(Ph. Eur. monograph 0967)
C5H9NO3S 163.2 616-91-1
Action and use
Sulfydryl donor; antidote to paracetamol poisoning; mucolytic.
Preparations
Acetylcysteine Eye Drops
Acetylcysteine Injection
DEFINITION
(2R)-2-Acetamido-3-sulfanylpropanoic acid.
Content
98.5 per cent to 101.0 per cent (dried substance).
CHARACTERS
Appearance
White or almost white, crystalline powder or colourless crystals.
Solubility
Freely soluble in water and in ethanol (96 per cent), practically insoluble in methylene chloride.
IDENTIFICATION
First identification: A, C.
Second identification: B.
A. Specific optical rotation (see Tests).
B. Melting point (2.2.14).
Determination A: Determine the melting point of the substance to be examined.
Result A: 108 °C to 110 °C.
Determination B: Mix equal parts of the substance to be examined and acetylcysteine CRS and determine the melting point of the mixture.
Result B: The absolute difference between the melting point of the mixture and the value obtained in determination A is not greater than 2 °C.
C. Infrared absorption spectrophotometry (2.2.24).
Comparison: acetylcysteine CRS.
TESTS
Appearance of solution
The solution is clear (2.2.1) and colourless (2.2.2, Method II).
Dissolve 0.5 g in water R and dilute to 10 mL with the same solvent.
Specific optical rotation (2.2.7)
+ 21.0 to + 27.0 (dried substance).
Mix 1.25 g and 1 mL of a 10 g/L solution of sodium edetate R. Add 7.5 mL of a 40 g/L solution of sodium hydroxide R, mix and dissolve. Dilute to 25.0 mL with phosphate buffer solution pH 7.0 R2.
Related substances
Liquid chromatography (2.2.29). Prepare the solutions immediately before use.
Solution A: 1.03 g/L solution of hydrochloric acid R.
Test solution: Suspend 0.120 g of the substance to be examined in solution A and dilute to 15.0 mL with solution A, ensuring complete dissolution.
Reference solution (a): Dilute 5.0 mL of the test solution to 50.0 mL with solution A. Dilute 1.0 mL of this solution to 100.0 mL with solution A.
Reference solution (b): Dissolve 4 mg of L-cystine R (impurity A) in solution A and dilute to 10 mL with solution A.
Reference solution (c): Dissolve 3 mg of L-cysteine R (impurity B), 5 mg of acetylcysteine impurity C CRS and 2.5 mg of acetylcysteine impurity D CRS in solution A, mix with 4 mL of reference solution (b) and dilute to 20 mL with solution A. Dilute 1 mL of this solution to 10 mL with the test solution.
Reference solution (d): Dissolve 2 mg of sodium 2-methyl-2-thiazoline-4-carboxylate R in solution A and dilute to 50 mL with solution A.
Column:
— size: l = 0.25 m, Ø = 4.0 mm;
— stationary phase: end-capped octadecylsilyl silica gel for chromatography R (5 μm).
Mobile phase acetonitrile for chromatography R, water for chromatography R previously adjusted to pH 3.0 with phosphoric acid R (3:97 V/V).
Flow rate: 1.0 mL/min.
Detection: Spectrophotometer at 220 nm.
Injection: 20 μL of the test solution and reference solutions (a), (c) and (d).
Run time: 3 times the retention time of acetylcysteine.
Identification of impurities: Use the chromatogram obtained with reference solution (c) to identify the peaks due to impurities A, B, C and D; use the chromatogram obtained with reference solution (d) to identify the peak due to 2-methyl-2- thiazoline-4-carboxylic acid.
Relative retention: With reference to acetylcysteine (retention time = about 5 min): impurity A = about 0.48; impurity B = about 0.53; 2-methyl-2-thiazoline-4-carboxylic acid = about 0.8; impurity C = about 2.1; impurity D = about 2.6.
System suitability:
— resolution: minimum 1.5 between the peaks due to impurities A and B in the chromatogram obtained with reference solution (c);
— peak-to-valley ratio: minimum 5.0, where Hp = height above the baseline of the peak due to 2-methyl-2-thiazoline-4- carboxylic acid and Hv = height above the baseline of the lowest point of the curve separating this peak from the peak due to acetylcysteine in the chromatogram obtained with reference solution (c);
— symmetry factor: maximum 2.2 for the peak due to acetylcysteine in the chromatogram obtained with reference solution (a).
Calculation of percentage contents:
— correction factors: multiply the peak areas of the following impurities by the corresponding correction factor: impurity B = 3.4; impurity C = 0.7; impurity D = 0.3;
— for each impurity, use the concentration of acetylcysteine in reference solution (a).
Limits:
— impurity C: maximum 0.3 per cent;
— impurity B: maximum 0.2 per cent;
— impurity D: maximum 0.15 per cent;
— unspecified impurities: for each impurity, maximum 0.10 per cent;
— total: maximum 0.5 per cent;
— reporting threshold: 0.05 per cent; disregard the peak due to 2-methyl-2-thiazoline-4-carboxylic acid, which is formed due to in situ degradation of acetylcysteine in acidic solutions such as solution A.
The thresholds indicated under Related substances (Table 2034.-1) in the general monograph Substances for pharmaceutical use (2034) do not apply.
Zinc
Maximum 10 ppm.
Atomic absorption spectrometry (2.2.23, Method II).
Test solution: Dissolve 1.00 g in a 0.103 g/L solution of hydrochloric acid R and dilute to 50.0 mL with the same solution.
Reference solutions: Prepare the reference solutions using zinc standard solution (5 mg/mL Zn) R, diluting with a 0.103 g/L solution of hydrochloric acid R.
Source: Zinc hollow-cathode lamp.
Wavelength: 213.9 nm.
Atomisation device: Air-acetylene flame.
Use a correction procedure for non-specific absorption.
Loss on drying (2.2.32)
Maximum 1.0 per cent, determined on 1.000 g by drying in vacuo at 70 °C for 3 h.
Sulfated ash (2.4.14)
Maximum 0.2 per cent, determined on 1.0 g.
ASSAY
Dissolve 0.140 g in 60 mL of water R and add 10 mL of dilute hydrochloric acid R. Add 10 mL of potassium iodide solution R and titrate with 0.05 M iodine, determining the end-point potentiometrically (2.2.20).
1 mL of 0.05 M iodine is equivalent to 16.32 mg of C5H9NO3S.
STORAGE
Protected from light.
IMPURITIES
Specified impurities B, C, D.
Other detectable impurities (the following substances would, if present at a sufficient level, be detected by one or other of the tests in the monograph. They are limited by the general acceptance criterion for other/unspecified impurities. It is therefore not necessary to identify these impurities for demonstration of compliance. See also 5.10. Control of impurities in substances for pharmaceutical use) A.

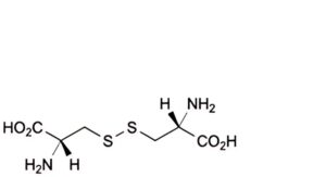
A. 3,3′-disulfanediylbis[(2R)-2-aminopropanoic acid] (L-cystine),

B. (2R)-2-amino-3-sulfanylpropanoic acid (L-cysteine),

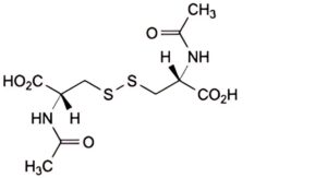
C. 3,3′-disulfanediylbis[(2R)-2-acetamidopropanoic acid] (N,N′-diacetyl-L-cystine),

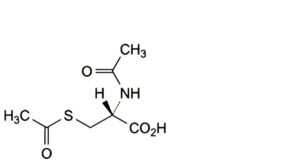
D. (2R)-2-acetamido-3-(acetylsulfanyl)propanoic acid (N,S-diacetyl-L-cysteine).






