β,14-trihydroxy-5β-card-20(22)-enolide (digoxigenin),

D. 3β-[(2,6-dideoxy-β-D-ribo-hexopyranosyl-(1→4)-2,6-dideoxy-β-D-ribo-hexopyranosyl-(1→4)-2,6-dideoxy-β-D-ribo-hexopyranosyl)oxy]-14,16β-dihydroxy-5β-card-20(22)-enolide (gitoxin),

E. 3β-[(2,6-dideoxy-β-D-ribo-hexopyranosyl-(1→4)-2,6-dideoxy-β-D-ribo-hexopyranosyl-(1→4)-2,6-dideoxy-β-D-ribo-hexopyranosyl)oxy]-14-hydroxy-5β-card-20(22)-enolide (digitoxin),

F. 3β-[(3,4-O-diacetyl-2,6-dideoxy-β-D-ribo-hexopyranosyl-(1→4)-2,6-dideoxy-β-D-ribo-hexopyranosyl-(1→4)-2,6-dideoxy-β-D-ribo-hexopyranosyl)oxy]-12β,14-dihydroxy-5β-card-20(22)-enolide (diacetyldigoxin),

G. 3β-[(3-O-acetyl-2,6-dideoxy-β-D-ribo-hexopyranosyl-(1→4)-2,6-dideoxy-β-D-ribo-hexopyranosyl-(1→4)-2,6-dideoxy-β-D-ribo-hexopyranosyl)oxy]-14-hydroxy-5β-card-20(22)-enolide (α-acetyldigitoxin),

H. 3β-[(4-O-acetyl-2,6-dideoxy-β-D-ribo-hexopyranosyl-(1→4)-2,6-dideoxy-β-D-ribo-hexopyranosyl-(1→4)-2,6-dideoxy-β-AcetyldigoxinD-ribo-hexopyranosyl)oxy]-14-hydroxy-5β-card-20(22)-enolide (β-acetyldigitoxin).






